Noteikumu konsolidētā versija

26-TA-200
Eiropas Savienības kohēzijas politikas programmas 2021.–2027. gadam 4.1.1. specifiskā atbalsta mērķa "Nodrošināt vienlīdzīgu piekļuvi veselības aprūpei un stiprināt veselības sistēmu, tostarp primārās veselības aprūpes noturību" 4.1.1.1. pasākuma "Ārstniecības iestāžu infrastruktūras attīstība" otrās kārtas īstenošanas noteikumi
Izdoti saskaņā ar Eiropas Savienības fondu 2021.–2027. gada plānošanas perioda vadības likuma 19. panta 13. punktu
I.Vispārīgie jautājumi
1.
Noteikumi nosaka:
1.1.
kārtību, kādā īsteno Eiropas Savienības kohēzijas politikas programmas 2021.–2027. gadam 4.1.1. specifiskā atbalsta mērķa "Nodrošināt vienlīdzīgu piekļuvi veselības aprūpei un stiprināt veselības sistēmu, tostarp primārās veselības aprūpes noturību" (turpmāk – specifiskais atbalsta mērķis) 4.1.1.1. pasākuma "Ārstniecības iestāžu infrastruktūras attīstība" otro kārtu (turpmāk – pasākums);
1.2.
pasākuma mērķi;
1.3.
pasākumam plānoto un pieejamo finansējumu un nacionālā līdzfinansējuma likmi;
1.4.
prasības Eiropas Reģionālās attīstības fonda projekta (turpmāk – projekts) iesniedzējiem un finansējuma saņēmējiem;
1.5.
atbalstāmo darbību un izmaksu attiecināmības nosacījumus, tostarp komercdarbības atbalsta piešķiršanas nosacījumus.
2.
Pasākuma projektu iesniegumu atlasi īsteno ierobežotas projektu iesniegumu atlases veidā.
3.
Pasākuma ietvaros atbildīgās iestādes funkcijas pilda Veselības ministrija (turpmāk – atbildīgā iestāde).
4.
Pasākuma ietvaros plānotais atbalsta veids ir grants (dotācija).
5.
Projektu īstenošanas vieta ir Latvijas Republika.
II.Pasākuma mērķis un plānotie rādītāji
6.
Pasākuma mērķis ir nodrošināt vienlīdzīgu piekļuvi veselības aprūpei un stiprināt veselības sistēmu, attīstot veselības aprūpes infrastruktūru.
7.
Pasākuma mērķa grupa ir visi Latvijas iedzīvotāji, veselības aprūpes pakalpojumu sniedzēji, Veselības ministrijas padotības iestādes un ārstniecības iestādes.
8.
Specifiskā atbalsta mērķa iznākuma rādītājs ir noslēgto līgumu īpatsvars par ieguldījumiem veselības aprūpes infrastruktūras objektos, nodrošinot, ka līdz 2029. gada 31. decembrim noslēgti līgumi par projektu īstenošanu 100 procentu apmērā no specifiskā atbalsta mērķim pieejamā kopējā attiecināmā finansējuma, tai skaitā nodrošinot, ka līdz 2024. gada 31. decembrim pasākuma ietvaros noslēgti līgumi par projektu īstenošanu vismaz par 1 procentu.
9.
Pasākums veicina 4.1.1.1. pasākuma "Ārstniecības iestāžu infrastruktūras attīstība" kopējā iznākuma rādītāja "jaunu vai modernizētu veselības aprūpes iestāžu kapacitāte" sasniegšanu visu kārtu ietvaros, nodrošinot, ka līdz 2029. gada 31. decembrim izveidotās vai uzlabotās veselības aprūpes iestādes vismaz vienu reizi gada laikā apmeklēs 3 687 497 iedzīvotāji, tai skaitā pasākuma ietvaros – 1 081 157 personas gadā.
10.
Pasākuma rezultāta rādītājs ir personu skaits gadā, kuras izmanto jaunas vai modernizētas veselības aprūpes iestādes pakalpojumus, nodrošinot, ka līdz 2029. gada 31. decembrim 982 870 personas gadā izmanto jaunas vai modernizētas veselības aprūpes iestādes pakalpojumus.
III.Pasākuma finansējums
11.
Pasākuma ietvaros plānotais un pieejamais kopējais finansējums ir 15 089 807 euro, tai skaitā Eiropas Reģionālās attīstības fonda finansējums – 12 826 335 euro un nacionālais finansējums, kas iekļauj valsts budžeta un privāto finansējumu, – 2 263 472 euro.
12.
Pasākuma attiecināmais Eiropas Reģionālās attīstības fonda finansējums nepārsniedz 85 procentus, bet nacionālais līdzfinansējums, kas iekļauj valsts budžeta un privāto līdzfinansējumu, nav mazāks par 15 procentiem no šo noteikumu 11. punktā minētā pasākumam pieejamā kopējā finansējuma. Attiecināmais nacionālais privātais līdzfinansējums katram projektam tiek noteikts saskaņā ar šo noteikumu  39. punktu.
IV.Komercdarbības atbalsta piešķiršanas nosacījumi
13.
Pasākuma finansējuma saņēmējiem komercdarbības atbalstu piešķir atbilstoši šīs nodaļas nosacījumiem.
14.
Finansējuma saņēmējs atbilstoši normatīvajiem aktiem par veselības aprūpes organizēšanu un samaksu ir noslēdzis ar Nacionālo veselības dienestu (turpmāk – pilnvarojuma uzlicējs) deleģēšanas līgumu par vispārējas tautsaimnieciskas nozīmes pakalpojuma (turpmāk – sabiedriskie pakalpojumi) sniegšanu. Līgumā norāda:
14.1.
konkrētus sniedzamos sabiedriskos pakalpojumus;
14.2.
prasības sabiedrisko pakalpojumu sniedzējam par nepieciešamo sabiedrisko pakalpojumu sniegšanas infrastruktūru;
14.3.
līguma darbības laiku, kas nepārsniedz 10 gadus;
14.4.
sabiedrisko pakalpojumu sniegšanas teritoriju;
14.5.
pakalpojuma sniedzējam piešķirto ekskluzīvo vai īpašo tiesību būtību, ja tas sniedz pakalpojumu ar vispārēju tautsaimniecisku nozīmi;
14.6.
informāciju par iespēju saņemt atlīdzības (kompensācijas) maksājumus un nosacījumus atlīdzības (kompensācijas) maksājumu aprēķināšanai, kontrolei un pārskatīšanai, kā arī atlīdzības (kompensācijas) maksājumu pārmaksas novēršanai un atmaksāšanai;
14.7.
atsauci uz Komisijas 2011. gada 20. decembra lēmumu Nr. 2012/21/ES par Līguma par Eiropas Savienības darbību 106. panta 2. punkta piemērošanu valsts atbalstam attiecībā uz kompensāciju par sabiedriskajiem pakalpojumiem dažiem uzņēmumiem, kuriem uzticēts sniegt pakalpojumus ar vispārēju tautsaimniecisku nozīmi.
15.
(Svītrots)
16.
Ja tiek pārkāptas šajos noteikumos noteiktās komercdarbības atbalsta piešķiršanas prasības vispārējas tautsaimnieciskas nozīmes pakalpojuma sniegšanai, finansējuma saņēmējam ir pienākums atmaksāt atbalsta sniedzējam projekta ietvaros saņemto nelikumīgo komercdarbības atbalstu kopā ar procentiem no līdzekļiem, kas ir brīvi no komercdarbības atbalsta, saskaņā ar Komercdarbības atbalsta kontroles likuma IV vai V nodaļu.
17.
Pilnvarojuma uzlicējam un finansējuma saņēmējam ir pienākums dokumentāciju par saņemto komercdarbības atbalstu glabāt 10 gadus no pilnvarojuma termiņa beigām, savukārt sadarbības iestādei ir pienākums dokumentāciju, kas saistīta ar komercdarbības atbalsta piešķiršanu, glabāt 10 gadus no atbalsta piešķiršanas dienas.
18.
Šo noteikumu 13. punktā minēto komercdarbības atbalstu drīkst kumulēt ar citu komercdarbības atbalstu, ko piešķir par pakalpojuma ar vispārēju tautsaimniecisku nozīmi sniegšanu, citas atbalsta programmas vai individuālā atbalsta projekta ietvaros, tai skaitā par vienām un tām pašām attiecināmajām izmaksām, ja pēc atbalstu apvienošanas atbalsta vienībai vai izmaksu pozīcijai attiecīgā maksimālā atbalsta intensitāte nepārsniedz 100 procentus.
19.
Par komercdarbības atbalsta piešķiršanas dienu ir uzskatāma diena, kad sadarbības iestāde ir sniegusi lēmumu par projekta apstiprināšanu vai atzinumu par nosacījumu izpildi.
20.
Projekta iesniedzējs nevar pretendēt uz atbalsta saņemšanu, ja tas atbilst grūtībās nonākuša komersanta statusam saskaņā ar Komisijas 2014. gada 17. jūnija Regulas Nr. 651/2014, ar ko noteiktas atbalsta kategorijas atzīst par saderīgām ar iekšējo tirgu, piemērojot Līguma 107. un 108. pantu, 2. panta 18. punktu.
21.
Finansējuma saņēmējs projektam pievieno apliecinājumu, ka attiecībā uz to nepastāv Maksātnespējas likumā noteiktie ierobežojumi tiesiskās aizsardzības procesa lietas ierosināšanai un pasludināšanai un finansējuma saņēmējam nav ierosināta maksātnespējas procesa lieta.
V.Prasības projekta iesniedzējam
22.
Projekta iesniedzējs, kas pēc sadarbības iestādes lēmuma par projekta iesnieguma apstiprināšanu kļūst par finansējuma saņēmēju, pasākuma ietvaros ir ārstniecības iestāde atbilstoši šo noteikumu ​pielikumam.
23.
Projekta iesniedzējs sagatavo projekta iesniegumu atbilstoši projektu iesniegumu atlases nolikumā noteiktajām prasībām un iesniedz to sadarbības iestādē, izmantojot Kohēzijas politikas fondu vadības informācijas sistēmu, tai skaitā paraksta interešu konflikta neesības apliecinājumu, ievērojot Eiropas Parlamenta un Padomes 2018. gada 18. jūlija Regulas (ES, Euratom) 2018/1046 par finanšu noteikumiem, ko piemēro Savienības vispārējam budžetam, ar kuru groza Regulas (ES) Nr. 1296/2013, (ES) Nr. 1301/2013, (ES) Nr. 1303/2013, (ES) Nr. 1304/2013, (ES) Nr. 1309/2013, (ES) Nr. 1316/2013, (ES) Nr. 223/2014, (ES) Nr. 283/2014 un Lēmumu Nr. 541/2014/ES un atceļ Regulu (ES, Euratom) Nr. 966/2012, 61. pantā noteiktās prasības.
24.
Projekta iesniedzējs, kura projekta kopējās izmaksas, ieskaitot pievienotās vērtības nodokli, pārsniedz 1 000 000 euro, atbilstoši sadarbības iestādes izstrādātajiem metodiskajiem norādījumiem veic izmaksu un ieguvumu analīzi un pievieno to projekta iesniegumam. Veicot izmaksu un ieguvumu analīzi, projekta iesniedzējs nodrošina, ka aprēķinātā projekta ekonomiskā ienesīguma norma ir lielāka par sociālo diskonta likmi un projekta ekonomiskā neto pašreizējā vērtība ir lielāka par nulli.
25.
Projekta iesnieguma vērtēšanas komisijā sadarbības iestāde iekļauj pārstāvi no Veselības ministrijas kā nozares pārstāvi, kā arī pārstāvi no Nacionālā veselības dienesta.
26.
Sadarbības iestāde pasākuma projektu iesniegumu atlases ietvaros organizē ierobežotu projektu iesniegumu atlasi, uzaicinot tajā piedalīties šo noteikumu ​pielikumā  minētos projektu iesniedzējus.
VI.Pasākuma atbalstāmās darbības un attiecināmās izmaksas
27.
Lai attīstītu infrastruktūru, kurā tiek nodrošināti valsts apmaksāti veselības aprūpes pakalpojumi, pasākuma ietvaros ir atbalstāmas šādas darbības:
27.1.
projekta vadības un īstenošanas nodrošināšana;
27.2.
būvniecība;
27.3.
tehnoloģiju iegāde, piegāde un montāža;
27.4.
komunikācijas un vizuālās identitātes prasību nodrošināšana.
28.
Finansējuma saņēmējs nodrošina, ka atbalsts tiek ieguldīts infrastruktūras attīstībā, kurā tiek nodrošināti šādi valsts apmaksāti veselības aprūpes pakalpojumi:
28.1.
šo noteikumu ​pielikuma sadaļā "III līmeņa ārstniecības iestādes" minētajām ārstniecības iestādēm atbalsts infrastruktūras attīstībai tiek sniegts:
28.1.1.
sekundārās ambulatorās veselības aprūpes, tai skaitā rehabilitācijas, pakalpojumu nodrošināšanai;
28.1.2.
uzņemšanas nodaļu sniegto veselības aprūpes pakalpojumu nodrošināšanai;
28.1.3.
stacionārās veselības aprūpes, tai skaitā rehabilitācijas, pakalpojumu nodrošināšanai, izņemot atbalstu traumatoloģijas, grūtniecības un dzemdību aprūpes profilos;
28.2.
šo noteikumu ​pielikuma sadaļās "I līmeņa ārstniecības iestādes", "II līmeņa ārstniecības iestādes" un "Specializētās ārstniecības iestādes" minētajām ārstniecības iestādēm atbalsts infrastruktūras attīstībai tiek sniegts:
28.2.1.
sekundārās ambulatorās veselības aprūpes, tai skaitā rehabilitācijas, pakalpojumu nodrošināšanai;
28.2.2.
uzņemšanas nodaļu sniegto veselības aprūpes pakalpojumu nodrošināšanai;
28.2.3.
stacionārās veselības aprūpes, tai skaitā rehabilitācijas, pakalpojumu nodrošināšanai tikai terapijas, aprūpes un hronisko pacientu aprūpes profilos;
28.3.
šo noteikumu ​pielikuma sadaļā "Pārējās slimnīcas" minētajām ārstniecības iestādēm atbalsts infrastruktūras attīstībai tiek sniegts tikai sekundārās ambulatorās veselības aprūpes, tai skaitā rehabilitācijas, pakalpojumu nodrošināšanai.
29.
Šo noteikumu 27.1. apakšpunktā minētās atbalstāmās darbības ietvaros ir attiecināmas finansējuma saņēmēja projekta vadības un īstenošanas personāla izmaksas, kas radušās uz darba līguma vai uzņēmuma līguma pamata, tai skaitā normatīvajos aktos nodarbinātības jomā noteiktās piemaksas un nodokļi, izmaksu apmēram nepārsniedzot ierobežojumu, ko aprēķina ar minimālo izmaksu bāzi 34 422 euro gadā, pieskaitot 0,64 procentus no projekta tiešajām attiecināmajām izmaksām, bet neieskaitot tiešās projekta vadības personāla izmaksas.
29.1.
(Svītrots)
29.2.
(Svītrots)
30.
Šo noteikumu 27.2. apakšpunktā minētās atbalstāmās darbības ietvaros ir attiecināmas šādas ar būvniecību saistītas izmaksas:
30.1.
būvniecības ieceres dokumentācijas un arhitektoniski mākslinieciskās izpētes izstrādes izmaksas, funkcionālā plānojuma un tehniskās specifikācijas izstrādes izmaksas, būvprojekta minimālā sastāvā un būvprojekta izstrādes izmaksas, projekta ekspertīžu izmaksas, autoruzraudzības un būvuzraudzības izmaksas, vides un informācijas piekļūstamības ekspertu konsultāciju un būvniecības jomu regulējošos normatīvajos aktos noteiktās attiecīgo būvspeciālistu obligātās apdrošināšanas izmaksas;
30.2.
būvniecības izmaksas, tai skaitā demontāžas izmaksas un izmaksas, kas saistītas ar objektu nodošanu ekspluatācijā.
31.
Šo noteikumu 30.1. apakšpunktā minētās izmaksas nepārsniedz 10 procentus no projekta kopējām attiecināmajām izmaksām. Procentuālais ierobežojums tiek aprēķināts no projekta plānotajām izmaksām.
32.
Šo noteikumu 27.3. apakšpunktā  minētās atbalstāmās darbības ietvaros ir attiecināmas šādas ārstniecības procesam tieši nepieciešamo tehnoloģiju iegādes, piegādes un montāžas izmaksas:
32.1.
medicīniskās tehnoloģijas, tai skaitā iebūvējamās medicīniskās tehnoloģijas;
32.2.
iekārtas, ierīces, mēbeles un aprīkojums;
32.3.
informācijas tehnoloģiju aprīkojums.
33.
Projektā attiecinot medicīniskās tehnoloģijas, kuru vienas vienības piegādes izmaksas pārsniedz 20 000 euro, ieskaitot pievienotās vērtības nodokli, nepieciešams Veselības ministrijas izveidotās tehnoloģiju komisijas saskaņojums.
34.
Šo noteikumu 27.4. apakšpunktā minētā atbalstāmā darbība ietver komunikācijas un vizuālās identitātes prasību nodrošināšanas izmaksas.
35.
Šo noteikumu 27. punktā minēto atbalstāmo darbību īstenošanai ir attiecināmas neparedzētās izmaksas līdz diviem procentiem no projekta kopējām tiešajām attiecināmajām izmaksām, ko projekta iesniegumā plāno kā vienu izmaksu pozīciju un izmanto papildu īstenošanas izmaksu segšanai, kas neparedzamu apstākļu dēļ ir kļuvušas nepieciešamas projekta īstenošanai. Procentuālais ierobežojums tiek aprēķināts no projekta plānotajām izmaksām. Neparedzēto izdevumu izlietošanu pirms izdevumu veikšanas finansējuma saņēmējs saskaņo ar sadarbības iestādi, kā to nosaka līgums par projekta īstenošanu.
36.
Šo noteikumu 29. , 30. , 32. un 34. punktā  minētās izmaksas veido projekta tiešās attiecināmās izmaksas, tai skaitā:
36.1.
šo noteikumu 29. punktā minētās izmaksas veido projekta tiešās attiecināmās personāla izmaksas;
36.2.
noteikumu 30. , 32. un 34. punktā minētās izmaksas veido projekta pārējās tiešās attiecināmās izmaksas. Šīs piegāžu un pakalpojumu izmaksas ir attiecināmas, ja tās radušās, ievērojot publisko iepirkumu jomu regulējošos normatīvos aktus.
37.
Pievienotās vērtības nodoklis, kas tiešā veidā saistīts ar projektu, uzskatāms par attiecināmām izmaksām saskaņā ar Eiropas Parlamenta un Padomes 2021. gada 24. jūnija Regulas (ES) Nr. 2021/1060, ar ko paredz kopīgus noteikumus par Eiropas Reģionālās attīstības fondu, Eiropas Sociālo fondu Plus, Kohēzijas fondu, Taisnīgas pārkārtošanās fondu un Eiropas Jūrlietu, zvejniecības un akvakultūras fondu un finanšu noteikumus attiecībā uz tiem un uz Patvēruma, migrācijas un integrācijas fondu, Iekšējās drošības fondu un Finansiāla atbalsta instrumentu robežu pārvaldībai un vīzu politikai (turpmāk – regula Nr. 2021/1060), 64. panta 1. punkta "c" apakšpunktā ietvertajiem nosacījumiem.
38.
Projekta izmaksas ir attiecināmas, ja tās atbilst šajos noteikumos minētajām izmaksu pozīcijām un ir radušās ne agrāk par 2021. gada 1. janvāri. Projekta iesniegumā neiekļauj un finansējumu nepiešķir darbībām, kas pabeigtas pirms projekta iesnieguma iesniegšanas sadarbības iestādē.
VII.Pasākuma īstenošanas un finansējuma saņemšanas nosacījumi
39.
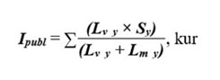
Saskaņā ar šo noteikumu 27. punktu finansējuma saņēmējs aprēķina infrastruktūras izmantošanas proporciju un piemēro to projekta kopējam finansējumam, nosakot publiskā un privātā finansējuma apmēru, atbilstoši šādam aprēķinam:
39.1.
projekta kopējo publisko izmaksu maksimālo apmēru nosaka, izmantojot šādu formulu:

– gadu skaits, kuriem tika aprēķināts projekta publisko izmaksu maksimālais apmērs;
I publ  –  attiecīgā gada publisko izmaksu maksimālais apmērs (euro);
39.2.
attiecīgā gada publisko izmaksu maksimālo apmēru nosaka, izmantojot šādu formulu:

y – projekta ietvaros veicamo atbalstāmo darbību skaits;
S – attiecīgās atbalstāmās darbības kopējās izmaksas (euro);
Lv – uz attiecīgo atbalstāmo darbību attiecināmās infrastruktūras izmantošanas laiks valsts apmaksāto veselības aprūpes pakalpojumu sniegšanai (stundas gadā);
Lm – uz attiecīgo atbalstāmo darbību attiecināmās infrastruktūras izmantošanas laiks citu darbību veikšanai (stundas gadā);
39.3.
uz attiecīgo atbalstāmo darbību attiecināmajai infrastruktūrai, kurai nav iespējams noteikt infrastruktūras izmantošanas laika sadalījumu valsts apmaksāto veselības aprūpes pakalpojumu sniegšanai un citu darbību veikšanai, laika sadalījumu nosaka atbilstoši vidējai ārstniecības iestādes infrastruktūras izmantošanas proporcijai, kas aprēķināta, infrastruktūrai, kurai ir iespējams noteikt infrastruktūras izmantošanas laika sadalījumu valsts apmaksāto veselības aprūpes pakalpojumu sniegšanai un citu darbību veikšanai, sadalot kopējo publisko izmaksu maksimālo apmēru ar šīs infrastruktūras kopējām izmaksām.
40.
Finansējuma saņēmējs infrastruktūras izmantošanas proporciju aprēķina, izmantojot iepriekšējā gada datus vai divu iepriekšējo gadu vidējos datus par infrastruktūras izmantošanu. Ja iepriekšējo gadu dati par infrastruktūras izmantošanu nav pieejami vai tie atšķiras no attīstāmās infrastruktūras izmantošanas prognozes, finansējuma saņēmējs izmanto plānotos infrastruktūras izmantošanas datus līdz brīdim, kad ir pieejami dati par attīstītās infrastruktūras izmantošanu.
41.
Finansējuma saņēmējs infrastruktūras izmantošanas proporcijas aprēķinu iesniedz sadarbības iestādē reizē ar projekta iesniegumu. 
41.1.
(Svītrots)
41.2.
(Svītrots)
42.
Ja pēc līguma par projekta īstenošanu noslēgšanas palielinās projekta publisko izmaksu maksimālais apmērs, kas aprēķināts saskaņā ar šo noteikumu 39.1. apakšpunktu, valsts atbalsta sniedzējs kopējās publiskās projekta attiecināmās izmaksas nepalielina.
43.
Finansējuma saņēmējs, iesniedzot noslēguma maksājuma pieprasījumu, nodrošina, ka saskaņā ar šo noteikumu 39.1. apakšpunktu aprēķinātais projekta kopējais publisko izmaksu maksimālais apmērs atbilst piešķirtajam kopējam publisko izmaksu maksimālajam apmēram, attiecīgi palielinot šo noteikumu 11. punktā minēto nacionālo privāto finansējumu.
44.
Īstenojot projektu, finansējuma saņēmējs:
44.1.
nodrošina šo noteikumu 27.4. apakšpunktā minētos komunikācijas un vizuālās identitātes prasību nodrošināšanas pasākumus saskaņā ar regulas Nr. 2021/1060 47. un 50. pantu un normatīvajiem aktiem par kārtību, kādā Eiropas Savienības struktūrfondu un Kohēzijas fonda ieviešanā 2021.–2027. gada plānošanas periodā nodrošināma komunikācijas un vizuālās identitātes prasību ievērošana, kā arī ievēro Eiropas Savienības fondu 2021.–2027. gada plānošanas perioda un Atveseļošanas fonda komunikācijas un dizaina vadlīnijas;
44.2.
nodrošina horizontālā principa "Vienlīdzība, iekļaušana, nediskriminācija un pamattiesību ievērošana" īstenošanu un uzkrāj datus par šādiem rādītājiem:
44.2.1.
objektu skaits, kuros Eiropas Reģionālās attīstības fonda ieguldījumu rezultātā ir nodrošināta vides un informācijas pieejamība. Finansējuma saņēmējam, iesniedzot noslēguma maksājuma pieprasījumu, ir pienākums sniegt minēto informāciju par visu projekta periodu;
44.2.2.
veikto vides un informācijas piekļūstamības pašnovērtējumu skaits atbilstoši Labklājības ministrijas izstrādātajai metodikai. Finansējuma saņēmējam, iesniedzot noslēguma maksājuma pieprasījumu, ir pienākums sniegt minēto informāciju par visu projekta periodu;
44.3.
ja projekta izmaksas pieaug, projekta sadārdzinājumu sedz no saviem līdzekļiem;
44.4.
nodrošina dubultā finansējuma neiestāšanos, kā arī to, ka projektā plānotie darbi netiek finansēti vai līdzfinansēti un tos nav plānots finansēt vai līdzfinansēt no citiem valsts un ārvalstu finanšu atbalsta instrumentiem;
44.5.
uzkrāj datus par faktiski sasniegto šo noteikumu 10. punktā minēto rādītāju;
44.6.
nodrošina sasniegto rezultātu ilgtspēju vismaz piecus gadus pēc noslēguma maksājuma veikšanas;
44.7.
atbilstoši regulas Nr. 2021/1060 9. panta 4. punktam un Eiropas Parlamenta un Padomes 2020. gada 18. jūnija Regulas (ES) 2020/852 par regulējuma izveidi ilgtspējīgu ieguldījumu veicināšanai un ar kuru groza Regulu (ES) 2019/2088, 17. pantam nodrošina, ka tiek ievēroti šādi principa "Nenodarīt būtisku kaitējumu" vides mērķi:
44.7.1.
klimata pārmaiņu mazināšana;
44.7.2.
pielāgošanās klimata pārmaiņām;
44.7.3.
ilgtspējīga ūdens un jūras resursu izmantošana un aizsardzība;
44.7.4.
pāreja uz aprites ekonomiku, ieskaitot atkritumu rašanās novēršanu un to reciklēšanu;
44.7.5.
piesārņojuma novēršana un kontrole;
44.7.6.
bioloģiskās daudzveidības un ekosistēmu aizsardzība un atjaunošana;
44.8.
nodrošina, ka projekta īstenošanas laikā nekustamie īpašumi, kuri nepieciešami projekta īstenošanai, ir finansējuma saņēmēja, valsts vai pašvaldības īpašumā, ilgtermiņa nomā (vismaz 10 gadi), patapinājumā vai valdījumā un tiesību prasība ir nostiprināta zemesgrāmatā. Ja investīcijas ir veiktas ēkās un būvēs, nepalielinot apbūves laukumu, īpašumtiesībām vai citām tiesībām attiecībā uz zemi nav jābūt nostiprinātām zemesgrāmatā;
44.9.
iepirkumus, kuri nepieciešami atbalstāmo darbību īstenošanai, veic atklātā, pārredzamā, nediskriminējošā, konkurenci nodrošinošā un atbilstoši iespējām sociāli atbildīgā veidā, kā arī saskaņā ar normatīvajiem aktiem publisko iepirkumu jomā, ievērojot nediskriminācijas principus. Projekta ietvaros ir atbalstāma vides prasību un inovatīva risinājuma integrēšana preču un pakalpojuma iepirkumos (zaļais publiskais iepirkums un inovāciju publiskais iepirkums);
44.10.
izstrādā nosacījumus, kā tas pārliecinās par interešu konflikta, krāpšanas un korupcijas risku neesību, tostarp identificē apstākļus, kuri izraisa vai var izraisīt interešu konfliktu un krāpšanas un korupcijas riskus, kas rada apdraudējumu vai kaitējumu projekta īstenošanai, nosaka veicamos pasākumus un izstrādā darbības plānu interešu konflikta un krāpšanas un korupcijas risku preventīvai novēršanai un gadījumiem, kad interešu konflikts, krāpšana vai korupcija ir atklāta;
44.11.
nodrošina, ka atbalsts ne mazāk kā 30 procentu apmērā tiek ieguldīts infrastruktūras attīstībai, kurā tiek nodrošināti sekundārie ambulatorie veselības aprūpes pakalpojumi, kā arī attiecīgi nodrošina uzskaiti.
45.
Sadarbības iestāde, ja tai ir pieejami valsts budžeta līdzekļi, pamatojoties uz finansējuma saņēmēja rakstisku avansa pieprasījumu, pēc plānotā avansa apmēra un tā pamatojuma izvērtēšanas var piešķirt finansējuma saņēmējam avansu pēc tam, kad ir noslēgts līgums par projekta īstenošanu. Finansējuma saņēmējs avansa pieprasījumu sagatavo un sadarbības iestāde to apstiprina, ņemot vērā nosacījumu, ka plānotā avansa apmērs atbilst spējai to izlietot sešu mēnešu laikā saimnieciskā gada ietvaros. Finansējuma saņēmējam avansu var piešķirt līdz 30 procentiem no projektam piešķirtā Eiropas Reģionālās attīstības fonda finansējuma, ievērojot, ka avansu var izmaksāt vairākos maksājumos un avansa un starpposma maksājumu kopsumma nepārsniedz 90 procentus no projektam piešķirtā Eiropas Reģionālās attīstības fonda finansējuma apmēra.
46.
Pasākuma ietvaros projektu īsteno saskaņā ar līgumu par projekta īstenošanu, kas noslēgts starp finansējuma saņēmēju un sadarbības iestādi, bet ne ilgāk kā līdz 2029. gada 31. decembrim.
Pielikums
Ministru kabineta
2024. gada 30. aprīļa
noteikumiem Nr.
273
Eiropas Savienības Kohēzijas politikas programmas 2021.–2027. gadam 4.1.1. specifiskā atbalsta mērķa "Nodrošināt vienlīdzīgu piekļuvi veselības aprūpei un stiprināt veselības sistēmu, tostarp primārās veselības aprūpes noturību" 4.1.1.1. pasākuma "Ārstniecības iestāžu infrastruktūras attīstība" otrās kārtas finansējuma saņēmēji (I–III līmeņa un pārējās slimnīcas) un finansējuma sadalījums

Nr.

p. k.

Finansējuma saņēmējs1 Pasākumam plānotais un pieejamais attiecināmais finansējums pa finansējuma avotiem (euro)
kopā Eiropas Reģionālās attīstības fonda finansējums nacionālais finansējums
(valsts budžeta un privātais finansējums)
1 2 3 = 4 + 5 4 5
1 4.1.1.1. pasākuma "Ārstniecības iestāžu infrastruktūras attīstība" otrās kārtas finansējuma saņēmēji 15 089 807 12 826 335,00 2 263 472,00
III līmeņa ārstniecības iestādes
1.1.

Madonas slimnīca, SIA

1 467 008 1 246 956,80 220 051,20
1.2.

Cēsu klīnika, SIA

1 431 728 1 216 968,80 214 759,20
1.3.

Dobeles un apkārtnes slimnīca, SIA

1 080 038 918 032,30 162 005,70
1.4.

Jūrmalas slimnīca, SIA

1 196 771 1 017 255,30 179 515,70
1.5.

Ogres rajona slimnīca, SIA

1 703 140 1 447 669,00 255 471,00
1.6.

Balvu un Gulbenes slimnīcu apvienība, SIA

1 134 588 964 399,80 170 188,20
1.7.

Kuldīgas slimnīca, SIA

1 211 761 1 029 996,80 181 764,20
II līmeņa ārstniecības iestādes
1.8.

Alūksnes slimnīca, SIA

569 112 483 745,20 85 366,80
1.9.

Preiļu slimnīca, SIA

511 074 434 412,90 76 661,10
1.10.

Tukuma slimnīca, SIA

846 850 719 822,00 127 028,00
1.11.

Krāslavas slimnīca, SIA

514 419 437 256,10 77 162,90

I līmeņa ārstniecības iestādes

1.12.

Līvānu slimnīca, PSIA

204 522 173 843,70 30 678,30
1.13.

Aizkraukles slimnīca, SIA

480 317 408 269,40 72 047,60
1.14.

Bauskas slimnīca, SIA

431 233 366 548,00 64 685,00
1.15.

Limbažu slimnīca, SIA

502 845 427 418,20 75 426,80
1.16.

Ludzas medicīnas centrs, SIA

500 704 425 598,40 75 105,60
Specializētās ārstniecības iestādes
1.17.

Rīgas 2. slimnīca, SIA

781 307 664 110,90 117 196,10
1.18.

Siguldas slimnīca, SIA

316 476 269 004,60 47 471,40
Pārējās slimnīcas
1.19.

Saldus medicīnas centrs, SIA

150 619 128 026,10 22 592,90
1.20.

Priekules slimnīca, SIA

55 295 47 000,70 8 294,30

 

Piezīme.

Finansējuma saņēmēji ir stacionāro veselības aprūpes pakalpojumu sniedzēji  saskaņā ar Ministru kabineta 2018. gada 28. augusta noteikumu Nr. 555 "Veselības aprūpes pakalpojumu organizēšanas un samaksas kārtība" 6. pielikumā noteiktajām I–III līmeņa ārstniecības iestādēm,  pārējām slimnīcām un specializētajām ārstniecības iestādēm.