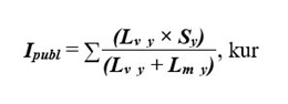
x – gadu skaits, kuriem tika aprēķināts projekta publisko izmaksu maksimālais apmērs;
Ipubl – attiecīgā gada publisko izmaksu maksimālais apmērs (euro);
y – attiecīgā projekta ietvaros veicamo atbalstāmo darbību skaits;
S – attiecīgās atbalstāmās darbības kopējās izmaksas (euro);
Lv – uz attiecīgo atbalstāmo darbību attiecināmās infrastruktūras izmantošanas laiks valsts apmaksāto veselības aprūpes pakalpojumu sniegšanai (stundas gadā);
Lm – uz attiecīgo atbalstāmo darbību attiecināmās infrastruktūras izmantošanas laiks citu darbību veikšanai (stundas gadā);
Nr. |
Atbalsta saņēmējs | Pasākumam plānotais un pieejamais attiecināmais finansējums pa finansējuma avotiem (euro) | ||
| kopā | Eiropas Reģionālās attīstības fonda finansējums | nacionālais finansējums (valsts budžeta un privātais finansējums) |
||
| 1 | 2 | 3 = 4 + 5 | 4 | 5 |
| 1. | 4.1.1.1. pasākuma "Ārstniecības iestāžu infrastruktūras attīstība" pirmās kārtas atbalsta saņēmēji |
82 767 751,00 | 70 352 588,00 | 12 415 163,00 |
| 1.1. | SIA "Rīgas Austrumu klīniskā universitātes slimnīca" |
48 027 791,00 | 40 823 622,00 | 7 204 169,00 |
| 1.2. | VSIA "Bērnu klīniskā universitātes slimnīca" |
3 155 455,00 | 2 682 136,75 | 473 318,25 |
| 1.3. | SIA "Liepājas reģionālā slimnīca" |
2 459 604,00 | 2 090 663,40 | 368 940,60 |
| 1.4. | SIA "Daugavpils reģionālā slimnīca" |
3 279 472,00 | 2 787 551,20 | 491 920,80 |
| 1.5. | SIA "Ziemeļkurzemes reģionālā slimnīca" |
1 557 749,00 | 1 324 086,65 | 233 662,35 |
| 1.6. | SIA "Vidzemes slimnīca" |
1 926 690,00 | 1 637 686,50 | 289 003,50 |
| 1.7. | SIA "Rēzeknes slimnīca" |
2 033 273,00 | 1 728 282,05 | 304 990,95 |
| 1.8. | VSIA "Traumatoloģijas un ortopēdijas slimnīca" |
3 152 533,00 | 2 679 653,05 | 472 879,95 |
| 1.9. | SIA "Rīgas Dzemdību nams" |
2 051 046,00 | 1 743 389,10 | 307 656,90 |
| 1.10. | VSIA "Nacionālais rehabilitācijas centrs "Vaivari"" |
3 628 773,00 | 3 084 457,05 | 544 315,95 |
| 1.11. | SIA "Jelgavas pilsētas slimnīca" |
3 155 455,00 | 2 682 136,75 | 473 318,25 |
| 1.12. | SIA "Jēkabpils reģionālā slimnīca" |
2 839 910,00 | 2 413 923,50 | 425 986,50 |
| 1.13. | Valsts tiesu medicīnas ekspertīžu centrs |
5 500 000,00 | 4 675 000,00 | 825 000,00 |
| 2. | 4.1.1.1. pasākuma "Ārstniecības iestāžu infrastruktūras attīstība" piektās kārtas atbalsta saņēmēji |
81 543 211,00 | 69 311 729,00 | 12 231 482,00 |
| 2.1. | SIA "Rīgas Austrumu klīniskā universitātes slimnīca", projekta Nr. 9.3.2.0/17/I/004 2. posma projekts |
13 651 480,00 | 11 603 758,00 | 2 047 722,00 |
| 2.2. | VSIA "Paula Stradiņa klīniskā universitātes slimnīca", projekta Nr. 9.3.2.0/17/I/013 (Slimnīcas A2 korpusa attīstība) 2. posma projekts |
67 891 730,18 | 57 707 970,65 | 10 183 759,53 |
| 3. | 4.1.1.1. pasākuma "Ārstniecības iestāžu infrastruktūras attīstība" sestās kārtas atbalsta saņēmēji |
83 293 509,00 (no tā elastības finansējums 46 682 293) |
70 799 482,00 (no tā elastības finansējums 39 679 949) |
12 494 027,00 (no tā elastības finansējums 7 002 344) |
| 3.1. | VSIA "Paula Stradiņa klīniskā universitātes slimnīca" |
15 000 000,00 | 12 750 000,00 | 2 250 000,00 |
| 3.2. | SIA "Rīgas Austrumu klīniskā universitātes slimnīca" |
68 293 509,00 | 58 049 482,00 | 10 244 027,00 |
| 4. | 4.1.1.5. pasākuma "Neatliekamās medicīniskās palīdzības dienesta attīstība" atbalsta saņēmējs |
12 307 060,00 | 10 461 001,00 | 1 846 059,00 |
| 4.1. | Neatliekamās medicīniskās palīdzības dienests |
12 307 060,00 | 10 461 001,00 | 1 846 059,00 |
KOPĀ |
4.1.1.1. pasākuma pirmā, piektā un sestā kārta un 4.1.1.5. pasākums | 259 911 531,00 | 220 924 800,00 | 38 986 731,00 |
