25-TA-3060
Eiropas Savienības kohēzijas politikas programmas 2021.–2027. gadam 4.1.1. specifiskā atbalsta mērķa "Nodrošināt vienlīdzīgu piekļuvi veselības aprūpei un stiprināt veselības sistēmu, tostarp primārās veselības aprūpes noturību" 4.1.1.1. pasākuma "Ārstniecības iestāžu infrastruktūras attīstība" pirmās un piektās kārtas un 4.1.1.5. pasākuma "Neatliekamās medicīniskās palīdzības dienesta attīstība" īstenošanas noteikumi
(Noteikumu nosaukums MK 22.07.2025. noteikumu Nr. 465 redakcijā)
Izdoti saskaņā ar Eiropas Savienības fondu 2021.–2027. gada plānošanas perioda vadības likuma 19. panta 6. un 13. punktu
I.Vispārīgie jautājumi
1.
Noteikumi nosaka:
1.1.
kārtību, kādā īsteno Eiropas Savienības kohēzijas politikas programmas 2021.–2027. gadam 4.1.1. specifiskā atbalsta mērķa "Nodrošināt vienlīdzīgu piekļuvi veselības aprūpei un stiprināt veselības sistēmu, tostarp primārās veselības aprūpes noturību" (turpmāk – specifiskais atbalsta mērķis) 4.1.1.1. pasākuma "Ārstniecības iestāžu infrastruktūras attīstība" (turpmāk – 4.1.1.1. pasākums) pirmo un piekto kārtu un 4.1.1.5. pasākumu "Neatliekamās medicīniskās palīdzības dienesta attīstība" (turpmāk – 4.1.1.5. pasākums) (turpmāk visi kopā – pasākums);
1.2.
pasākuma mērķi;
1.3.
pasākumam plānoto un pieejamo finansējumu un nacionālā līdzfinansējuma likmi;
1.4.
prasības Eiropas Reģionālās attīstības fonda projekta (turpmāk – projekts) iesniedzējam, finansējuma saņēmējam un sadarbības partnerim (ja attiecināms);
1.5.
atbalstāmo darbību un izmaksu attiecināmības nosacījumus, tostarp komercdarbības atbalsta piešķiršanas nosacījumus.
(Grozīts ar MK 02.04.2024. noteikumiem Nr. 213; MK 21.01.2025. noteikumiem Nr. 58; MK 22.07.2025. noteikumiem Nr. 465)
2.
Pasākuma projektu iesniegumu atlases īsteno ierobežotas projektu iesniegumu atlases veidā.
3.
Pasākuma ietvaros atbildīgās iestādes funkcijas pilda Veselības ministrija (turpmāk – atbildīgā iestāde).
4.
Pasākuma ietvaros plānotais atbalsta veids ir grants (dotācija) ar nosacījumiem.
5.
Projektu īstenošanas vieta ir Latvijas Republika.
II.Pasākuma mērķis un plānotie rādītāji
6.
Pasākuma mērķis ir nodrošināt vienlīdzīgu piekļuvi veselības aprūpei un stiprināt veselības sistēmu, attīstot veselības aprūpes infrastruktūru.
7.
Pasākuma mērķa grupa ir visi Latvijas iedzīvotāji, veselības aprūpes pakalpojumu sniedzēji, Veselības ministrijas padotības iestādes, ārstniecības iestādes.
8.
4.1.1.1. pasākuma pirmās un piektās kārtas ietvaros sasniedzamie iznākuma rādītāji:
8.1.
pirmās kārtas ietvaros sasniedzamais iznākuma rādītājs – jaunu vai modernizētu veselības aprūpes iestāžu kapacitāte, nodrošinot, ka līdz 2029. gada 31. decembrim pasākuma ietvaros izveidotās vai uzlabotās veselības aprūpes iestādes vismaz vienu reizi gada laikā apmeklē 2 320 755 iedzīvotāji;
8.2.
piektās kārtas ietvaros sasniedzamie iznākuma rādītāji:
8.2.1.
uzlaboto ārstniecības iestāžu skaits, kurās attīstīta infrastruktūra veselības aprūpes pakalpojumu sniegšanai, – 4 ārstniecības iestādes;
8.2.2.
iedzīvotāju skaits, kuriem ir pieejami uzlaboti veselības aprūpes pakalpojumi, – 1 839 598 iedzīvotāji.
(MK 02.04.2024. noteikumu Nr. 213 redakcijā)
9.
Specifiskā atbalsta mērķa iznākuma rādītājs – noslēgto līgumu īpatsvars par ieguldījumiem veselības aprūpes infrastruktūras objektos, nodrošinot, ka līdz 2029. gada 31. decembrim noslēgti līgumi vai vienošanās par projektu īstenošanu 100 procentu apmērā no specifiskā atbalsta mērķim pieejamā kopējā attiecināmā finansējuma, tai skaitā 4.1.1.1. pasākuma pirmās kārtas ietvaros līdz 2024. gada 31. decembrim – vismaz 5 procentu apmērā no specifiskā atbalsta mērķim pieejamā kopējā attiecināmā finansējuma.
(MK 02.04.2024. noteikumu Nr. 213 redakcijā)
10.
Specifiskā atbalsta mērķa rezultāta rādītājs – personu skaits gadā, kuras izmanto jaunu vai modernizētu veselības aprūpes iestāžu pakalpojumus, nodrošinot, ka līdz 2029. gada 31. decembrim jaunu vai modernizētu veselības aprūpes iestāžu pakalpojumus izmanto 3 878 460 personas gadā, tai skaitā 4.1.1.1. pasākuma pirmās kārtas ietvaros – 2 109 778 personas gadā.
(MK 02.04.2024. noteikumu Nr. 213 redakcijā)
11.
4.1.1.5. pasākuma specifiskais iznākuma rādītājs ir Neatliekamās medicīniskās palīdzības pakalpojumu sniegšanas efektivitātes uzlabošana, līdz 2029. gada 31. decembrim izveidojot trīs brigāžu atbalsta centrus tuvāk pakalpojumu saņēmējiem reģionos.
III.Pasākuma finansējums
12.
4.1.1.1. pasākuma pirmās kārtas ietvaros plānotais un pieejamais kopējais finansējums ir 177 030 930 euro, tai skaitā Eiropas Reģionālās attīstības fonda finansējums ir 150 476 289 euro un nacionālais finansējums, kas iekļauj valsts budžeta un privāto finansējumu, ir 26 554 641 euro.
12.1
4.1.1.1. pasākuma piektās kārtas ietvaros plānotais un pieejamais kopējais finansējums ir 133 543 211 euro (no tā elastības finansējums – 46 682 293 euro), tai skaitā Eiropas Reģionālās attīstības fonda finansējums ir 113 511 729 euro (no tā elastības finansējums – 39 679 949 euro) un nacionālais finansējums, kas iekļauj valsts budžeta un privāto finansējumu, ir 20 031 482 euro (no tā elastības finansējums – 7 002 344 euro).
(MK 22.07.2025. noteikumu Nr. 465 redakcijā)
12.2
(Svītrots ar MK 22.07.2025. noteikumiem Nr. 465)
13.
4.1.1.5. pasākuma ietvaros plānotais un pieejamais kopējais finansējums ir 12 307 060 euro, tai skaitā Eiropas Reģionālās attīstības fonda finansējums ir 10 461 001 euro un nacionālais valsts budžeta finansējums ir 1 846 059 euro.
14.
Maksimālais attiecināmais Eiropas Reģionālās attīstības fonda finansējuma apmērs nav lielāks par 85 procentiem, bet nacionālais finansējums, kas iekļauj valsts budžeta un privāto finansējumu, nav mazāks par 15 procentiem no projektam plānotā kopējā attiecināmā finansējuma. Attiecināmais nacionālais privātais līdzfinansējums katram projektam tiek noteikts saskaņā ar šo noteikumu 44. punktu.
(MK 02.04.2024. noteikumu Nr. 213 redakcijā)
IV.Komercdarbības atbalsta piešķiršanas nosacījumi
15.
4.1.1.1. pasākuma pirmās un piektās kārtas finansējuma saņēmējiem, izņemot šo noteikumu 23. punktā minēto gadījumu, komercdarbības atbalstu piešķir atbilstoši šīs nodaļas nosacījumiem.
(MK 22.07.2025. noteikumu Nr. 465 redakcijā)
16.
Finansējuma saņēmējs atbilstoši normatīvajiem aktiem par veselības aprūpes organizēšanu un samaksu ir noslēdzis ar Nacionālo veselības dienestu (turpmāk – pilnvarojuma uzlicējs) deleģēšanas līgumu par sabiedrisko pakalpojumu sniegšanu. Līgumā norāda:
16.1.
konkrētus sniedzamos sabiedriskos pakalpojumus;
16.2.
prasības sabiedrisko pakalpojumu sniedzējam par nepieciešamo sabiedrisko pakalpojumu sniegšanas infrastruktūru;
16.3.
līguma darbības laiku, kas nepārsniedz 10 gadus;
16.4.
sabiedrisko pakalpojumu sniegšanas teritoriju;
16.5.
pakalpojuma sniedzējam piešķirto ekskluzīvo vai īpašo tiesību būtību, ja tas sniedz pakalpojumu ar vispārēju tautsaimniecisku nozīmi;
16.6.
informāciju par iespēju saņemt atlīdzības (kompensācijas) maksājumus un nosacījumus atlīdzības (kompensācijas) maksājumu aprēķināšanai, kontrolei un pārskatīšanai, kā arī atlīdzības (kompensācijas) maksājumu pārmaksas novēršanai un atmaksāšanai;
16.7.
atsauci uz Komisijas 2011. gada 20. decembra lēmumu Nr. 2012/21/ES par Līguma par Eiropas Savienības darbību 106. panta 2. punkta piemērošanu valsts atbalstam attiecībā uz kompensāciju par sabiedriskajiem pakalpojumiem dažiem uzņēmumiem, kuriem uzticēts sniegt pakalpojumus ar vispārēju tautsaimniecisku nozīmi.
17.
Finansējuma saņēmējs projektam pievieno vispārējas tautsaimnieciskas nozīmes pakalpojuma sniegšanas pilnvarojuma uzlicēja apliecinājumu, ka tas kontrolēs un pārskatīs šo noteikumu 16.6. apakšpunktā minētos deleģēšanas līgumā paredzētos atlīdzības (kompensācijas) maksājumus, kā arī novērsīs un atgūs deleģēšanas līgumā paredzēto atlīdzības (kompensācijas) maksājumu pārmaksu, regulāri, bet ne retāk kā reizi trijos gados un pilnvarojuma akta darbības perioda beigās veicot līgumā noteiktās pārbaudes.
18.
Ja tiek pārkāptas šajos noteikumos noteiktās komercdarbības atbalsta piešķiršanas prasības vispārējas tautsaimnieciskas nozīmes pakalpojuma sniegšanai, finansējuma saņēmējam ir pienākums atmaksāt atbalsta sniedzējam visu projekta ietvaros saņemto nelikumīgo komercdarbības atbalstu kopā ar procentiem no līdzekļiem, kas ir brīvi no komercdarbības atbalsta, saskaņā ar Komercdarbības atbalsta kontroles likuma IV vai V nodaļu.
19.
Pilnvarojuma uzlicējam un finansējuma saņēmējam ir pienākums dokumentāciju par saņemto komercdarbības atbalstu glabāt 10 gadus no pilnvarojuma termiņa beigām, savukārt sadarbības iestādei ir pienākums dokumentāciju, kas saistīta ar komercdarbības atbalsta piešķiršanu, glabāt 10 gadus no atbalsta piešķiršanas dienas.
20.
Šo noteikumu 15. punktā minēto komercdarbības atbalstu drīkst kumulēt ar citu komercdarbības atbalstu, ko piešķir par pakalpojuma ar vispārēju tautsaimniecisku nozīmi sniegšanu, citas atbalsta programmas vai individuālā atbalsta projekta ietvaros par vienām un tām pašām attiecināmajām izmaksām, ja pēc atbalstu apvienošanas atbalsta vienībai vai izmaksu pozīcijai attiecīgā maksimālā atbalsta intensitāte nepārsniedz 100 procentus.
21.
Par komercdarbības atbalsta piešķiršanas dienu ir uzskatāma:
21.1.
4.1.1.1. pasākuma pirmās kārtas ietvaros – diena, kad sadarbības iestāde sniedz lēmumu par projekta apstiprināšanu vai atzinumu par nosacījumu izpildi;
21.2.
4.1.1.1. pasākuma piektās kārtas ietvaros – diena, kad pieņemts sadarbības iestādes lēmums par Eiropas Savienības fondu 2014.–2020. gada plānošanas perioda darbības programmas "Izaugsme un nodarbinātība" prioritārā virziena "Sociālā iekļaušana un nabadzības apkarošana" 9.3.2. specifiskā atbalsta mērķa "Uzlabot kvalitatīvu veselības aprūpes pakalpojumu pieejamību, jo īpaši sociālās, teritoriālās atstumtības un nabadzības riskam pakļautajiem iedzīvotājiem, attīstot veselības aprūpes infrastruktūru" projekta iesnieguma apstiprināšanu;
21.3.
ja pēc līguma noslēgšanas 4.1.1.1. pasākuma pirmās kārtas ietvaros šo noteikumu pielikuma 1.1. un 1.8. ailē minētie finansējuma saņēmēji vai 4.1.1.1. pasākuma piektās kārtas finansējuma saņēmēji iesniedz priekšlikumus par grozījumiem līguma nosacījumos, palielinot attiecināmās izmaksas atbilstoši šo noteikumu 55. punktam, – līguma grozījumu parakstīšanas diena.
(MK 02.04.2024. noteikumu Nr. 213 redakcijā, kas grozīta ar MK 21.01.2025. noteikumiem Nr. 58; MK 22.07.2025. noteikumiem Nr. 465)
22.
4.1.1.5. pasākuma ietvaros atbalsts tiek sniegts deleģētās valsts funkcijas nodrošināšanai, un tas nav kvalificējams kā komercdarbības atbalsts. Finansējuma saņēmējs valsts deleģētās funkcijas īstenošanai paredzētās darbības un izmaksas nodala no citiem pakalpojumiem (tostarp maksas pakalpojumiem).
23.
Šo noteikumu pielikuma 1.13. ailē minētajam 4.1.1.1. pasākuma projekta iesniedzējam atbalsts tiek sniegts deleģētās valsts funkcijas nodrošināšanai, un tas nav kvalificējams kā komercdarbības atbalsts, tostarp minētajam finansējuma saņēmējam pamatlīdzekļu un ilgtermiņa ieguldījumu nolietojuma periodā ir pieļaujams veikt papildinošu saimniecisko darbību 20 procentu apmērā no infrastruktūras gada jaudas platības, laika vai finanšu izteiksmē, lai atbalsts pasākuma ietvaros netiktu kvalificēts kā komercdarbības atbalsts. Ar papildinošu saimniecisko darbību saprot darbības, kas ir tieši saistītas ar infrastruktūras ekspluatāciju un tai nepieciešamas vai nesaraujami saistītas ar tās galveno ar saimniecisko darbību nesaistīto izmantojumu, patērējot tādu pašu resursu (piemēram, materiāli, aprīkojums, darbaspēks, pamatkapitāls) apjomu kā ar saimniecisko darbību nesaistītajām darbībām.
24.
Ja tiek konstatēts, ka infrastruktūrā, par kuru iesniegts projekta iesniegums, tiek veikta ne vien papildinoša saimnieciskā darbība, kas pārsniedz šo noteikumu 23. punktā minēto apmēru, bet tiek veikta arī cita saimnieciskā darbība, projekta iesniedzējam proporcionāli šai infrastruktūras daļai platības, laika vai finanšu izteiksmē ir pienākums atmaksāt sadarbības iestādei saņemto nelikumīgo komercdarbības atbalstu kopā ar procentiem no līdzekļiem, kas brīvi no valsts atbalsta, saskaņā ar Komercdarbības atbalsta kontroles likuma IV vai V nodaļu.
25.
Šo noteikumu 23. punktā minētā papildinošās saimnieciskās darbības aprēķina veidu nav pieļaujams mainīt projekta īstenošanas laikā. Aprēķins veicams atbilstoši sākotnēji izvēlētajam veidam platības, laika vai finanšu izteiksmē.
26.
Finansējuma saņēmējs visā projekta dzīves ciklā katru gadu sagatavo pārskatu par papildinošas saimnieciskās darbības apjomu un nodrošina minēto pārskatu un aprēķinus pamatojošo dokumentu pieejamību papildinošas saimnieciskās darbības uzraudzībai.
(MK 21.01.2025. noteikumu Nr. 58 redakcijā)
26.1
Ja finansējuma saņēmējs konstatē, ka ir pārsniegts šo noteikumu 23. punktā minētais 20 procentu ierobežojums no infrastruktūras gada jaudas platības, laika vai finanšu izteiksmē vai ka veiktās investīcijas tiek izmantotas citai saimnieciskai darbībai, kas nav uzskatāma par papildinošu saimniecisku darbību, tas saskaņā ar civiltiesisko līgumu vai vienošanos par projekta īstenošanu iesniedz noteiktā termiņā sadarbības iestādē ziņojumu par konstatēto šo noteikumu 23. punktā minēto nosacījumu pārkāpumu.
(MK 21.01.2025. noteikumu Nr. 58 redakcijā)
26.2
Sadarbības iestādei ir tiesības projekta dzīves cikla laikā pieprasīt finansējuma saņēmējam papildinošās saimnieciskās darbības pārskatus, tai skaitā gadījumos, kad no finansējuma saņēmēja, kompetentajām iestādēm vai trešajām personām saņemta informācija par papildinošās saimnieciskās darbības nosacījumu pārkāpumu.
(MK 21.01.2025. noteikumu Nr. 58 redakcijā)
27.
Projekta iesniedzējs tiks vērtēts grupas līmenī, un tas nevar pretendēt uz atbalsta saņemšanu, ja tas atbilst grūtībās nonākuša komersanta statusam saskaņā ar Komisijas 2014. gada 17. jūnija Regulas Nr. 651/2014, ar ko noteiktas atbalsta kategorijas atzīst par saderīgām ar iekšējo tirgu, piemērojot Līguma 107. un 108. pantu, 2. panta 18. punktu.
(MK 21.01.2025. noteikumu Nr. 58 redakcijā)
28.
Finansējuma saņēmējs projektam pievieno apliecinājumu, ka attiecībā uz to nepastāv Maksātnespējas likumā noteiktie ierobežojumi tiesiskās aizsardzības procesa lietas ierosināšanai un pasludināšanai un finansējuma saņēmējam nekad nav bijusi ierosināta maksātnespējas procesa lieta.
V.Prasības projekta iesniedzējam, sadarbības partnerim un projekta vērtēšanai
(Nodaļas nosaukums MK 22.07.2025. noteikumu Nr. 465 redakcijā)
29.
Projekta iesniedzējs, kas pēc sadarbības iestādes lēmuma par projekta iesnieguma apstiprināšanu kļūst par finansējuma saņēmēju, pasākuma ietvaros ir ārstniecības iestāde atbilstoši šo noteikumu pielikumam.
29.1
Šo noteikumu pielikuma 2.2. ailē minētais finansējuma saņēmējs, slēdzot rakstisku sadarbības līgumu, sadarbības partnera statusā var piesaistīt valsts sabiedrību ar ierobežotu atbildību "Valsts nekustamie īpašumi".
(MK 22.07.2025. noteikumu Nr. 465 redakcijā)
29.2
Finansējuma saņēmējs atbilstoši normatīvajiem aktiem par kārtību, kādā Eiropas Savienības fondu vadībā iesaistītās institūcijas nodrošina šo fondu ieviešanu 2021.–2027. gada plānošanas periodā, slēdz sadarbības līgumus ar sadarbības partneriem, kontrolē to izpildi un novērš dubultā finansējuma riskus. Sadarbības līgumā iekļauj vismaz šādus nosacījumus:
29.21.
sadarbības partnera īstenojamās atbalstāmās darbības un to apjoms;
29.22.
pārskatu un citas informācijas iesniegšanas kārtība un termiņi.
(MK 22.07.2025. noteikumu Nr. 465 redakcijā)
29.3
Finansējuma saņēmējs un sadarbības partneri (ja attiecināms), iesaistoties projekta īstenošanā, nodrošina, lai funkcijas, kuras tie pilda projekta īstenošanā, tiktu nodalītas no pamatfunkciju izpildes un saimnieciskās darbības, kā arī nodrošina atsevišķu ieņēmumu un izdevumu grāmatvedības uzskaiti, darbību un ar to īstenošanu saistīto finanšu plūsmu nodalīšanu.
(MK 22.07.2025. noteikumu Nr. 465 redakcijā)
29.4
Sadarbības partneris, izņemot šo noteikumu 29.1 minēto sadarbības partneri, iesaistās projekta īstenošanā ar saviem resursiem, tai skaitā ar tā īpašumā, valdījumā, turējumā vai lietojumā esošo nekustamo īpašumu (tiesību prasība ir nostiprināta zemesgrāmatā), kā arī iesniedz pārskatus un citu informāciju atbilstoši sadarbības līgumā noteiktajai kārtībai.
(MK 22.07.2025. noteikumu Nr. 465 redakcijā)
30.
Projekta iesniedzējs kopā ar sadarbības partneri (ja attiecināms) sagatavo projekta iesniegumu atbilstoši projektu iesniegumu atlases nolikumā noteiktajām prasībām un iesniedz to sadarbības iestādē, izmantojot Kohēzijas politikas fondu vadības informācijas sistēmu.
(MK 22.07.2025. noteikumu Nr. 465 redakcijā)
31.
Projekta iesnieguma vērtēšanas komisijā sadarbības iestāde iekļauj pārstāvi no Veselības ministrijas kā nozares pārstāvi, kā arī pārstāvi no Nacionālā veselības dienesta.
32.
Sadarbības iestāde pasākuma projektu iesniegumu atlases ietvaros organizē ierobežotas projektu iesniegumu atlases, uzaicinot tajās piedalīties šo noteikumu pielikumā minētos katra pasākuma projektu iesniedzējus. 4.1.1.1. pasākuma piektās kārtas ietvaros projektu iesniegumu atlase netiek veikta.
(MK 02.04.2024. noteikumu Nr. 213 redakcijā)
32.1
(Svītrots ar MK 22.07.2025. noteikumiem Nr. 465)
VI.Pasākuma atbalstāmās darbības un attiecināmās izmaksas
33.
Lai attīstītu infrastruktūru, kurā tiek nodrošināti valsts apmaksāti veselības aprūpes pakalpojumi, pasākuma ietvaros ir atbalstāmas šādas darbības:
33.1.
projekta vadības nodrošināšana;
33.2.
būvniecība;
33.3.
tehnoloģiju iegāde, piegāde un montāža;
33.4.
komunikācijas un vizuālās identitātes prasību nodrošināšana.
34.
Šo noteikumu 33.1. apakšpunktā minētās atbalstāmās darbības ietvaros ir attiecināmas finansējuma saņēmēja projekta vadības personāla atlīdzības izmaksas, kas radušās uz darba līguma vai uzņēmuma līguma pamata, tai skaitā normatīvajos aktos noteiktās piemaksas un nodokļi, šādā apmērā:
34.1.
ja projekta tiešās attiecināmās izmaksas ir virs 5 000 000 euro, – nepārsniedzot 84 787 euro gadā;
34.2.
ja projekta tiešās attiecināmās izmaksas ir līdz 5 000 000 euro (ieskaitot), ierobežojumu aprēķina ar minimālo izmaksu bāzi 34 422 euro gadā, pieskaitot 0,64 procentus no projekta tiešajām attiecināmajām izmaksām, bet neieskaitot projekta vadības personāla izmaksas;
34.3.
(svītrots ar MK 19.11.2025. noteikumiem Nr. 684).
35.
Šo noteikumu 33.2. apakšpunktā minētās atbalstāmās darbības ietvaros ir attiecināmas šādas ar būvniecību saistītas izmaksas:
35.1.
būvniecības ieceres dokumentācijas un arhitektoniski mākslinieciskās izpētes izstrādes izmaksas, funkcionālā plānojuma un tehniskās specifikācijas izstrādes izmaksas, būvprojekta minimālā sastāvā un būvprojekta izstrādes izmaksas, projekta ekspertīžu izmaksas, autoruzraudzības un būvuzraudzības izmaksas un būvniecības jomu regulējošos normatīvajos aktos noteiktās attiecīgo būvspeciālistu obligātās apdrošināšanas izmaksas;
35.2.
būvniecības izmaksas, tai skaitā demontāžas izmaksas un izmaksas, kas saistītas ar objektu nodošanu ekspluatācijā.
36.
Šo noteikumu 35.1. apakšpunktā minētās izmaksas nepārsniedz 10 procentus no projekta kopējām attiecināmajām izmaksām.
37.
Šo noteikumu 33.3. apakšpunktā minētās atbalstāmās darbības ietvaros ir attiecināmas šādas ārstniecības procesam tieši nepieciešamo tehnoloģiju iegādes, piegādes un montāžas izmaksas:
37.1.
medicīniskās tehnoloģijas, tai skaitā iebūvējamās medicīniskās tehnoloģijas;
37.2.
iekārtas, ierīces, mēbeles un aprīkojums;
37.3.
informācijas tehnoloģiju aprīkojums;
37.4.
4.1.1.5. pasākuma ietvaros ir atbalstāmas tehniskā nodrošinājuma iegādes izmaksas.
38.
Projektā attiecinot medicīniskās tehnoloģijas, kuru vienas vienības piegādes izmaksas pārsniedz 20 000 euro, ieskaitot pievienotās vērtības nodokli, nepieciešams Veselības ministrijas izveidotās tehnoloģiju komisijas saskaņojums.
39.
Šo noteikumu 33.4. apakšpunktā minētā atbalstāmā darbība ietver komunikācijas un vizuālās identitātes prasību nodrošināšanas izmaksas atbilstoši Eiropas Parlamenta un Padomes 2021. gada 24. jūnija Regulas (ES) Nr. 2021/1060, ar ko paredz kopīgus noteikumus par Eiropas Reģionālās attīstības fondu, Eiropas Sociālo fondu Plus, Kohēzijas fondu, Taisnīgas pārkārtošanās fondu un Eiropas Jūrlietu, zvejniecības un akvakultūras fondu un finanšu noteikumus attiecībā uz tiem un uz Patvēruma, migrācijas un integrācijas fondu, Iekšējās drošības fondu un Finansiāla atbalsta instrumentu robežu pārvaldībai un vīzu politikai (turpmāk – Regula Nr. 2021/1060), 47. un 50. pantā noteiktajām prasībām.
40.
Šo noteikumu 33. punktā minēto atbalstāmo darbību īstenošanai ir attiecināmas neparedzētās izmaksas līdz pieciem procentiem no projekta kopējām tiešajām attiecināmajām izmaksām, ko projekta iesniegumā plāno kā vienu izmaksu pozīciju un izmanto papildu īstenošanas izmaksu segšanai, kas neparedzamu apstākļu dēļ ir kļuvušas nepieciešamas projekta īstenošanai. Neparedzēto izdevumu izlietošanu pirms izdevumu veikšanas finansējuma saņēmējs saskaņo ar sadarbības iestādi, kā to nosaka līgums vai vienošanās par projekta īstenošanu.
41.
Šo noteikumu 33.1., 33.2., 33.3. un 33.4. apakšpunktā minētās izmaksas veido projekta tiešās attiecināmās izmaksas, tai skaitā:
41.1.
šo noteikumu 33.1. apakšpunktā minētās izmaksas veido projekta tiešās attiecināmās personāla atlīdzības izmaksas;
41.2.
šo noteikumu 33.2., 33.3. un 33.4. apakšpunktā minētās izmaksas veido projekta pārējās tiešās attiecināmās izmaksas. Šīs piegāžu un pakalpojumu izmaksas ir attiecināmas, ja tās radušās, ievērojot publisko iepirkumu jomu regulējošos normatīvos aktus, izņemot šo noteikumu 35.1. apakšpunktā minētās būvuzraudzības izmaksas, kuras ir saistītas ar projekta vadības un īstenošanas atlīdzības izmaksām un var tikt attiecinātas arī kā projekta tiešās personāla izmaksas.
42.
Pievienotās vērtības nodokļa maksājumi, kas tiešā veidā saistīti ar projektu, ir attiecināmās izmaksas, ja finansējuma saņēmējs tos nevar atgūt atbilstoši normatīvajiem aktiem par pievienotās vērtības nodokli.
43.
Projekta izmaksas ir attiecināmas, ja tās atbilst šajos noteikumos minētajām izmaksu pozīcijām un ir radušās pēc 2021. gada 1. decembra.
VII.Pasākuma projekta īstenošanas un finansējuma saņemšanas nosacījumi
44.
Saskaņā ar šo noteikumu 33. punktu finansējuma saņēmējs, izņemot 4.1.1.5. pasākuma finansējuma saņēmēju un šo noteikumu 23. punktā minēto finansējuma saņēmēju, aprēķina infrastruktūras izmantošanas proporciju un piemēro to projekta kopējam finansējumam, nosakot publiskā un privātā finansējuma apmēru, atbilstoši šādam aprēķinam:
44.1.
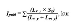
projekta kopējo publisko izmaksu maksimālo apmēru nosaka, izmantojot šādu formulu:

x – gadu skaits, kuriem tika aprēķināts projekta publisko izmaksu maksimālais apmērs;
Ipubl – attiecīgā gada publisko izmaksu maksimālais apmērs (euro);
x – gadu skaits, kuriem tika aprēķināts projekta publisko izmaksu maksimālais apmērs;
Ipubl – attiecīgā gada publisko izmaksu maksimālais apmērs (euro);
44.2.
attiecīgā gada publisko izmaksu maksimālo apmēru nosaka, izmantojot šādu formulu:

y – attiecīgā projekta ietvaros veicamo atbalstāmo darbību skaits;
S – attiecīgās atbalstāmās darbības kopējās izmaksas (euro);
Lv – uz attiecīgo atbalstāmo darbību attiecināmās infrastruktūras izmantošanas laiks valsts apmaksāto veselības aprūpes pakalpojumu sniegšanai (stundas gadā);
Lm – uz attiecīgo atbalstāmo darbību attiecināmās infrastruktūras izmantošanas laiks citu darbību veikšanai (stundas gadā);
y – attiecīgā projekta ietvaros veicamo atbalstāmo darbību skaits;
S – attiecīgās atbalstāmās darbības kopējās izmaksas (euro);
Lv – uz attiecīgo atbalstāmo darbību attiecināmās infrastruktūras izmantošanas laiks valsts apmaksāto veselības aprūpes pakalpojumu sniegšanai (stundas gadā);
Lm – uz attiecīgo atbalstāmo darbību attiecināmās infrastruktūras izmantošanas laiks citu darbību veikšanai (stundas gadā);
44.3.
uz attiecīgo atbalstāmo darbību attiecināmajai infrastruktūrai, kurai nav iespējams noteikt infrastruktūras izmantošanas laika sadalījumu valsts apmaksāto veselības aprūpes pakalpojumu sniegšanai un citu darbību veikšanai, laika sadalījumu nosaka atbilstoši vidējai ārstniecības iestādes infrastruktūras izmantošanas proporcijai, kas aprēķināta, infrastruktūrai, kurai ir iespējams noteikt infrastruktūras izmantošanas laika sadalījumu valsts apmaksāto veselības aprūpes pakalpojumu sniegšanai un citu darbību veikšanai, sadalot kopējo publisko izmaksu maksimālo apmēru ar šīs infrastruktūras kopējām izmaksām.
45.
Finansējuma saņēmējs infrastruktūras izmantošanas proporciju aprēķina, izmantojot iepriekšējā gada datus vai divu iepriekšējo gadu vidējos datus par infrastruktūras izmantošanu. Ja iepriekšējo gadu dati par infrastruktūras izmantošanu nav pieejami vai tie atšķiras no attīstāmās infrastruktūras izmantošanas prognozes, finansējuma saņēmējs izmanto plānotos infrastruktūras izmantošanas datus līdz brīdim, kad ir pieejami dati par attīstītās infrastruktūras izmantošanu.
46.
Finansējuma saņēmējs infrastruktūras izmantošanas proporcijas aprēķinu veic:
46.1.
iesniedzot projekta iesniegumu;
46.2.
sagatavojot noslēguma maksājuma pieprasījumu.
(MK 22.07.2025. noteikumu Nr. 465 redakcijā)
47.
Ja pēc vienošanās vai līguma par projekta īstenošanu noslēgšanas palielinās projekta publisko izmaksu maksimālais apmērs, kas aprēķināts saskaņā ar šo noteikumu 44.1. apakšpunktu, valsts atbalsta sniedzējs kopējās publiskās projekta attiecināmās izmaksas nepalielina.
48.
Finansējuma saņēmējs, iesniedzot noslēguma maksājuma pieprasījumu, nodrošina, ka saskaņā ar šo noteikumu 44.1. apakšpunktu aprēķinātais projekta kopējais publisko izmaksu maksimālais apmērs atbilst piešķirtajam kopējam publisko izmaksu maksimālajam apmēram, attiecīgi palielinot šo noteikumu 12. un 12.1 punktā minēto nacionālo privāto finansējumu. Ja faktiskā infrastruktūras izmantošanas proporcija projekta īstenošanas laikā ir mainījusies, finansējuma saņēmējs nodrošina atbilstošu šo noteikumu 12. un 12.1 punktā minēto nacionālā privātā finansējuma palielinājumu, nepalielinot šo noteikumu 12. un 12.1 punktā minētās kopējās publiskās projekta attiecināmās izmaksas, un par to informē sadarbības iestādi.
(MK 22.07.2025. noteikumu Nr. 465 redakcijā)
49.
(Svītrots ar MK 02.04.2024. noteikumiem Nr. 213)
50.
Īstenojot projektu, finansējuma saņēmējs un sadarbības partneris:
50.1.
nodrošina šo noteikumu 33.4. apakšpunktā minētos komunikācijas un vizuālās identitātes prasību nodrošināšanas pasākumus saskaņā ar Regulas Nr. 2021/1060 47. un 50. pantu un normatīvajiem aktiem par kārtību, kādā Eiropas Savienības struktūrfondu un Kohēzijas fonda ieviešanā 2021.–2027. gada plānošanas periodā nodrošināma komunikācijas un vizuālās identitātes prasību ievērošana;
50.2.
nodrošina horizontālā principa "Vienlīdzība, iekļaušana, nediskriminācija un pamattiesību ievērošana" īstenošanu un uzkrāj datus par šādiem rādītājiem (šis nosacījums neattiecas uz 4.1.1.1. pasākuma piektās kārtas finansējuma saņēmējiem):
50.2.1.
objektu skaits, kuros Eiropas Reģionālās attīstības fonda ieguldījumu rezultātā ir nodrošināta vides un informācijas pieejamība. Finansējuma saņēmējam ir pienākums sniegt minēto informāciju, iesniedzot noslēguma maksājuma pieprasījumu par visu projekta periodu;
50.2.2.
veikto vides un informācijas piekļūstamības pašnovērtējumu skaits. Finansējuma saņēmējam ir pienākums sniegt minēto informāciju, iesniedzot pēdējo maksājuma pieprasījumu par visu projekta periodu;
50.3.
ja projekta izmaksas pieaug, projekta sadārdzinājumu sedz no saviem līdzekļiem, nodrošinot piemērojamo komercdarbības atbalsta regulējuma normu ievērošanu;
50.4.
nodrošina, ka projektā plānotie darbi netiek finansēti vai līdzfinansēti, kā arī tos nav plānots finansēt vai līdzfinansēt no citiem valsts un ārvalstu finanšu atbalsta instrumentiem;
50.5.
uzkrāj datus par projekta ietekmi uz šajos noteikumos minētajiem rādītājiem:
50.5.1.
4.1.1.1. pasākuma pirmās kārtas ietvaros – par faktiski sasniegto šo noteikumu 10. punktā minēto rādītāju;
50.5.2.
4.1.1.1. pasākuma piektās kārtas ietvaros – par faktiski sasniegtajiem šo noteikumu 8.2. apakšpunktā minētajiem iznākuma rādītājiem;
50.5.3.
4.1.1.5. pasākuma ietvaros – par faktiski sasniegto šo noteikumu 11. punktā minēto rādītāju;
50.6.
nodrošina sasniegto rezultātu ilgtspēju vismaz piecus gadus pēc projekta pabeigšanas;
50.7.
atbilstoši Regulas Nr. 2021/1060 9. panta 4. punktam un Eiropas Parlamenta un Padomes 2020. gada 18. jūnija Regulas (ES) 2020/852 par regulējuma izveidi ilgtspējīgu ieguldījumu veicināšanai un ar kuru groza Regulu (ES) 2019/2088, 17. pantam nodrošina, ka tiek ievēroti šādi principa "Nenodarīt būtisku kaitējumu" vides mērķi (šis nosacījums neattiecas uz 4.1.1.1. pasākuma piektās kārtas finansējuma saņēmējiem):
50.7.1.
klimata pārmaiņu mazināšana;
50.7.2.
pielāgošanās klimata pārmaiņām;
50.7.3.
ilgtspējīga ūdens un jūras resursu izmantošana un aizsardzība;
50.7.4.
pāreja uz aprites ekonomiku, ieskaitot atkritumu rašanās novēršanu un to reciklēšanu;
50.7.5.
piesārņojuma novēršana un kontrole;
50.7.6.
bioloģiskās daudzveidības un ekosistēmu aizsardzība un atjaunošana;
50.8.
nodrošina, ka projekta īstenošanas laikā nekustamie īpašumi, kuri nepieciešami projekta īstenošanai, ir finansējuma saņēmēja, valsts vai pašvaldības īpašumā, ilgtermiņa nomā (vismaz 10 gadi), patapinājumā vai valdījumā un tiesību prasība ir nostiprināta zemesgrāmatā. Ja investīcijas ir veiktas ēkās un būvēs, nepalielinot apbūves laukumu, īpašumtiesībām vai citām tiesībām attiecībā uz zemi nav jābūt nostiprinātām zemesgrāmatā;
50.9.
nodrošina, ka iepirkumus, kuri nepieciešami atbalstāmo darbību īstenošanai, finansējuma saņēmējs vai sadarbības partneris veic atklātā, pārredzamā, nediskriminējošā, konkurenci nodrošinošā un atbilstoši iespējām sociāli atbildīgā veidā, kā arī saskaņā ar normatīvajiem aktiem publisko iepirkumu jomā, ievērojot nediskriminācijas principus. Projekta ietvaros ir atbalstāma vides prasību un inovatīva risinājuma integrēšana preču un pakalpojuma iepirkumos (zaļais publiskais iepirkums un inovāciju publiskais iepirkums);
50.10.
izveido iekšējās kontroles sistēmu korupcijas un interešu konflikta riska novēršanai publiskas personas institūcijā atbilstoši normatīvajam regulējumam par iekšējās kontroles sistēmas pamatprasībām korupcijas un interešu konflikta riska novēršanai publiskas personas institūcijā.
(MK 22.07.2025. noteikumu Nr. 465 redakcijā, kas grozīta ar MK 07.10.2025. noteikumiem Nr. 587)
51.
Ja pasākuma ietvaros īstenojamo projektu kopējās attiecināmās izmaksas pārsniedz 3 000 000 euro, finansējuma saņēmējs projektu plānošanai un īstenošanas kontrolei izveido vadības un kontroles komisiju un reizi ceturksnī organizē pārskata sanāksmes par projektu progresu, uz kurām uzaicina atbildīgās iestādes un sadarbības iestādes pārstāvjus.
52.
Finansējuma saņēmējs veicina, ka atbalsts ne mazāk kā 30 procentu apmērā tiek ieguldīts infrastruktūras attīstībā, kurā tiek nodrošināti sekundārie ambulatorie veselības aprūpes pakalpojumi, izņemot šo noteikumu pielikuma 1.8., 1.9., 1.10. un 1.13. ailē minētos 4.1.1.1. pasākuma finansējuma saņēmējus, 4.1.1.1. pasākuma piektās kārtas finansējuma saņēmējus un 4.1.1.5. pasākuma finansējuma saņēmēju, kā arī attiecīgi nodrošina uzskaiti.
(MK 02.04.2024. noteikumu Nr. 213 redakcijā)
53.
Projekta īstenošanas laikā finansējuma saņēmējs var saņemt avansa maksājumu saskaņā ar pakalpojumu, preču piegādes vai būvdarbu līgumu un normatīvo aktu par valsts budžeta līdzekļu plānošanas kārtību Eiropas Savienības fondu projektu īstenošanai un maksājumu veikšanai 2021.–2027. gada plānošanas periodā. Sadarbības iestāde, pamatojoties uz finansējuma saņēmēja pieprasījumu un atbilstoši projekta plānoto maksājumu pieprasījumu iesniegšanas grafikam, veic avansa un starpposma maksājumus, ievērojot nosacījumu, ka to kopsumma nepārsniedz 90 procentus no projektam piešķirtā Eiropas Reģionālās attīstības fonda finansējuma. Avansa maksājumu ir iespējams saņemt vairākos maksājumos.
53.1
Šo noteikumu pielikuma 2.2. ailē minētais finansējuma saņēmējs projekta īstenošanas laikā var saņemt avansa un starpposma maksājumus, kuru kopsumma var pārsniegt 90 procentus no projektam piešķirtā Eiropas Reģionālās attīstības fonda finansējuma un valsts budžeta līdzfinansējuma. Avansu var izmaksāt vairākos maksājumos saskaņā ar iepirkuma līgumiem un normatīvajiem aktiem par budžeta līdzekļu plānošanu.
54.
Pasākuma ietvaros projektu īsteno saskaņā ar vienošanos vai līgumu par projekta īstenošanu, kas noslēgts starp finansējuma saņēmēju un sadarbības iestādi, bet ne ilgāk kā līdz 2029. gada 31. decembrim.
55.
4.1.1.1. pasākuma pirmās projektu iesniegumu atlases kārtas ietvaros šo noteikumu pielikuma 1.1., 1.8. un 1.13. ailē minētie finansējuma saņēmēji un 4.1.1.1. pasākuma piektās kārtas finansējuma saņēmēji var iesniegt priekšlikumus par grozījumiem līguma nosacījumos, paredzot palielināt attiecināmās izmaksas, bet nepārsniedzot šo noteikumu pielikuma 1.1., 1.8., 1.13., 2.1. un 2.2. ailē norādīto finansējumu.
(MK 07.10.2025. noteikumu Nr. 587 redakcijā)
56.
(Svītrots ar MK 22.07.2025. noteikumiem Nr. 465)
Pielikums
Ministru kabineta
2023. gada 15. augusta
noteikumiem Nr.462
Eiropas Savienības kohēzijas politikas programmas 2021.–2027. gadam 4.1.1. specifiskā atbalsta mērķa "Nodrošināt vienlīdzīgu piekļuvi veselības aprūpei un stiprināt veselības sistēmu, tostarp primārās veselības aprūpes noturību" 4.1.1.1. pasākuma "Ārstniecības iestāžu infrastruktūras attīstība" pirmās un piektās kārtas un 4.1.1.5. pasākuma "Neatliekamās medicīniskās palīdzības dienesta attīstība" atbalsta saņēmēji un finansējuma sadalījums
