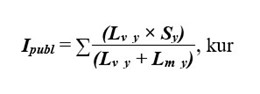
x – gadu skaits, kuriem tika aprēķināts projekta publisko izmaksu maksimālais apmērs;
Ipubl – attiecīgā gada publisko izmaksu maksimālais apmērs (euro);
y – attiecīgā projekta ietvaros veicamo atbalstāmo darbību skaits;
S – attiecīgās atbalstāmās darbības kopējās izmaksas (euro);
Lv – uz attiecīgo atbalstāmo darbību attiecināmās infrastruktūras izmantošanas laiks valsts apmaksāto veselības aprūpes pakalpojumu sniegšanai (stundas gadā);
Lm – uz attiecīgo atbalstāmo darbību attiecināmās infrastruktūras izmantošanas laiks citu darbību veikšanai (stundas gadā);
Nr. | Atbalsta saņēmējs | Pasākumam plānotais un pieejamais attiecināmais finansējums pa finansējuma avotiem (euro) | ||
| kopā | Eiropas Reģionālās attīstības fonda finansējums | nacionālais finansējums (valsts budžeta un privātais finansējums) | ||
| 1 | 2 | 3 = 4 + 5 | 4 | 5 |
| 1. | 4.1.1.1. pasākuma "Ārstniecības iestāžu infrastruktūras attīstība" pirmās kārtas atbalsta saņēmēji | 128 681 527,00 | 109 379 296,00 | 19 302 231,00 |
| 1.1. | SIA "Rīgas Austrumu klīniskā universitātes slimnīca" | 93 065 471,00 | 79 105 649,00 | 13 959 822,00 |
| 1.2. | VSIA "Bērnu klīniskā universitātes slimnīca" | 3 155 455,00 | 2 682 136,75 | 473 318,25 |
| 1.3. | SIA "Liepājas reģionālā slimnīca" | 2 459 604,00 | 2 090 663,40 | 368 940,60 |
| 1.4. | SIA "Daugavpils reģionālā slimnīca" | 3 279 472,00 | 2 787 551,20 | 491 920,80 |
| 1.5. | SIA "Ziemeļkurzemes reģionālā slimnīca" | 1 557 749,00 | 1 324 086,65 | 233 662,35 |
| 1.6. | SIA "Vidzemes slimnīca" | 1 926 690,00 | 1 637 686,50 | 289 003,50 |
| 1.7. | SIA "Rēzeknes slimnīca" | 2 033 273,00 | 1 728 282,05 | 304 990,95 |
| 1.8. | VSIA "Traumatoloģijas un ortopēdijas slimnīca" | 3 712 533,00 | 3 155 653,05 | 556 879,95 |
| 1.9. | SIA "Rīgas Dzemdību nams" | 2 051 046,00 | 1 743 389,10 | 307 656,90 |
| 1.10. | VSIA "Nacionālais rehabilitācijas centrs "Vaivari"" | 3 628 773,00 | 3 084 457,05 | 544 315,95 |
| 1.11. | SIA "Jelgavas pilsētas slimnīca" | 3 155 455,00 | 2 682 136,75 | 473 318,25 |
| 1.12. | SIA "Jēkabpils reģionālā slimnīca" | 2 839 910,00 | 2 413 923,50 | 425 986,50 |
| 1.13. | Valsts tiesu medicīnas ekspertīžu centrs | 5 816 095,29 | 4 943 681,00 | 872 414,29 |
| 2. | 4.1.1.1. pasākuma "Ārstniecības iestāžu infrastruktūras attīstība" piektās kārtas atbalsta saņēmēji | 133 543 211,00 (t. sk. elastības finansējums 46 682 293) | 113 511 729,00 (t. sk. elastības finansējums 39 679 949) | 20 031 482,00 (t. sk. elastības finansējums 7 002 344) |
| 2.1. | SIA "Rīgas Austrumu klīniskā universitātes slimnīca", projekta Nr. 9.3.2.0/17/I/004 2. posma projekts | 13 651 480,00 | 11 603 758,00 | 2 047 722,00 |
| 2.2. | VSIA "Paula Stradiņa klīniskā universitātes slimnīca", projekta Nr. 9.3.2.0/17/I/013 "Slimnīcas A2 korpusa attīstība" 2. posma projekts | 119 891 730,18 | 101 907 970,65 | 17 983 759,53 |
| 3. | 4.1.1.5. pasākuma "Neatliekamās medicīniskās palīdzības dienesta attīstība" atbalsta saņēmējs | 12 307 060,00 | 10 461 001,00 | 1 846 059,00 |
| 3.1. | Neatliekamās medicīniskās palīdzības dienests | 12 307 060,00 | 10 461 001,00 | 1 846 059,00 |
KOPĀ | 4.1.1.1. pasākuma pirmā, piektā kārta un 4.1.1.5. pasākums | 274 531 798,00 | 233 352 026,00 | 41 179 772,00 |
