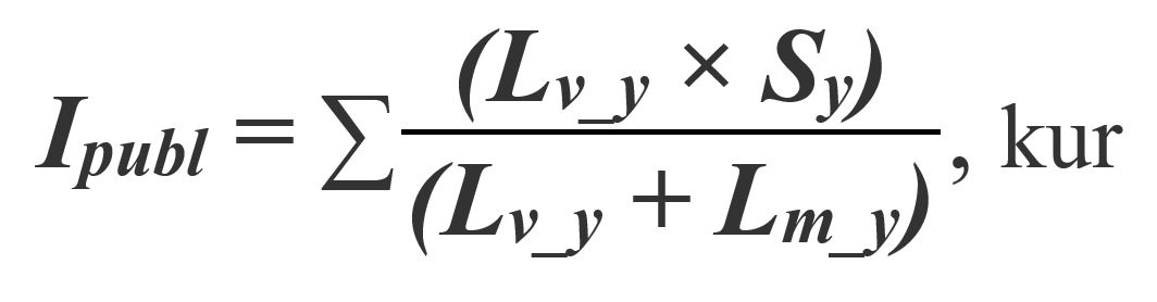
x – gadu skaits, par kuriem tika aprēķināts projekta publisko izmaksu maksimālais apmērs;
Ipubl – attiecīgā gada publisko izmaksu maksimālais apmērs (euro);
y – attiecīgā projekta ietvaros veicamo atbalstāmo darbību skaits;
S – attiecīgās atbalstāmās darbības kopējās izmaksas (euro);
Lv – uz attiecīgo atbalstāmo darbību attiecināmās infrastruktūras izmantošanas laiks valsts apmaksāto veselības aprūpes pakalpojumu sniegšanai (stundas gadā);
Lm – uz attiecīgo atbalstāmo darbību attiecināmās infrastruktūras izmantošanas laiks citu darbību veikšanai (stundas gadā);
| Nr. p. k. | Finansējuma saņēmējs | Investīcijai pieejamais Atveseļošanas fonda finansējums euro (bez PVN)* |
| 1. | Akciju sabiedrība "Veselības centru apvienība" | 883 173 |
| 2. | Sabiedrība ar ierobežotu atbildību "Dziedniecība" |
450 309 |
| 3. | Sabiedrība ar ierobežotu atbildību "Veselības centrs 4" |
359 552 |
| 4. | Sabiedrība ar ierobežotu atbildību "Rīgas 1. slimnīca" |
391 491 |
| 5. | Sabiedrība ar ierobežotu atbildību "Rīgas veselības centrs" |
367 220 |
| 6. | Akciju sabiedrība "Latvijas Jūras medicīnas centrs" |
255 659 |
| 7. | Sabiedrība ar ierobežotu atbildību "Ogres rajona slimnīca" |
256 332 |
| 8. | Sabiedrība ar ierobežotu atbildību "Jelgavas poliklīnika" |
237 267 |
| 9. | Sabiedrība ar ierobežotu atbildību "Cēsu klīnika" |
245 716 |
| 10. | Madonas novada pašvaldības sabiedrība ar ierobežotu atbildību "Madonas slimnīca" |
217 510 |
| 11. | Sabiedrība ar ierobežotu atbildību "Bauskas slimnīca" |
205 995 |
| 12. | Sabiedrība ar ierobežotu atbildību "Dobeles un apkārtnes slimnīca" |
197 111 |
| 13. | Sabiedrība ar ierobežotu atbildību "Balvu un Gulbenes slimnīcu apvienība" |
220 378 |
| 14. | Sabiedrība ar ierobežotu atbildību "Tukuma slimnīca" |
181 486 |
| 15. | Sabiedrība ar ierobežotu atbildību "Aizkraukles slimnīca" |
166 464 |
| 16. | Sabiedrība ar ierobežotu atbildību "Ludzas medicīnas centrs" |
180 757 |
| 17. | Sabiedrība ar ierobežotu atbildību "Limbažu slimnīca" |
187 850 |
| 18. | Pašvaldības sabiedrība ar ierobežotu atbildību "Ventspils poliklīnika" |
157 427 |
| 19. | Sabiedrība ar ierobežotu atbildību "Rīgas 2. slimnīca" |
158 260 |
| 20. | Sabiedrība ar ierobežotu atbildību "Jūrmalas slimnīca" |
140 349 |
| 21. | Sabiedrība ar ierobežotu atbildību "Krāslavas slimnīca" |
161 406 |
| 22. | Sabiedrība ar ierobežotu atbildību "Preiļu slimnīca" |
154 610 |
| 23. | Sabiedrība ar ierobežotu atbildību "Saldus medicīnas centrs" |
155 719 |
| 24. | Pašvaldības sabiedrība ar ierobežotu atbildību "Kauguru veselības centrs" |
138 286 |
| 25. | Sabiedrība ar ierobežotu atbildību "Salaspils veselības centrs" |
139 336 |
| 26. | Sabiedrība ar ierobežotu atbildību "Talsu veselības centrs" |
121 205 |
| 27. | Sabiedrība ar ierobežotu atbildību "Alūksnes slimnīca" |
136 597 |
| 28. | Sabiedrība ar ierobežotu atbildību "Siguldas slimnīca" |
135 562 |
| 29. | Sabiedrība ar ierobežotu atbildību "Kuldīgas slimnīca" |
113 108 |
| 30. | Sabiedrība ar ierobežotu atbildību "Možums-1" |
106 343 |
| 31. | Sabiedrība ar ierobežotu atbildību "Sarkanā Krusta Smiltenes slimnīca" |
118 294 |
| 32. | Sabiedrība ar ierobežotu atbildību "Valmieras veselības centrs" |
107 503 |
| 33. | Sabiedrība ar ierobežotu atbildību "Medicīnas firma "Elpa"" |
114 895 |
| 34. | Sabiedrība ar ierobežotu atbildību "Dzelzceļa veselības centrs" |
38 089 |
| 35. | Pašvaldības sabiedrība ar ierobežotu atbildību "Ādažu slimnīca" |
112 220 |
| 36. | Sabiedrība ar ierobežotu atbildību "OlainMed" |
52 330 |
| 37. | Sabiedrība ar ierobežotu atbildību "Priekules slimnīca" |
88 429 |
| 38. | Sabiedrība ar ierobežotu atbildību "Grīvas poliklīnika" |
74 392 |
| 39. | Pašvaldības aģentūra "Saulkrastu veselības un sociālās aprūpes centrs" |
65 757 |
| 40. | Pašvaldības aģentūra "Iecavas veselības centrs" |
63 178 |
| 41. | Krāslavas novada Veselības un sociālo pakalpojumu centrs "Dagda" |
57 600 |
| 42. | Sabiedrība ar ierobežotu atbildību "Kronoss" |
55 321 |
| 43. | Sabiedrība ar ierobežotu atbildību "Sanare-KRC Jaunķemeri" |
60 196 |
| Kopā | 7 795 701 |
|
Piezīme. *Dati aktualizēti pēc iestāžu ievadītās informācijas Kohēzijas politikas vadības informācijas sistēmā (uz 28.10.2024.).
