Noteikumi (konsolidētā versija)

25-TA-3086
Darba aizsardzības prasības saskarē ar ķīmiskajām vielām darba vietās
Izdoti saskaņā ar Darba aizsardzības likuma 25.panta 11.punktu un Ķīmisko vielu likuma 16.pantu
(MK 01.02.2011. noteikumu Nr.92 redakcijā)
I.Vispārīgie jautājumi
1.
Noteikumi nosaka darba aizsardzības prasības, nodarbinātajiem saskaroties ar ķīmiskajām vielām (tai skaitā maisījumiem) darba vietās, ja risks rodas vai var rasties no darba vidē esošu vai ar darba procesu saistītu ķīmisko vielu iedarbības, kā arī īpašus ierobežojumus un aizliegumus attiecībā uz atsevišķām bīstamām ķīmiskajām vielām vai maisījumiem.
(Grozīts ar MK 01.02.2011. noteikumiem Nr.92)
2.
Noteikumi attiecas uz darba vietām, kur nodarbinātais tiek vai var tikt pakļauts tādu ķīmisko vielu un maisījumu iedarbībai:
2.1.
kas atbilst Eiropas Parlamenta un Padomes 2008. gada 16. decembra Regulas (EK) Nr. 1272/2008 par vielu un maisījumu klasificēšanu, marķēšanu un iepakošanu un ar ko groza un atceļ Direktīvas 67/548/EEK un 1999/45/EK un groza Regulu (EK) Nr. 1907/2006 (turpmāk – regula Nr. 1272/2008), 1. pielikumā noteiktajiem kritērijiem vielu klasificēšanai kādā no fizikālās vai veselības bīstamības klasēm neatkarīgi no tā, vai šī ķīmiskā viela ir klasificēta saskaņā ar regulu Nr. 1272/2008;
2.2.
kas atrodas darba vidē vai tiek izmantotas darbā un savu fizikālo, ķīmisko un toksisko īpašību dēļ apdraud nodarbinātā drošību vai veselību;
2.3.
kam ir noteikta aroda ekspozīcijas robežvērtība (AER) – tāda ķīmisko vielu un maisījumu koncentrācija darba vides gaisā, kas visā nodarbinātā dzīves laikā neizraisa saslimšanu un veselības traucējumus, kuri konstatējami ar mūsdienu izmeklēšanas metodēm, ja attiecīgās ķīmiskās vielas un maisījumi iedarbojas uz nodarbināto ne ilgāk par astoņām stundām darba dienā vai ne ilgāk par 40 stundām nedēļā (1. pielikums);
2.4.
kam ir noteikti bioloģiskās ekspozīcijas rādītāji (BER) - nodarbinātā organismā uzņemto ķīmisko vielu un to metabolītu koncentrācijas un ķīmisko vielu izraisīto bioloģisko efektu rādītāji nodarbinātā bioloģiskajā vidē, ko nosaka veseliem nodarbinātajiem, kuri ir pakļauti ķīmisko vielu un maisījumu iedarbībai aroda ekspozīcijas robežvērtības (AER) līmenī (3.pielikums).
(Grozīts ar MK 01.02.2011. noteikumiem Nr. 92; MK 07.04.2015. noteikumiem Nr. 163; MK 26.03.2024. noteikumiem Nr. 191)
3.
Ķīmiskās vielas aroda ekspozīcijas robežvērtību (AER) nosaka, ņemot vērā vielas fizikāli ķīmiskās īpašības, toksiskumu, epidemioloģiskos pētījumus neinfekciju slimību jomā un tehnoloģiskā procesa nosacījumus, kā arī izvērtējot datus par ķīmiskajām vielām ar līdzīgu struktūru. Ķīmiskās vielas aroda ekspozīcijas robežvērtību (AER) izmanto darba vides ķīmiskā riska izvērtēšanai (ķīmiskās vielas koncentrāciju darba vides gaisā salīdzina ar aroda ekspozīcijas robežvērtību (AER)).
4.
Aroda ekspozīcijas robežvērtību (AER) definē kā vidējo aritmētisko vērtību astoņu stundu darba dienai (vidējā maiņas koncentrācija) vai kā vērtību īsam laikposmam (līdz 15 min., fibrogēnām vielām - līdz 30 min). Aroda ekspozīcijas robežvērtību (AER) mēra 20 oC temperatūrā 101,3 kPa spiedienā un izsaka miligramos uz kubikmetru (mg/m3), bet gāzu un tvaiku koncentrāciju var izteikt arī no temperatūras un spiediena neatkarīgās mērvienībās - ppm (ml/m3), kas ir tilpuma miljonā daļa.
5.
Labklājības ministrija sadarbībā ar standartizācijas tehnisko komiteju iesniedz nacionālajai standartizācijas institūcijai publicēšanai tās tīmekļvietnē to standartu sarakstu, kurus var piemērot šo noteikumu prasību izpildei.
(MK 26.03.2024. noteikumu Nr. 191 redakcijā)
6.
(Svītrots ar MK 26.03.2024. noteikumiem Nr. 191)
7.
Par šo noteikumu ievērošanu ir atbildīgs darba devējs.
8.
Šo noteikumu ievērošanu kontrolē Valsts darba inspekcija un citas institūcijas atbilstoši Ķīmisko vielu likumā tām noteiktajai kompetencei.
(MK 01.02.2011. noteikumu Nr.92 redakcijā)
II.Riska noteikšana un novērtēšana
9.
Ķīmisko vielu un maisījumu radītā riska novērtēšanu darba devējs nodrošina atbilstoši uzņēmuma darba vides iekšējās uzraudzības un darba vides risku novērtēšanas kārtībai, iesaistot uzticības personas un nodarbinātos.
(Grozīts ar MK 01.02.2011. noteikumiem Nr.92)
10.
Lai noteiktu ķīmisko vielu koncentrāciju darba vides gaisā, darba devējs pēc šo noteikumu 8. punktā minēto kontroles institūciju pieprasījuma mērījumu veikšanā iesaista laboratoriju, kas ir akreditēta nacionālajā akreditācijas institūcijā atbilstoši normatīvajiem aktiem par atbilstības novērtēšanas institūciju novērtēšanu, akreditāciju un uzraudzību vai citā Eiropas Savienības dalībvalsts vai Eiropas Ekonomikas zonas valsts akreditācijas institūcijā, kura veic laboratoriju atbilstības novērtēšanu.
(MK 07.04.2015. noteikumu Nr.163 redakcijā)
11.
Darba devējs nosaka darba vietas un darba procesus, kuros ķīmiskās vielas un maisījumi rada vai var radīt risku nodarbināto drošībai un veselībai, un novērtē to risku, ņemot vērā:
11.1.
ķīmisko vielu un maisījumu drošības datu lapas informāciju, kas saņemta no piegādātāja vai importētāja;
11.2.
nodarbināto veselības pārbaužu rezultātus;
11.3.
veikto vai veicamo preventīvo pasākumu rezultātus un prognozes;
11.4.
citu informāciju par ķīmisko vielu un maisījumu bīstamību;
11.5.
ķīmisko vielu aroda ekspozīcijas robežvērtības (AER) darba vides gaisā;
11.6.
ķīmisko vielu un maisījumu bioloģiskās ekspozīcijas rādītājus (BER);
11.7.
konkrētos darba apstākļus un procesus darba vietā un telpā (tai skaitā blakus darba vietās), kā arī darba vidē esošo ķīmisko vielu un maisījumu bīstamās īpašības, kuru dēļ rodas vai palielinās risks nodarbināto veselībai un drošībai attiecīgajos darba apstākļos un avārijas situācijās;
11.8.
ķīmisko vielu aroda ekspozīcijas koncentrāciju darba vides gaisā, kas noteikta kā astoņu stundu vai īslaicīgā aroda ekspozīcijas koncentrācija (vienu vai abas no šīm vērtībām), kā arī vielu iedarbības veidu un ilgumu;
11.9.
ķīmisko vielu un maisījumu daudzumu darba vietā;
11.10.
iespējamo avāriju risku, kas saistīts ar ķīmisko vielu un maisījumu lietošanu darbā un to fizikāli ķīmiskām īpašībām:
11.10.1.
ja uzņēmumam ir saistoši normatīvie akti par rūpniecisko avāriju riska novērtēšanas kārtību un riska samazināšanas pasākumiem, tad, izpildot tur noteikto kārtību, ņem vērā arī šo noteikumu prasības;
11.10.2.
ja uzņēmumam nav saistoši normatīvie akti par rūpniecisko avāriju riska novērtēšanas kārtību un riska samazināšanas pasākumiem, avāriju riska samazināšanas pasākumus nosaka šie noteikumi;
11.11.
citu riska novērtējumu (piemēram, jaunas ķīmiskas vielas riska novērtējuma vai avārijas riska novērtējuma) rezultātus.
(Grozīts ar MK 01.02.2011. noteikumiem Nr.92)
12.
Risku novērtē regulāri, reizi gadā, kā arī gadījumos, ja:
12.1.
notikušas būtiskas pārmaiņas darba vidē (piemēram, produkta sastāva, agregātstāvokļa vai izejvielu maiņa);
12.2.
ieviestas jaunas darbības vai pārveidots ražošanas process (piemēram, darba aprīkojums, tehnoloģiskais un kontroles process);
12.3.
darba vides pārbaužu rezultāti norāda iespējamu ķīmisko vielu iedarbības risku uz nodarbinātajiem, mērījumos noteikts, ka pārsniegta ķīmisko vielu aroda ekspozīcijas robežvērtība (AER) vai konstatētas tehnoloģiskā procesa, iekārtu vai tehnisko paņēmienu nepilnības;
12.4.
radusies avārijas situācija, kas izraisījusi vai veicinājusi nelaimes gadījumu, ugunsgrēku, sprādzienu vai bīstamo ķīmisko vielu vai bīstamo maisījumu noplūdi;
12.5.
apstiprināts akūts arodsaindēšanās gadījums vai ķīmiskā riska faktora izraisīta arodslimība;
12.6.
saņemta jauna informācija par attiecīgās ķīmiskās vielas vai maisījuma kaitīgumu nodarbināto veselībai, informācija par ugunsgrēka vai sprādziena iespējamību, kā arī par bīstamo ķīmisko vielu vai bīstamo maisījumu noplūdes iespējamību.
(Grozīts ar MK 01.02.2011. noteikumiem Nr.92)
13.
Šo noteikumu 12.punktā minētajos gadījumos pirms nodarbinātā norīkošanas darbā darba devējs novērtē pārmaiņu radīto risku un veic nepieciešamos preventīvos pasākumus.
14.
Riska novērtēšanā ņem vērā arī iekārtu apkopi un citas darbības, kuru laikā var tikt apdraudēta nodarbināto drošība un veselība un uz nodarbinātajiem var iedarboties šo noteikumu 2.punktā minētās ķīmiskās vielas un maisījumi.
(MK 01.02.2011. noteikumu Nr.92 redakcijā)
15.
Darba devējs nodrošina, lai darba vides gaisā regulāri tiktu noteikta ķīmisko vielu koncentrācija un salīdzināta ar aroda ekspozīcijas robežvērtību (AER), un atbilstoši ekonomiskajām un tehniskajām iespējām veic pasākumus aroda ekspozīcijas faktiskās vērtības samazināšanai. Ķīmisko vielu ekspozīciju darba vides gaisā darba devējs nosaka un izvērtē atbilstoši šo noteikumu 4.pielikumā noteiktajai metodikai.
16.
Ja ieelpojamo ķīmisko vielu un maisījumu ekspozīcijas novērtēšanā ir ievēroti piemērojamie standarti, uzskata, ka šajos noteikumos noteiktās prasības ieelpojamo ķīmisko vielu un maisījumu ekspozīcijas novērtēšanai darba vietā ir ievērotas.
(Grozīts ar MK 01.02.2011. noteikumiem Nr.92)
17.
Ķīmiskās vielas koncentrācijas mērījumu periodiskumu nosaka atbilstoši ķīmiskās vielas ekspozīcijas indeksam, ko iegūst, dalot ķīmiskās vielas koncentrāciju (aroda ekspozīcijas koncentrāciju) darba vides gaisā ar aroda ekspozīcijas robežvērtību (AER):

C
EI = ———, kur
AER

 

EI - ķīmiskās vielas ekspozīcijas indekss;

C - ķīmiskās vielas koncentrācija (aroda ekspozīcijas koncentrācija) darba vides gaisā.

18.
Ja, nosakot ķīmiskās vielas koncentrāciju vienas darba dienas vai vienas maiņas laikā, ķīmiskās vielas ekspozīcijas indekss ir lielāks par 1 (EI > 1), ekspozīcija darba vides gaisā ir lielāka par aroda ekspozīcijas robežvērtību (AER). Tas rada risku nodarbinātā drošībai un veselībai, un darba devējam nekavējoties jāveic pasākumi riska novēršanai. Pēc minēto pasākumu īstenošanas darba devējs veic atkārtotus ķīmiskās vielas koncentrācijas mērījumus, lai pārliecinātos par veikto pasākumu efektivitāti un riska samazināšanu līdz pieļaujamam līmenim.
(Grozīts ar MK 01.02.2011. noteikumiem Nr.92)
19.
Ja, nosakot ķīmiskās vielas koncentrāciju vienas darba dienas vai vienas maiņas laikā, ķīmiskās vielas ekspozīcijas indekss ir vienāds ar 0,1 vai mazāks (EI ≤ 0,1), ķīmiskās vielas ekspozīcija darba vides gaisā ir vienāda ar 1/10 daļu aroda ekspozīcijas robežvērtības (AER) vai zemāka. Ja iespējams pierādīt, ka šie līmeņi darba vides apstākļus raksturo ilgtermiņā, periodiskos mērījumus var neveikt.
20.
Laikposmu nākamajam periodiskajam mērījumam nosaka atbilstoši iepriekšējos mērījumos iegūtajam rezultātam. Maksimālais laikposms līdz nākamajam periodiskajam mērījumam ir:
20.1.
104 nedēļas, ja iepriekšējos mērījumos EI ≤ 0,5 (aroda ekspozīcijas koncentrācija ir zemāka par pusi aroda ekspozīcijas robežvērtības (AER));
20.2.
52 nedēļas, ja iepriekšējos mērījumos 0,5
20.3.
24 nedēļas, ja iepriekšējos mērījumos 0,75
(MK 01.02.2011. noteikumu Nr.92 redakcijā)
21.
Mērījumus veic darba procesa laikā (tipiskos darba apstākļos). Ja mainās darba apstākļi un konstatēta vai iespējama riska palielināšanās, veic ķīmisko vielu koncentrācijas papildu mērījumus.
22.
Ja darba vides gaisā izdalās ātras iedarbības ķīmiskas vielas, šo vielu kontrolei ierīko signalizāciju, kas ziņo par aroda ekspozīcijas robežvērtības (AER) pārsniegšanu.
23.
Ja nodarbinātie ir pakļauti vairāk nekā vienas ķīmiskās vielas vai maisījuma iedarbībai (vienlaikus vai pakāpeniski), risku novērtē, ņemot vērā visu darbā lietoto ķīmisko vielu un maisījumu iespējamo savstarpējo un kopējo iedarbību un tās ietekmi uz nodarbināto drošību un veselību:
23.1.
ja darba vides gaisā vienlaikus ir vairākas bīstamās ķīmiskās vielas ar pretēju (antagonisku) iedarbību, šo vielu aroda ekspozīcijas robežvērtības (AER) paliek tādas pašas kā tad, ja katra viela iedarbotos atsevišķi;
23.2.
ja darba vides gaisā vienlaikus ir vairākas bīstamās ķīmiskās vielas ar līdzīgu (sinerģisku) darbību, šo vielu kopējo iedarbības efektu aprēķina, izmantojot šādu formulu:

, kur


C1; C2 ; Cn - vielu koncentrācijas darba vides gaisā (mg/m³);

AER1; AER2; AERn - vielu aroda ekspozīcijas robežvērtības (mg/m³).

Vielu ekspozīcijas faktiskās koncentrācijas attiecība pret AER (ekspozīcijas indeksu EI) summējot nedrīkst pārsniegt 1. Ja šo daļskaitļu summa ir 1, tā atbilst kopējās iedarbības robežvērtībai.
(Grozīts ar MK 01.02.2011. noteikumiem Nr.92)
24.
Darba devējs dokumentē riska novērtēšanas rezultātus, tai skaitā mērījumu rezultātus, kas nepieciešami riska novērtēšanai, un pasākumus, kas veikti ķīmisko vielu un maisījumu radītā riska novēršanai vai samazināšanai. Šo dokumentāciju uzglabā ne mazāk kā trīs gadus.
(Grozīts ar MK 01.02.2011. noteikumiem Nr.92)
25.
Darba devējs nodrošina iespēju nodarbinātajiem, viņu uzticības personām un nodarbināto pārstāvjiem iepazīties ar riska novērtējuma un mērījumu rezultātiem, kā arī ar ķīmisko vielu un maisījumu iedarbību uz nodarbināto drošību un veselību.
(Grozīts ar MK 01.02.2011. noteikumiem Nr.92)
26.
Darba devējs nodrošina, lai riska novērtējuma rezultāti, tai skaitā mērījumu rezultāti, būtu pieejami ārstam vai iestādei, kas atbild par nodarbināto veselības aprūpi.
27.
(Svītrots ar MK 01.02.2011. noteikumiem Nr.92)
28.
(Svītrots ar MK 01.02.2011. noteikumiem Nr.92)
29.
(Svītrots ar MK 01.02.2011. noteikumiem Nr.92)
III.Riska novēršana un samazināšana
30.
Ja darba veids un tehniskās iespējas to pieļauj, darba devējs aizstāj bīstamās ķīmiskās vielas un bīstamos maisījumus ar ķīmiskajām vielām un maisījumiem, kas konkrētajos darba apstākļos nav bīstami vai ir mazāk bīstami nodarbināto drošībai un veselībai.
(Grozīts ar MK 01.02.2011. noteikumiem Nr.92)
31.
Ja tiek atklāts risks nodarbināto drošībai un veselībai, darba devējs novērš šo risku vai, ja tas, ņemot vērā konkrētā darba specifiku, nav iespējams, risku samazina, veicot šādus pasākumus:
31.1.
apgādā darba vietu ar attiecīgu aprīkojumu, kā arī nodrošina tādu darba organizāciju, tehniskos paņēmienus un tehnoloģiskos procesus, kas nerada risku nodarbināto drošībai un veselībai;
31.2.
nodrošina tehnoloģisko iekārtu, darba vietu un aprīkojuma regulāru apkopi;
31.3.
norīkojot nodarbināto darbā ar ķīmiskajām vielām un maisījumiem, ņem vērā nodarbinātā profesionālo izglītību, pieredzi, apmācības un sagatavotības līmeni darba aizsardzības jomā;
31.4.
ierobežo to nodarbināto skaitu, kuri strādā ar ķīmiskajām vielām un maisījumiem;
31.5.
novērš nodarbināto saskari ar ķīmiskajām vielām un maisījumiem vai līdz minimumam samazina to iedarbības ilgumu un intensitāti;
31.6.
nodrošina, ka darba telpās atrodas tikai konkrētā darba veikšanai nepieciešamais ķīmisko vielu un maisījumu daudzums;
31.7.
plānojot un organizējot darba procesu:
31.7.1.
nodrošina ķīmisko vielu un maisījumu pareizu glabāšanu, ņemot vērā to savietojamības, sprādzienbīstamības un ugunsdrošības īpašības;
31.7.2.
atdala ķīmisko vielu un maisījumu noliktavu no darba telpām un aprīko to ar nosūces ventilāciju;
31.7.3.
novērš ķīmisko vielu noplūdi, bet, ja tā notikusi, paredz tūlītējus pasākumus noplūdes seku likvidēšanai vai samazināšanai;
31.7.4.
klasificē un marķē ķīmiskās vielas un maisījumus, kā arī atkritumus, kas satur šīs vielas vai maisījumus, nodrošina to drošu un ātru savākšanu atbilstoši normatīvajiem aktiem par ķīmisko vielu un maisījumu, kā arī bīstamo atkritumu klasificēšanu, marķēšanu, iepakošanu, uzglabāšanu, pārvadāšanu un utilizēšanu;
31.7.5.
attiecīgi norobežo darba vietas un lieto normatīvajos aktos par darba aizsardzības prasībām drošības zīmju lietošanā noteiktās drošības zīmes un uzrakstus;
31.7.6.
izstrādā rīcības pasākumus iespējamām avārijas situācijām;
31.7.7.
nodarbināto atpūtai un sadzīves vajadzībām iekārto atbilstošas telpas, kurās novērsts ķīmisko vielu un maisījumu radītais risks.
(Grozīts ar MK 01.02.2011. noteikumiem Nr.92)
32.
Riska novēršanas un samazināšanas pasākumus veic šādā secībā:
32.1.
ķīmisko vielu un maisījumu radītā riska novēršana vai maksimāla samazināšana darba vietā, izveidojot atbilstošu darba procesu un tehniskās uzraudzības sistēmu;
32.2.
piemērota darba aprīkojuma, tehnoloģiju un materiālu izmantošana un darba vides kontrole bīstamo ķīmisko vielu izplatības novēršanai vai samazināšanai;
32.3.
kolektīvās aizsardzības pasākumu izvēle un ieviešana tieši pie riska avota (piemēram, saskaņā ar projektu un aprēķiniem iekārtota vispārējā un, ja nepieciešams, vietējā nosūces ventilācija);
32.4.
individuālo darba aizsardzības pasākumu, tai skaitā individuālo aizsardzības līdzekļu izmantošana, ja ķīmisko vielu un maisījumu iedar­bību nevar novērst ar šajā punktā minētajiem pasākumiem.
(Grozīts ar MK 01.02.2011. noteikumiem Nr.92)
33.
Ja konstatēts, ka pārsniegtas ķīmisko vielu aroda ekspozīcijas robež­vērtības (AER), darba devējs nekavējoties veic attiecīgus darba aizsardzības pasākumus.
34.
Darba devējs, glabājot, pārvietojot un atdalot nesaderīgas ķīmiskas vielas un maisījumus, ņem vērā konkrēto ķīmisko vielu un maisījumu fizikālo, ķīmisko un toksisko īpašību radīto risku un veic šādus tehniskus un organizatoriskus pasākumus nodarbināto drošības un veselības aizsardzībai:
34.1.
novērš viegli uzliesmojošu vielu uzkrāšanos vai ķīmiski nestabilu vielu (vielas, kas dažādu ārēju faktoru ietekmē savas īpašības nesaglabā ilgstoši) bīstamu koncentrāciju darba vietā un darba vides gaisā;
34.2.
nodrošina ugunsdrošības un sprādziendrošības noteikumu ievērošanu un nepieļauj aizdegšanās avotu atrašanos darba vietās, kur tiek veiktas darbības ar sprādzienbīstamām ķīmiskajām vielām, maisījumiem un viegli uzliesmojošām un ķīmiski nestabilām vielām vai to maisījumiem;
34.3.
nodrošina pirmās palīdzības sniegšanu un citus pasākumus, kas mazina kaitīgo faktoru ietekmi uz nodarbināto veselību un drošību, ja noticis ugunsgrēks vai sprādziens, kas saistīts ar ugunsnedrošu vielu aizdegšanos, vai mazina citas sekas, ko radījušas ķīmiski nestabilas vielas vai to maisījumi;
34.4.
nodrošina normatīvo aktu ievērošanu attiecībā uz sprādzienbīstamā vidē lietojamo iekārtu un aizsardzības sistēmu drošību.
(Grozīts ar MK 01.02.2011. noteikumiem Nr.92)
35.
Darba devējs nodrošina ķīmisko vielu iepakojuma, konteineru un cauruļvadu marķējumu un drošības zīmju izvietošanu darba vietās un marķējuma atbilstību iepakojuma, konteinera vai cauruļvada saturam atbilstoši normatīvajiem aktiem par ķīmisko vielu un maisījumu klasificēšanas, marķēšanas un iepakošanas kārtību un darba aizsardzības prasībām drošības zīmju lietošanā.
(Grozīts ar MK 01.02.2011. noteikumiem Nr.92)
IV.Pasākumi avārijas situācijās
36.
Ja uzņēmumam ir saistoši normatīvie akti par rūpniecisko avāriju riska novērtēšanas kārtību un riska samazināšanas pasākumiem, darba devējs nodrošina iepriekšēju paziņošanu atbilstoši šiem noteikumiem.
37.
Ja uzņēmumam nav saistoši normatīvie akti par rūpniecisko avāriju riska novēršanu un samazināšanas pasākumiem, bet, veicot riska novērtēšanu, tiek konstatēts, ka pastāv bīstamo ķīmisko vielu vai maisījumu avārijas risks, un paredzams, ka avārijas sekas ietekmēs arī teritoriju ārpus uzņēmuma, darba devējs iesniedz rakstisku informāciju attiecīgajai Valsts ugunsdzēsības un glābšanas dienesta teritoriālajai struktūrvienībai, norādot ķīmisko vielu vai maisījumu nosaukumu, to bīstamības klasi, kā arī atbilstošas riska un drošības frāzes.
(Grozīts ar MK 01.02.2011. noteikumiem Nr.92)
38.
Darba devējs saskaņā ar riska novērtējumu izstrādā pasākumus, ko nodarbinātie veic iespējamos nelaimes gadījumos vai avārijās darba vietās, kur strādā ar ķīmiskajām vielām un maisījumiem un kuras ir pakļautas avāriju riskam, nosakot atbildīgos darbiniekus un norādot kārtību, kā ar šiem darbiniekiem sazināties avārijas situācijā, tai skaitā norādot atbildīgo darbinieku un Valsts ugunsdzēsības un glābšanas dienesta telefona numurus, kā arī nosakot avārijas gadījumā paziņojamo informāciju.
(Grozīts ar MK 01.02.2011. noteikumiem Nr.92)
39.
Nodarbināto teorētisko un praktisko apmācību par pirmās palīdzības sniegšanu un rīcību avārijas situācijās (piemēram, ugunsgrēks, ķīmisko vielu noplūde) organizē ne retāk kā reizi gadā, ņemot vērā darba vietas specifiku un darbā lietojamo ķīmisko vielu un maisījumu īpašības.
(Grozīts ar MK 01.02.2011. noteikumiem Nr.92)
40.
Ja radusies avārijas situācija, darba devējs par to nekavējoties informē nodarbinātos un veic pasākumus ķīmisko vielu un maisījumu kaitīgās iedarbības novēršanai vai samazināšanai un stāvokļa normalizēšanai (piemēram, iekārtu atvienošana, nodarbināto evakuācija, uguns lokalizēšana, noplūdes kontrole, bīstamās zonas noteikšana un norobežošana).
(Grozīts ar MK 01.02.2011. noteikumiem Nr.92)
41.
Avārijas situācijās bīstamajā zonā drīkst atrasties tikai tie nodarbi­nātie, kuri ir iesaistīti remontdarbos vai kuri veic noteiktus pasākumus avārijas novēršanai un kuri ir īpaši apmācīti šādai rīcībai. Avārijas situācijās bīstamajā zonā drīkst veikt tikai tos remontdarbus vai citus darbus, kas nepieciešami avārijas radīto draudu un seku novēršanai vai samazināšanai.
42.
Nodarbinātos, kuri strādā bīstamajā zonā, darba devējs nodrošina ar individuālajiem aizsardzības līdzekļiem, speciālajiem drošības līdzekļiem un darba aprīkojumu, kas atbilst attiecīgajiem darba apstākļiem. Individuālos aizsardzības līdzekļus, speciālos drošības līdzekļus un darba aprīkojumu lieto līdz bīstamo faktoru pil­nīgai novēršanai saskaņā ar šo faktoru riska novērtējumu un ražotāja instrukcijām. Avārijas situācijās bīstamajā zonā aizliegts uzturēties personām bez piemērotiem individuālajiem aizsardzības līdzekļiem.
43.
Darba devējs nodrošina trauksmes un avārijas saziņas līdzekļu efektīvu darbību, lai katrs nodarbinātais nekavējoties tiktu informēts par draudiem viņa drošībai un veselībai.
44.
Darba devējs regulāri, bet ne retāk kā reizi gadā atbilstoši riska novērtējumam pārskata un aktualizē pasākumus, kas veicami avārijas situācijās, kā arī avārijas situācijas novēršanai.
V.Konsultēšanās, informēšana un apmācība
45.
Darba devējs nodrošina nodarbinātajiem un viņu uzticības personām darba specifikai atbilstošu apmācību un nepieciešamo informāciju par attiecīgajiem darba aizsardzības pasākumiem, lai katrs nodarbinātais darba vietā prastu aizsargāt sevi un citus nodarbinātos. Darba devējs nodrošina šādu informāciju:
45.1.
par riska novērtējumu, kas veikts saskaņā ar šo noteikumu II nodaļas prasībām, ievērojot jebkuras pārmaiņas darba vietā, kas var mainīt riska novērtējuma datus;
45.2.
par pasākumiem riska novēršanai un samazināšanai un par pārmaiņām riska novērtējuma datos;
45.3.
par ķīmiskajām vielām un maisījumiem darba vietā, to koncentrāciju darba vides gaisā, risku nodarbināto drošībai un veselībai, kā arī par ķīmisko vielu un maisījumu aroda ekspozīcijas robežvērtībām (AER);
45.4.
par drošības datu lapās sniegto ķīmisko vielu un maisījumu raksturojumu saskaņā ar Eiropas Parlamenta un Padomes 2006. gada 18. decembra Regulas (EK) Nr. 1907/2006, kas attiecas uz ķimikāliju reģistrēšanu, vērtēšanu, licencēšanu un ierobežošanu (REACH), un ar kuru izveido Eiropas Ķimikāliju aģentūru, groza Direktīvu 1999/45/EK un atceļ Padomes Regulu (EEK) Nr. 793/93 un Komisijas Regulu (EK) Nr. 1488/94, kā arī Padomes Direktīvu 76/769/EEK un Komisijas Direktīvu 91/155/EEK, Direktīvu 93/67/EEK, Direktīvu 93/105/EK un Direktīvu 2000/21/EK, 31. pantu;
45.5.
par rīcību un pasākumiem avārijas situācijās.
(Grozīts ar MK 01.02.2011. noteikumiem Nr.92; MK 07.04.2015. noteikumiem Nr.163)
46.
Darba devējs nodrošina to nodarbināto apmācību, kuriem ir vai ir iespējama saskare ar ķīmiskajām vielām vai maisījumiem:
46.1.
pirms darba uzsākšanas;
46.2.
regulāri, ne retāk kā reizi gadā;
46.3.
atkārtoti, ja darba vidē notikušas pārmaiņas, kuras var ietekmēt nodarbināto drošību un veselību, saņemta jauna informācija par ķīmisko vielu un maisījumu īpašībām vai konstatēts, ka nodarbinātā zināšanu līmenis ir nepietiekams.
(Grozīts ar MK 01.02.2011. noteikumiem Nr.92)
47.
Nodarbinātie, nodarbināto uzticības personas un viņu pārstāvji konsultējas un piedalās šajos noteikumos paredzēto jautājumu risināšanā saskaņā ar Darba aizsardzības likumu.
VI.Īpaši ierobežojumi un aizliegumi ķīmisko vielu un maisījumu ražošanā, izgatavošanā un lietošanā darba vietās, kā arī veicot citas darbības ar tiem
(Nodaļas nosaukums grozīts ar MK 01.02.2011. noteikumiem Nr.92)
48.
Īpašus ierobežojumus, kas attiecas uz darbībām ar atsevišķām bīstamām ķīmiskajām vielām, reglamentē normatīvie akti par bīstamo ķīmisko vielu un maisījumu ražošanas, tirdzniecības un lietošanas ierobežojumiem, izņemot šādus gadījumus:
48.1.
zinātnisko pētījumu, testu un analīžu veikšana;
48.2.
ķīmisko vielu un maisījumu - blakusproduktu vai ražošanas atkritumu - pārstrāde vai iznīcināšana;
48.3.
ķīmisko vielu un maisījumu kā starpproduktu ražošana un izmantošana vienotā, nepārtrauktā procesā.
(Grozīts ar MK 01.02.2011. noteikumiem Nr.92)
49.
Šo noteikumu 48.punktā noteiktajos izņēmuma gadījumos darbības ar atsevišķām bīstamām ķīmiskajām vielām ir atļautas, ja ir ievērotas šo noteikumu 50.punktā minētās prasības un darba devējs pirms darbu uzsākšanas ir sagatavojis un iesniedzis kontroles institūcijās šādus datus:
49.1.
izņēmuma pamatojums;
49.2.
aprēķini par lietojamo ķīmisko vielu un maisījumu daudzumu gadā;
49.3.
to darbību (reakciju, procesu) apraksti, kurās tiek lietota attiecīgā ķīmiskā viela vai maisījums;
49.4.
paredzamais nodarbināto skaits;
49.5.
tehniskie un citi pasākumi, kas novērš vai samazina risku nodarbināto drošībai un veselībai.
(Grozīts ar MK 01.02.2011. noteikumiem Nr.92)
50.
Šo noteikumu 48.punktā minētās ķīmiskās vielas un maisījumus drīkst ražot un izmantot tikai tad, ja ražošana un izmantošana notiek noslēgtā sistēmā (sistēma, kas nepieļauj nodarbinātā tiešu saskari ar ķīmisko vielu vai maisījumu), no kuras ķīmiskās vielas izvada tikai tad, ja tas nepieciešams procesa kontrolei vai sistēmas apkalpošanai.
(Grozīts ar MK 01.02.2011. noteikumiem Nr.92)
VII.Nodarbināto veselības uzraudzība
51.
Nodarbinātajiem, kuriem darba vietā iespējama saskare ar ķīmiskajām vielām vai maisījumiem, veic obligātās veselības pārbaudes saskaņā ar normatīvajiem aktiem par obligāto veselības pārbaužu veikšanas kārtību. Nosūtot nodarbināto uz obligāto veselības pārbaudi, darba devējs obligātās veselības pārbaudes kartē norāda informāciju par ķīmiskajām vielām, to iedarbības veidu, ilgumu un koncentrāciju darba vides gaisā.
(Grozīts ar MK 01.02.2011. noteikumiem Nr.92)
52.
Ja nodarbinātajam darba vietā ir vai ir iespējama saskare ar ķīmiskajām vielām vai maisījumiem, viņa veselības pārbaužu rezultātiem (attiecīgo dokumentu kopijām), ja nepieciešams, jābūt pieejamiem kompetentam speciālistam vai kompetentai institūcijai un Valsts darba inspekcijai saskaņā ar Darba aizsardzības likumu.
(Grozīts ar MK 01.02.2011. noteikumiem Nr.92)
53.
Nodarbinātajam, kuram darba vietā ir vai ir iespējama saskare ar ķīmiskajām vielām vai maisījumiem, ir tiesības iepazīties ar veselības pārbaužu rezultātiem, kas attiecas uz viņu.
(Grozīts ar MK 01.02.2011. noteikumiem Nr.92)
54.
Ja nodarbinātajiem darba vietā ir vai ir iespējama saskare ar ķīmiskajām vielām vai maisījumiem, izstrādājot darba aizsardzības pasākumus konkrētajā darba vietā, ņem vērā viņu veselības pārbaužu rezultātus.
(Grozīts ar MK 01.02.2011. noteikumiem Nr.92)
55.
Ja veselības pārbaudē konstatēts, ka slimība vai veselības traucējumi nodarbinātajam radušies no saskares ar ķīmiskajām vielām vai maisījumiem darba vietā, vai ir pārsniegti bioloģiskās ekspozīcijas rādītāji (BER):
55.1.
arodslimību ārsts informē nodarbināto par obligāto veselības pārbaužu rezultātiem un sniedz informāciju un ieteikumus par veselības aprūpi arī pēc ķīmisko vielu ietekmes izbeigšanas, kā arī atbilstoši normatīvajiem aktiem par obligāto veselības pārbaužu veikšanas kārtību informē darba devēju par neatbilstošiem darba vides apstākļiem, kas var nelabvēlīgi ietekmēt pārējos līdzīgos apstākļos nodarbinātos, norādot, ka arī viņiem būtu vēlams veikt obligātās veselības pārbaudes;
55.2.
darba devējs atkārtoti izvērtē riska novērtējuma rezultātus un darba aizsardzības pasākumus, kas novērš vai samazina attiecīgo risku, atbilstoši šo noteikumu III nodaļai;
55.3.
darba devējs ņem vērā arodslimību vai arodveselības ārsta, darba aizsardzības speciālista, kompetenta speciālista vai kompetentās institūcijas ieteikumus, veicot darba aizsardzības pasākumus ķīmisko vielu un maisījumu radītā riska novēršanai vai samazināšanai, paredzot iespēju norīkot nodarbinātos alternatīvos darbos, kur nepastāv ķīmisko vielu un maisījumu iedarbības risks;
55.4.
darba devējs nodrošina sistemātisku veselības uzraudzību un paredz atkārtotu veselības pārbaudi jebkuram nodarbinātajam, kurš ticis pakļauts līdzīgai ķīmisko vielu un maisījumu iedarbībai.
(Grozīts ar MK 01.02.2011. noteikumiem Nr.92)
55.1
Šajā nodaļā minētos veselības pārbaužu datus darba devējs glabā 40 gadus pēc pēdējās zināmās nodarbinātā saskares ar ķīmiskajām vielām, pēc tam datus nodod arhīvā. Ja darba devēju likvidē, veselības pārbaužu datus glabā saskaņā ar prasībām, kas noteiktas normatīvajos aktos par arhīva dokumentu glabāšanu.
(MK 01.02.2011. noteikumu Nr.92 redakcijā)
VIII.Noslēguma jautājums
(Nodaļas nosaukums MK 26.03.2024. noteikumu Nr. 191 redakcijā)
56.
Atzīt par spēku zaudējušiem Ministru kabineta 2002.gada 3.septembra noteikumus Nr.399 "Darba aizsardzības prasības, saskaroties ar ķīmiskajām vielām darba vietās" (Latvijas Vēstnesis, 2002, 127.nr.; 2005, 72.nr.).
57.
(Svītrots ar MK 26.03.2024. noteikumiem Nr. 191)
58.
(Svītrots ar MK 26.03.2024. noteikumiem Nr. 191)
59.
(Svītrots ar MK 26.03.2024. noteikumiem Nr. 191)
60.
(Svītrots ar MK 26.03.2024. noteikumiem Nr. 191)
61.
(Svītrots ar MK 26.03.2024. noteikumiem Nr. 191)
62.
Līdz 2028. gada 31. decembrim šo noteikumu 1. pielikuma 178. punktā minētā aroda ekspozīcijas robežvērtība diizocionātiem ir 0,006 mg/m3, īslaicīgas iedarbības robežvērtība – 0,012 mg/m3.
Informatīva atsauce uz Eiropas Savienības direktīvām
(Grozīta ar MK 01.02.2011. noteikumiem Nr. 92; MK 07.04.2015. noteikumiem Nr. 163; MK 10.07.2018. noteikumiem Nr. 407; MK 07.01.2020. noteikumiem Nr. 11; MK 18.02.2021. noteikumiem Nr. 110)
Noteikumos iekļautas tiesību normas, kas izriet no:
1)
Komisijas 1991.gada 29.maija Direktīvas 91/322/EEK par iesakāmo robežlielumu noteikšanu, izpildot Padomes Direktīvu 80/1107/EEK par darbinieku aizsardzību pret draudiem, kas saistīti ar pakļaušanu ķīmisku, fizikālu un bioloģisku aģentu iedarbībai darba vietā;
2)
Eiropas Padomes 1998.gada 7.aprīļa Direktīvas 98/24/EK par darbinieku veselības un drošības aizsardzību pret risku, kas saistīts ar ķimikāliju izmantošanu darbā (četrpadsmitā atsevišķā direktīva saskaņā ar Direktīvas 89/391/EEK 16.panta 1.punktu);
3)
Komisijas 2000.gada 8.jūnija Direktīvas 2000/39/EK, ar ko izveido darba vietā pieļaujamo indikatīvo robežvērtību pirmo sarakstu, lai īstenotu Padomes Direktīvu 98/24/EK par darbinieku veselības un drošības aizsardzību pret risku, kas saistīts ar ķimikāliju izmantošanu darbā;
4)
Eiropas Parlamenta un Padomes 2004.gada 29.aprīļa Direktīvas 2004/37/EK par darbinieku aizsardzību pret draudiem, kas saistīti ar kancerogēnu vai mutagēnu vielu iedarbību darbavietā (sestā atsevišķā direktīva saskaņā ar Direktīvas 89/391/EEK 16.panta 1.punktu);
5)
Komisijas 2006.gada 7.februāra Direktīvas 2006/15/EK, ar ko, īstenojot Padomes Direktīvu 98/24/EK, izveido otru sarakstu ar orientējošām robežvērtībām vielu iedarbībai darbavietā un groza Direktīvu 91/322/EEK un 2000/39/EK;
6)
Komisijas 2009.gada 17.decembra Direktīvas 2009/161/ES, ar ko, īstenojot Padomes Direktīvu 98/24/EK, izveido darbavietā pieļaujamo indikatīvo iedarbības robežvērtību trešo sarakstu un groza Direktīvu 2000/39/EK;
7)
Eiropas Parlamenta un Padomes 2014. gada 26. februāra Direktīvas 2014/27/ES, ar ko groza Padomes Direktīvas 92/58/EEK, 92/85/EEK, 94/33/EK, 98/24/EK un Eiropas Parlamenta un Padomes Direktīvu 2004/37/EK, lai tās pielāgotu Regulai (EK) Nr. 1272/2008 par vielu un maisījumu klasificēšanu, marķēšanu un iepakošanu;
8)
Komisijas 2017. gada 31. janvāra Direktīvas (ES) 2017/164, ar ko, īstenojot Padomes Direktīvu 98/24/EK, izveido ceturto sarakstu darbavietā pieļaujamās iedarbības orientējošām robežvērtībām un groza Komisijas Direktīvu 91/322/EEK, 2000/39/EK un 2009/161/ES;
9)
Eiropas Parlamenta un Padomes 2017. gada 12. decembra Direktīvas 2017/2398, ar ko groza Direktīvu 2004/37/EK par darba ņēmēju aizsardzību pret risku, kas saistīts ar kancerogēnu vai mutagēnu iedarbību darba vietā;
10)
Eiropas Parlamenta un Padomes 2019. gada 16. janvāra Direktīvas 2019/130, ar ko groza Direktīvu 2004/37/EK par darba ņēmēju aizsardzību pret risku, kas saistīts ar kancerogēnu vai mutagēnu iedarbību darbā;
11)
Eiropas Parlamenta un Padomes 2019. gada 5. jūnija Direktīvas 2019/983, ar ko groza Direktīvu 2004/37/EK par darba ņēmēju aizsardzību pret risku, kas saistīts ar kancerogēnu vai mutagēnu iedarbību darbā;
12)
Komisijas 2019. gada 24. oktobra Direktīvas (ES) 2019/1831, ar ko, īstenojot Padomes Direktīvu 98/24/EK, izveido piekto sarakstu ar darbavietā pieļaujamās eksponētības orientējošām robežvērtībām un groza Komisijas Direktīvu 2000/39/EK.
13)
Eiropas Parlamenta un Padomes 2024. gada 13. marta Direktīva 2024/869, ar ko groza Eiropas Parlamenta un Padomes Direktīvu 2004/37/EK un Padomes Direktīvu 98/24/EK attiecībā uz svina un tā neorganisko savienojumu un diizocianātu robežvērtībām.
Labklājības ministrijas iesniegtajā redakcijā

1.
pielikums
Ministru kabineta
2007.gada 15.maija
noteikumiem Nr.
325
Ķīmisko vielu aroda ekspozīcijas robežvērtības (AER) darba vides gaisā
Labklājības ministrijas iesniegtajā redakcijā



2.
pielikums
Ministru kabineta
2007.gada 15.maija
noteikumiem Nr.
325
Ķīmisko vielu sinonīmi un vielām atbilstošie numuri
(Pielikums svītrots ar MK 26.03.2024. noteikumiem Nr. 191)
Labklājības ministrijas iesniegtajā redakcijā

3.
pielikums
Ministru kabineta
2007.gada 15.maija
noteikumiem Nr.
325
Bioloģiskās ekspozīcijas rādītāji

1. Bioloģiskais ekspozīcijas rādītāji (BER) organiskiem šķīdinātājiem (toluols, stirols, ksiloli, 2-butanons, acetons, propān-2-ols) nosaka to metabolītus un šādas ķīmiskās vielas:

 

1.1. toluolam BER asinīs ir 600 µg/L (paraugi ņemti uzreiz, beidzoties iedarbībai), urīnā 75 µg/L, paraugi iegūti maiņas beigās. Toluola metabolītam o-krezolam (pēc hidrolīzes) BER urīnā ir 1,5 mg/L. Paraugus iegūst ekspozīcijas beigās vai maiņas beigās. Ilgstošas iedarbības novērtēšanai paraugus iegūst maiņas beigās pēc vairākām iepriekšējām maiņām;

 

1.2. stirolam BER asinīs ir 0,55 mg/L (paraugi ņemti maiņas beigās). Stirola metabolītiem - mandeļskābei kopā ar fenilglioksiskābi BER urīnā ir 600 mg/g kreatinīna. Paraugus iegūst ekspozīcijas beigās vai maiņas beigās. Ilgstošas iedarbības novērtēšanai paraugus iegūst maiņas beigās pēc vairākām iepriekšējām maiņām;

 

1.3. ksiloliem (visi izomēri) nosaka metilhipūr-(tolūr)skābi (visi izomēri) urīnā. BER ir 2000 mg/L. Urīna paraugi iegūti ekspozīcijas beigās vai maiņas beigās;

 

1.4. 2-butanonam (sinonīms: metiletilketons) BER urīnā 2 mg/L. Urīna paraugi iegūti ekspozīcijas beigās vai maiņas beigās;

 

1.5. acetonam BER urīnā 80 mg/L. Urīna paraugi iegūti ekspozīcijas beigās vai maiņas beigās;

 

1.6. propān-2-olam (sinonīms: izopropanols) nosaka acetonu: BER asinīs 25 mg/L, BER urīnā 25 mg/L. Asins un urīna paraugi iegūti ekspozīcijas beigās vai maiņas beigās.

 

2. Fenolam BER urīnā 120 mg fenols pēc hidrolīzes /g kreatinīna, urīna paraugi iegūti maiņas beigās.

 

3. Fosfororganiskiem savienojumiem nosaka holinesterāzes aktivitāti eritrocītos, BER 70 % no bāzes līmeņa.

 

4. Anilīnam BER urīnā ir 0,2 mg anilīna/L (pēc hidrolīzes, urīna paraugi iegūti maiņas beigās).

 

5. Alumīnijam BER urīnā ir 50 μg/g kreatinīna, ilgstošas iedarbības novērtēšanai paraugus iegūst maiņas beigās pēc vairākām iepriekšējām maiņām.

 

6. Kobaltam BER asinīs 7 μg/L, urīnā 130 nmol/L. Urīna un asins paraugi iegūti ekspozīcijas beigās vai maiņas beigās. Ilgstošas iedarbības novērtēšanai paraugus iegūst darba nedēļas beigās pēc vairākām iepriekšējām maiņām. References koncentrācija aroda neeksponētai populācijai urīnā 25 nmol/L, asinīs 0,8 μg/L.

 

7. Vanādijam BER urīnā 600 nmol/L. Urīna paraugi iegūti ekspozīcijas beigās vai maiņas beigās. Ilgstošas iedarbības novērtēšanai paraugus iegūst darba nedēļas beigās pēc vairākām iepriekšējām maiņām. References koncentrācija aroda neeksponētai populācijai urīnā

Labklājības ministrijas iesniegtajā redakcijā

4.
pielikums
Ministru kabineta
2007.gada 15.maija
noteikumiem Nr.
325
Ķīmiskās vielas koncentrācijas noteikšana darba vides gaisā

1. Paraugu ņemšanu veic raksturīgākajās darba vietās. Izpildot vienādas darba operācijas ar līdzīgiem darba rīkiem, kontrolē darba vides gaisu pēc darba vietu izlases principa, izvēloties tās gan telpas centrā, gan telpas malās.

2. Gaisu analīzei ņem darba procesa laikā (tipiskos darba apstākļos) darbinieka elpošanas zonā - telpas daļas puslodē 0,3 m rādiusā, kura apņem cilvēka seju ar centru viduspunktā starp acīm un kuras pamats ir novietots uz līnijas, kas iet caur galvas vidu un balseni.

3. Darba maiņas laikā vai tehnoloģiskā procesa atsevišķu posmu laikā vienā darba vietā (punktā) ekspozīcijas novērtēšanai ņem ne mazāk kā trīs paraugus; nosakot fibrogēnas iedarbības aerosolus, ir pieļaujams viens paraugs.

4. Parauga ņemšanai un analīzei izmanto kalibrētas precīzas instrumentālas analītiskas mēriekārtas.

5. Ja gāzu un tvaiku koncentrācija (Cg) izteikta neatkarīgās no temperatūras un gaisa spiediena mērvienībās ppm, tad, ņemot vērā vielas molmasu un gāzveida vielas mola ieņemto tilpumu pie atbilstošas temperatūras, gāzveida ķīmiskās vielas masas koncentrāciju (C, mg/m3) aprēķina pēc šādām formulām:

C(mg / m3) = Vielasmolmasa x Cg(ppm), pie 20°C
24.04


C(mg / m3) = Vielasmolmasa x Cg(ppm), pie 25°C
24.44

6. Gāzveida ķīmiskās vielas masas koncentrāciju (C, mg/m3) izsakot kā gāzu un tvaiku koncentrāciju (Cg) neatkarīgās no temperatūras un gaisa spiediena mērvienībās ppm, izmanto šādas pārrēķinu formulas:

Cg(ppm) = 24.04 x C(mg / m3), pie 20°C
Vielasmolmasa

Cg(ppm) = 24.44 x C(mg / m3), pie 25°C
Vielasmolmasa

7. Ķīmiskās vielas maiņas koncentrāciju nosaka šādi:

7.1. astoņu stundu darba dienas vai maiņas laikā ņem vienu vai vairākus citu citam sekojošus gaisa paraugus (darba vides gaisa daudzums, kuru ņem gaisa analīzei, lai izmērītu ņemtajā gaisa paraugā bīstamo vielu koncentrāciju), kuros veic nepieciešamās analīzes;

7.2. paraugu ņemšanu veic, izmantojot individuālos gaisa uztvērējus (ierīces, kas uztver gaisu darbinieka elpošanas zonā), visas maiņas laikā vai arī vidējo rādītāju nosaka pēc atsevišķu, maiņas laikā ņemto, analīžu rezultātiem;

7.3. nosakot vidējo rādītāju pēc atsevišķu maiņas laikā ņemto analīžu rezultātiem, to aprēķina kā vidējo laika periodam, kurā darbinieks veic visas tehnoloģiskā procesa operācijas;

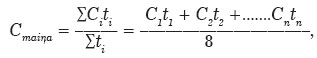
7.4. koncentrāciju aprēķinus veic pēc šādas formulas:

kur:

Cmaiņā - apzīmē bīstamās ķīmiskās vielas vidējo aritmētisko koncentrāciju maiņā, mg/m3;

Ci, C1,C2 ...Cn- bīstamās ķīmiskās vielas koncentrācija atsevišķos tehnoloģiskā procesa stadiju laika periodos (operācijās), mg/m3 maiņas laikā;

ti, t1 , t2, tn - tehnoloģiskā procesa atsevišķu stadiju (operāciju) ilgums - atbilstošais ekspozīcijas laiks, stundās

∑ti - viss maiņas ilgums stundās, piemēram 8 stundas;

7.5. darba vides novērtējums aptver vismaz 75 % no maiņas laika un to veic vairākās darba maiņās.

8. Ķīmiskās vielas koncentrācijas noteikšanu mērījumu veikšanas laikā iegūtajos paraugos veic atbilstoši konkrētā gadījumā izmantotajai metodei un mērīšanas līdzeklim un iegūtos rezultātus salīdzina ar AER.

9. Nosakot bīstamo ķīmisku vielu koncentrāciju:

9.1. ķīmisko vielu noteikšanas metodikai un mērīšanas līdzekļiem jānodrošina specifiska vielas noteikšana arī tad, ja darba vides gaisā ir citas vielas, vismaz 0,1 AER līmenī (orientējošai koncentrācijas noteikšanai pieļaujams 0,5AER līmenis);

9.2. noteiktās ķīmiskās vielas koncentrācijas summārā kļūda nedrīkst pārsniegt ± 25%;

9.3. ķīmisko vielu koncentrāciju mērījuma rezultātu attiecina uz apstākļiem, kur gaisa temperatūra ir 20 0C (293 K) un atmosfēras spiediens 760 mm Hg (101,23 kPa).

10. Orientējošu ķīmisko vielu koncentrāciju noteikšanu ar indikātorcaurulītēm un citiem indikatīviem mērīšanas līdzekļiem veic atbilstoši iekārtu ražotāja sniegtai informācijai, tajā skaitā lietošanas instrukcijai, ievērojot darba vides gaisā vienlaicīgu citu vielu klātbūtni un to iespējamo ietekmi uz mērījumu rezultātiem;

11. Ātras iedarbības bīstamo vielu nepārtrauktai automatizētai kontrolei darba vidē izmanto ātras darbības gāzu analizatorus.

12. Ja mērījumos iegūst rezultātu, kas ir zem metodes noteikšanas robežas (minimālās ķīmiskās vielas koncentrācijas, ko var noteikt ar šo metodi), uzskata, ka nosakāmās ķīmiskās vielas koncentrācija ir puse no tās ķīmiskās vielas koncentrācijas, kas konkrētajai metodei noteikta kā metodes noteikšanas robeža.