Noteikumu konsolidētā versija

25-TA-1788
Eiropas Savienības kohēzijas politikas programmas 2021.–2027. gadam 1.1.1. specifiskā atbalsta mērķa "Pētniecības un inovāciju kapacitātes stiprināšana un progresīvu tehnoloģiju ieviešana kopējā P&A sistēmā" 1.1.1.3. pasākuma "Praktiskas ievirzes pētījumi" īstenošanas noteikumi
Izdoti saskaņā ar Eiropas Savienības fondu 2021.–2027. gada plānošanas perioda vadības likuma 19. panta 6. un 13. punktu
I.Vispārīgie jautājumi
1.
Noteikumi nosaka:
1.1.
kārtību, kādā īsteno Eiropas Savienības kohēzijas politikas programmas 2021.–2027. gadam 1.1.1. specifiskā atbalsta mērķa "Pētniecības un inovāciju kapacitātes stiprināšana un progresīvu tehnoloģiju ieviešana kopējā P&A sistēmā" (turpmāk – atbalsta mērķis) 1.1.1.3. pasākumu "Praktiskās ievirzes pētījumi" (turpmāk – pasākums);
1.2.
pasākuma mērķi;
1.3.
pasākumam plānoto un pieejamo finansējumu;
1.4.
prasības Eiropas Reģionālās attīstības fonda projekta iesniedzējam, finansējuma saņēmējam un sadarbības partnerim;
1.5.
atbalstāmo darbību un izmaksu attiecināmības nosacījumus;
1.6.
vienkāršoto izmaksu piemērošanas nosacījumus un kārtību.
2.
Noteikumos lietoti šādi termini:
2.1.
ar saimniecisku darbību nesaistīts projekts – projekts, kas atbilst šādiem kritērijiem:
2.1.1.
projektu īsteno zinātniskā institūcija, kas atbilst šo noteikumu 2.12. apakšpunktā minētajai pētniecības organizācijas definīcijai;
2.1.2.
projektā īstenojamās darbības atbilst šo noteikumu 2.4. apakšpunktā minētajiem nosacījumiem;
2.2.
ar saimniecisku darbību saistīts projekts – projekts, kas atbilst vienam vai abiem šiem kritērijiem:
2.2.1.
pirmajā projektu iesniegumu atlases kārtā (turpmāk – pirmā atlases kārta) projektu īsteno zinātniskā institūcija vai Latvijas Republikas Komercreģistrā reģistrēts saimnieciskās darbības veicējs;
2.2.1.1
otrajā projektu iesniegumu atlases kārtā (turpmāk – otrā atlases kārta) projektu īsteno zinātniskā institūcija;
2.2.2.
projekta ietvaros īsteno darbības, kurām ir saimniecisks raksturs;
2.3.
darbība, kurai ir saimniecisks raksturs, – jebkura darbība, kas ietver preču vai pakalpojumu piedāvāšanu tirgū, tai skaitā pētniecības infrastruktūras iznomāšana, saimnieciskās darbības veicēju uzdevumā īstenoti pakalpojumi vai līgumpētījumi;
2.4.
darbība, kurai nav saimnieciska rakstura, – pētniecības organizācijas pamatdarbība, kura neietilpst Līguma par Eiropas Savienības darbību 107. panta 1. punktā noteiktajā darbības jomā un kuras izpausmes veidi ir šādi:
2.4.1.
publiska izglītība, lai vairotu un uzlabotu cilvēkresursu prasmes, kas tiek nodrošināta valsts izglītības sistēmas ietvaros un galvenokārt vai pilnībā ir valsts finansēta un uzraudzīta;
2.4.2.
tiek īstenota neatkarīga pētniecība un izstrāde ar mērķi gūt vairāk zināšanu un labāku izpratni, tostarp īstenota kopīga pētniecība un izstrāde, kad pētniecības organizācija vai pētniecības infrastruktūra iesaistās efektīvā sadarbībā. Pētniecības un izstrādes pakalpojumu sniegšana un pētniecība un izstrāde, ko veic uzņēmumu uzdevumā, netiek uzskatīta par neatkarīgu pētniecību un izstrādi;
2.4.3.
tiek veikta pētniecības rezultātu izplatīšana bez ekskluzivitātes un diskriminēšanas, tai skaitā izmantojot mācīšanu, brīvas piekļuves datubāzes, atklātas publikācijas vai atklātā pirmkoda programmatūru;
2.4.4.
zinātības un tehnoloģiju pārneses darbības, ja:
2.4.4.1.
zinātības un tehnoloģiju pārneses darbības veic pētniecības organizācijas nodaļa vai pētniecības organizācijas meitas uzņēmums (tāda komercsabiedrība, kurā mātes uzņēmuma līdzdalības daļa pārsniedz 50 procentu vai kurā mātes uzņēmumam ir balsu vairākums un kura atbilst šo noteikumu 2.12. apakšpunktā minētajai pētniecības organizācijas definīcijai), pētniecības organizācija kopīgi ar citām pētniecības organizācijām vai pētniecības organizācija ar trešajām pusēm, atklātā konkursā slēdzot līgumus par noteiktiem pakalpojumiem;
2.4.4.2.
visa peļņa no šādas darbības tiek atkal ieguldīta pētniecības organizācijas pamatdarbībā;
2.4.1
divējāda lietojuma produkti un tehnoloģijas – produkti un tehnoloģijas, kuras var izmantot gan civilām, gan militārām vajadzībām;
2.5.
efektīva sadarbība – sadarbība, kas atbilst Komisijas 2014. gada 17. jūnija Regulas (ES) Nr. 651/2014, ar ko noteiktas atbalsta kategorijas atzīst par saderīgām ar iekšējo tirgu, piemērojot Līguma 107. un 108. pantu (turpmāk – Komisijas regula Nr.  651/2014), 2. panta 90. punktā noteiktajai definīcijai;
2.6.
eksperimentālā izstrāde – izstrāde, kas atbilst Komisijas regulas Nr. 651/2014 2. panta 86. punktā noteiktajai definīcijai;
2.7.
fundamentālie pētījumi – pētījumi, kas atbilst Komisijas regulas Nr. 651/2014 2. panta 84. punktā noteiktajai definīcijai;
2.8.
intelektuālais īpašums – tiesības uz atsevišķiem cilvēka prāta darbības rezultātiem, kam piemīt nemateriālās dabas vērtība. Šādas tiesības izpaužas kā aizliegums izmantot kāda cilvēka intelektuālo īpašumu bez tā iepriekšējas atļaujas;
2.9.
intelektuālā īpašuma tiesības – tiesības, kas atbilst Eiropas Komisijas 2014. gada 21. marta Regulas Nr. 316/2014 par Līguma par Eiropas Savienības darbību 101. panta 3. punkta piemērošanu tehnoloģiju nodošanas nolīgumu kategorijām (turpmāk – Komisijas regula Nr. 316/2014) 1. panta "h" apakšpunktā noteiktajai definīcijai;
2.10.
labuma guvējs – subjekts (finansējuma saņēmējs, sadarbības partneris vai līgumpētījuma pasūtītājs), kurš gūst intelektuālā īpašuma tiesības un ekonomiskās priekšrocības, kas izriet no subjekta projekta daļas vai līgumpētījuma ietvaros veiktās darbības;
2.11.
līgumpētījums – saimnieciskās darbības veicēja (līgumpētījuma pasūtītāja) interesēs veikta pētniecība, ko līgumpētījuma pasūtītāja uzdevumā īsteno zinātniskā institūcija, kura noteikta saskaņā ar normatīvajiem aktiem par iepirkuma procedūru un tās piemērošanas kārtību pasūtītāja finansētiem projektiem un kuras darbība reģistrēta Latvijā vai ārvalstīs. Līgumpētījumu raksturo šādi kritēriji:
2.11.1.
līgumpētījuma pasūtītājam pieder projekta rezultāti un uz līgumpētījuma pasūtītāju attiecas neizdošanās risks;
2.11.2.
tehnoloģiju tiesības, kas izriet no zinātniskās institūcijas projekta ietvaros veiktās darbības, pilnībā piešķir līgumpētījuma pasūtītājam, kurš gūst visas ekonomiskās priekšrocības no šīm tiesībām, paturot tās pilnībā savā rīcībā;
2.11.3.
līgumpētījuma pasūtītājs nosaka šā pakalpojuma noteikumus un nosacījumus, kas attiecināmi uz projekta rezultātu publicitāti un komercializāciju;
2.11.4.
viena projekta ietvaros līgumpētījuma pasūtītājs var apvienot vairākus līgumpētījumus dažādām zinātniskajām institūcijām, ja tas nepieciešams projekta rezultātu sasniegšanai;
2.12.
pētniecības organizācija – subjekts, kas atbilst Komisijas regulas Nr. 651/2014 2. panta 83. punktā noteiktajai definīcijai;
2.13.
projekta daļa – finansējuma saņēmēja vai sadarbības partnera projekta ietvaros īstenots apakšprojekts, kuram piemēro šo noteikumu 22.2. vai 23.3. apakšpunktā minētā projekta nosacījumus;
2.14.
rūpnieciskie pētījumi – pētījumi, kas atbilst Komisijas regulas Nr. 651/2014 2. panta 85. punktā noteiktajai definīcijai;
2.15.
tehnoloģiju tiesības – tiesības, kas atbilst Komisijas regulas Nr. 316/2014 1. panta "b" apakšpunktā noteiktajai definīcijai;
2.15.1
tehniski ekonomiskā priekšizpēte – priekšizpēte atbilstoši Komisijas regulas Nr. 651/2014 2. panta 87. punktam;
2.16.
zinātniskais darbinieks – zinātniskais personāls, zinātnes apkalpojošais personāls un zinātnes tehniskais personāls, kas klātienē vai attālināti nodarbināts projektā;
2.17.
zinātniskais personāls – atbilstoši zinātnisko darbību reglamentējošiem normatīvajiem aktiem ievēlētie vadošie pētnieki, pētnieki un zinātniskie asistenti, kā arī saimnieciskās darbības veicēja institūcijā strādājošās personas, kas veic vadošā pētnieka, pētnieka un zinātniskā asistenta pienākumus;
2.18.
zinātniskās institūcijas – Latvijas Republikas Zinātnisko institūciju reģistrā reģistrēts zinātniskais institūts (publiska aģentūra, atvasināta publiska persona, valsts augstskolas struktūrvienība, privāto tiesību juridiskā persona vai tās struktūrvienība) vai augstskola.
3.
Publisko finansējumu ar saimniecisku darbību saistītu projektu īstenošanai piešķir:
3.1.
pirmajā atlases kārtā – saskaņā ar Komisijas regulas Nr. 651/2014 25. pantu, kas tiek piemērots atbalsta saņēmējiem, kuri atbilst sīkajiem (mikro), mazajiem, vidējiem vai lielajiem saimnieciskās darbības veicējiem, un saskaņā ar Komisijas regulas Nr. 651/2014 28. pantu, kas tiek piemērots tādiem atbalsta saņēmējiem, kuri ir sīkie (mikro), mazie vai vidējie saimnieciskās darbības veicēji;
3.2.
otrajā atlases kārtā – saskaņā ar šo noteikumu 3.1. apakšpunktā minēto pirmajai atlases kārtai piemērojamo regulējumu vai Eiropas Komisijas 2023. gada 13. decembra Regulu (ES) 2023/2831 par Līguma par Eiropas Savienības darbību 107. un 108. panta piemērošanu de minimis atbalstam (turpmāk – Komisijas regula 2023/2831) un normatīvajiem aktiem par de minimis atbalsta uzskaites un piešķiršanas kārtību.
4.
Pasākuma mērķis ir atbalstīt praktiskas ievirzes un sadarbības pētījumu, tai skaitā starpdisciplināru pētījumu, īstenošanu, kuri virza Latvijas viedās specializācijas (turpmāk – RIS3) stratēģijas specializācijas jomu attīstību, paredzot Latvijas tautsaimniecības inovācijas sistēmas kapacitātes un eksportspējas palielināšanu atbilstoši RIS3 stratēģijai.
5.
Pasākuma ietvaros:
5.1.
tiek atbalstīti pētniecības projekti, tai skaitā starpdisciplināri projekti, kas sniedz ieguldījumu RIS3 noteikto tautsaimniecības transformācijas virzienu un izaugsmes prioritāšu īstenošanā un šādu specializācijas jomu attīstībā:
5.1.1.
zināšanu ietilpīga bioekonomika;
5.1.2.
biomedicīna, medicīnas tehnoloģijas, farmācija;
5.1.3.
fotonika un viedie materiāli, tehnoloģijas un inženiersistēmas;
5.1.4.
viedā enerģētika un mobilitāte;
5.1.5.
informācijas un komunikācijas tehnoloģijas;
5.2.
netiek atbalstīti pētniecības projekti, kas paredzēti tikai militāriem mērķiem;
5.3.
otrajā atlases kārtā prioritāri tiek atbalstīti pētniecības projekti, kuros paredzēta jauna vai būtiski uzlabota divējāda lietojuma produkta vai tehnoloģijas izstrāde civilajā un aizsardzības jomā vai civilajā un sabiedrības drošības vai noturības jomā.
6.
Pasākuma mērķa grupa ir:
6.1.
zinātniskās institūcijas;
6.2.
Latvijas Republikas Komercreģistrā reģistrēti saimnieciskās darbības veicēji;
6.3.
zinātniskais personāls.
7.
Pasākuma ietvaros ir sasniedzami šādi rādītāji, izlietojot šo noteikumu 13. punktā minēto finansējumu:
7.1.
iznākuma rādītājs līdz 2024. gada 31. decembrim:
7.1.1.
pētniecības organizācijas, kas piedalās kopīgos pētniecības projektos, – 5;
7.1.2.
uzņēmumi, kas sadarbojas ar pētniecības organizācijām, – 4;
7.2.
iznākuma rādītājs līdz 2029. gada 31. decembrim:
7.2.1.
pētniecības organizācijas, kas piedalās kopīgos pētniecības projektos, – 10;
7.2.2.
uzņēmumi, kas sadarbojas ar pētniecības organizācijām, – 26;
7.3.
rezultāta rādītājs līdz 2029. gada 31. decembrim – publisko atbalstu papildinošās privātās investīcijas – 7 934 009 euro;
7.4.
nacionālais rādītājs:
7.4.1.
oriģināli zinātniskie raksti, kas publicēti Web of Science, SCOPUS vai ERIH+ datubāzēs iekļautos žurnālos vai konferenču rakstu krājumos;
7.4.2.
tehnoloģiju tiesības – patenti;
7.4.3.
tehnoloģiju tiesības – citi nemateriālie aktīvi;
7.4.4.
intelektuālā īpašuma licences vai nodošanas līgumi;
7.4.5.
jauna produkta vai jaunas tehnoloģijas, tai skaitā metodes, prototips;
7.4.6.
jaunas nekomercializējamas ārstniecības un diagnostikas metodes.
8.
Pasākuma ietvaros Kohēzijas politikas fondu vadības un informācijas sistēmā (turpmāk – vadības sistēma) finansējuma saņēmējs uzkrāj šādus RIS3 rādītājus katrā no RIS3 jomām:
8.1.
pētniecības un attīstības (turpmāk – P&A) izdevumu apjoms – publiskais finansējums (euro);
8.2.
P&A izdevumu apjoms – privātās investīcijas (euro);
8.3.
fundamentālie pētījumi (P&A izdevumu apjoms) (euro);
8.4.
rūpnieciskie (lietišķie) pētījumi (P&A izdevumu apjoms) (euro);
8.5.
eksperimentālās izstrādnes (P&A izdevumu apjoms) (euro);
8.6.
tehniski ekonomiskā priekšizpēte (P&A izdevumu apjoms) (euro);
8.7.
kopējie P&A izdevumi:
8.7.1.
iekšējie izdevumi P&A darbiem:
8.7.1.1.
kārtējie izdevumi (euro):
8.7.1.1.1.
darbaspēka izmaksas (P&A izdevumu apjoms) (euro);
8.7.1.1.2.
citi kārtējie izdevumi (euro);
8.7.1.2.
kapitālizdevumi – ēkas, iekārtas, intelektuālā īpašuma tiesības, datoru programmatūra (euro);
8.7.2.
ārējie izdevumi P&A darbiem, kas pasūtīti citās iestādēs, uzņēmumos, organizācijās;
8.8.
publikācijas WoS un SCOPUS (skaits);
8.9.
publikācijas WoS un SCOPUS sadarbībā ar industriju (skaits);
8.10.
jaunradītie produkti (preces un pakalpojumi, kas nav tehnoloģijas) (skaits);
8.11.
jaunradītās tehnoloģijas (skaits);
8.12.
kopējais P&A personāls (pilna laika ekvivalents):
8.12.1.
iekšējais P&A personāls:
8.12.1.1.
pētnieki (zinātnieki un citi profesionāļi):
8.12.1.1.1.
jaunie zinātnieki;
8.12.1.1.2.
doktora grāda ieguvēji;
8.12.1.1.3.
doktoranti un doktora grāda pretendenti;
8.12.1.1.4.
maģistra grāda, bakalaura grāda, pirmā vai otrā līmeņa augstākās vai profesionālās izglītības ieguvēji;
8.12.1.1.5.
ar cita līmeņa izglītību, kas zemāka par šo noteikumu 8.12.1.1.4. apakšpunktā minēto izglītību;
8.12.1.2.
P&A tehniskais personāls;
8.12.1.3.
P&A atbalsta personāls;
8.12.2.
ārējais P&A personāls:
8.12.2.1.
pētnieki (zinātnieki un citi profesionāļi);
8.12.2.2.
P&A tehniskais personāls;
8.12.2.3.
P&A atbalsta personāls;
8.13.
kopējais P&A personāls (skaits):
8.13.1.
iekšējais P&A personāls:
8.13.1.1.
pētnieki (zinātnieki un citi profesionāļi):
8.13.1.1.1.
jaunie zinātnieki;
8.13.1.1.2.
doktora grāda ieguvēji;
8.13.1.1.3.
doktoranti un doktora grāda pretendenti;
8.13.1.1.4.
maģistra grāda, bakalaura grāda, pirmā vai otrā līmeņa augstākās vai profesionālās izglītības ieguvēji;
8.13.1.1.5.
ar cita līmeņa izglītību, kas zemāka par šo noteikumu 8.13.1.1.4. apakšpunktā minēto izglītību;
8.13.1.2.
P&A tehniskais personāls;
8.13.1.3.
P&A atbalsta personāls;
8.13.2.
ārējais P&A personāls:
8.13.2.1.
pētnieki (zinātnieki un citi profesionāļi);
8.13.2.2.
P&A tehniskais un P&A atbalsta personāls;
8.14.
atbalstīto komersantu skaits (skaits);
8.15.
radītie rūpnieciskā īpašuma objekti:
8.15.1.
patents un patentu pieteikumi (skaits);
8.15.2.
licences līgumi (skaits);
8.15.3.
augu šķirne (skaits);
8.15.4.
reģistrēts dizainparaugs (skaits);
8.15.5.
pusvadītāja izstrādājums vai tā pieteikums (skaits);
8.15.6.
preču zīme (ieskaitot kolektīvās zīmes) un sertifikācijas zīme (skaits).
9.
Finansējuma saņēmējs šo noteikumu 8. punktā minēto informāciju iesniedz kopā ar maksājuma pieprasījumu vai 10 darbdienu laikā pēc atbildīgās iestādes pieprasījuma.
10.
Pasākumu īsteno atklātas projektu iesniegumu atlases veidā.
11.
Pasākumam paredzēts atbalsts grantu veidā.
12.
Pasākuma ietvaros atbildīgās iestādes funkcijas pilda Izglītības un zinātnes ministrija (turpmāk – atbildīgā iestāde).
13.
Pasākuma ietvaros pieejamais kopējais finansējums ir 67 178 087 euro, tai skaitā Eiropas Reģionālās attīstības fonda finansējums – 53 136 409 euro, valsts budžeta līdzfinansējums – 9 091 121 euro un cits nacionālais līdzfinansējums – ne mazāk kā 4 950 557 euro. Maksimālais attiecināmais Eiropas Reģionālās attīstības fonda finansējuma apmērs nepārsniedz 85 procentus no pasākumam plānotā kopējā publiskā attiecināmā finansējuma.
14.
(Svītrots)
15.
(Svītrots)
16.
Pirmajā atlases kārtā pieejamais kopējais attiecināmais finansējums ir ne vairāk kā 32 855 348 euro, ko veido Eiropas Reģionālās attīstības fonda finansējums – ne vairāk kā 28 764 290 euro, valsts budžeta līdzfinansējums – ne vairāk kā 4 091 058 euro un cits nacionālais līdzfinansējums – 4 950 557 euro, tai skaitā:
16.1.
ar saimniecisku darbību nesaistītiem projektiem:
16.1.1.
pasākumu ietvaros pieejamā kopējā attiecināmā publiskā finansējuma apmērs ir ne vairāk kā 27 292 811 euro, ko veido Eiropas Reģionālās attīstības fonda finansējums – ne vairāk kā 23 201 753 euro un valsts budžeta finansējums – ne vairāk kā 4 091 058 euro;
16.1.2.
maksimālā publiskā finansējuma intensitāte ir 91,4 procenti, ko veido:
16.1.2.1.
valsts budžeta atbalsta intensitāte – 13,7 procenti;
16.1.2.2.
Eiropas Reģionālās attīstības fonda atbalsta intensitāte – 77,7 procenti;
16.2.
ar saimniecisku darbību saistītiem projektiem pieejamā kopējā attiecināmā publiskā finansējuma apmērs ir ne mazāk kā 5 562 537 euro, ko veido Eiropas Reģionālās attīstības fonda finansējums.
17.
(Svītrots)
18.
Otrās atlases kārtas īstenošanai kopējo attiecināmo publisko finansējumu plāno ne vairāk kā 29 372 182 euro apmērā, tai skaitā Eiropas Reģionālās attīstības fonda finansējumu – 24 372 119 euro apmērā un valsts budžeta līdzfinansējumu – 5 000 063 euro apmērā, tai skaitā:
18.1.
ar saimniecisku darbību nesaistītiem projektiem:
18.1.1.
pasākuma ietvaros pieejamā kopējā attiecināmā publiskā finansējuma apmērs ir ne vairāk kā 23 872 182 euro, ko veido Eiropas Reģionālās attīstības fonda finansējums – ne vairāk kā 18 872 119 euro un valsts budžeta finansējums – ne vairāk kā 5 000 063 euro;
18.1.2.
maksimālā publiskā finansējuma intensitāte ir 91,4 procenti, ko veido:
18.1.2.1.
valsts budžeta atbalsta intensitāte – 19,1 procents;
18.1.2.2.
Eiropas Reģionālās attīstības fonda atbalsta intensitāte – 72,3 procenti;
18.2.
ar saimniecisku darbību saistītiem projektiem pieejamā kopējā attiecināmā publiskā finansējuma apmērs ir ne mazāk kā 5 500 000 euro, ko veido Eiropas Reģionālās attīstības fonda finansējums.
19.
Pirmajā un otrajā projektu iesniegumu atlases kārtā viena projekta maksimālais publiskā finansējuma apmērs ir 600 000 euro, minimālais finansējuma apmērs ir 30 000 euro.
II.Prasības projekta iesniedzējam un sadarbības partnerim
20.
Projekta iesnieguma iesniedzējs var būt:
20.1.
zinātniskā institūcija, kas var iesniegt:
20.1.1.
šo noteikumu 2.1. apakšpunktā minēto ar saimniecisku darbību nesaistītu projektu, ja zinātniskā institūcija atbilst pētniecības organizācijas definīcijai;
20.1.2.
šo noteikumu 2.2. apakšpunktā minēto ar saimniecisko darbību saistītu projektu;
20.2.
saimnieciskās darbības veicējs (tikai pirmajā atlases kārtā), kas var iesniegt šo noteikumu 2.2. apakšpunktā minēto ar saimniecisku darbību saistītu projektu.
21.
Projekts var tikt īstenots kā sadarbības projekts, nodrošinot šādu nosacījumu izpildi:
21.1.
sadarbības partneris ir reģistrēts attiecīgajā reģistrā Latvijā vai ārvalstīs, un tas var būt:
21.1.1.
zinātniskā institūcija;
21.1.2.
saimnieciskās darbības veicējs;
21.2.
vismaz divi partneri piedalās sadarbības projekta izstrādē, dod ieguldījumu tā īstenošanā un dalās projekta riskā un rezultātos.
22.
Pasākuma ietvaros var īstenot šādus ar saimniecisko darbību nesaistītus projektus, kas ietver pētniecību un pētniecības rezultātu nodošanu zinātības un tehnoloģiju pārneses veidā:
22.1.
pētniecības organizācijas individuāli īstenots projekts, kura ietvaros veic neatkarīgu pētniecību, lai gūtu vairāk zināšanu un labāku izpratni. Intelektuālā īpašuma tiesības, kas izriet no pētniecības organizācijas projekta ietvaros iegūtiem pētniecības rezultātiem, pilnībā piešķir pētniecības organizācijai, kas gūst visas ekonomiskās priekšrocības no šīm tiesībām;
22.2.
vismaz divu neatkarīgu pušu sadarbības projekts, ja pētniecības organizācija iesaistās efektīvā sadarbībā un projekts atbilst šādiem kritērijiem:
22.2.1.
tiesības uz pētniecības rezultātiem, kas izriet no projekta ietvaros veiktām darbībām, tai skaitā uz intelektuālo īpašumu un ar to saistītām piekļuves tiesībām, dažādām sadarbības projekta pusēm piešķir tieši proporcionāli ieguldījumam projekta īstenošanā, tai skaitā proporcionāli materiālajiem un nemateriālajiem aktīviem un finansējumam, natūrā un cilvēkresursos veiktajam ieguldījumam (turpmāk – ieguldījums), kā arī atbilstoši risku un atbildības sadalījumam;
22.2.2.
sadarbības projekta puses ir saimnieciskās darbības veicējs un pētniecības organizācija, kas nodrošina to, ka izpētes rezultāti, kurus neaizsargā intelektuālā īpašuma tiesības, var tikt plaši izplatīti, un jebkādas intelektuālā īpašuma tiesības attiecībā uz pētniecības rezultātiem, kas izriet no pētniecības organizācijas darbības, tiek pilnībā piešķirtas pētniecības organizācijai;
22.2.3.
sadarbības projekta noteikumus attiecībā uz ieguldījumu, risku un rezultātu sadali, rezultātu izplatīšanu, piekļuvi intelektuālajam īpašumam un noteikumiem par šo intelektuālo īpašumu tiesību piešķiršanu, atsavināšanu vai pirmpirkuma tiesību piešķiršanu ietver šo noteikumu 30.5. apakšpunktā minētajā sadarbības līgumā, kuru noslēdz pirms projekta īstenošanas uzsākšanas.
23.
Pasākuma ietvaros var īstenot šādus ar saimniecisku darbību saistītus projektus:
23.1.
pirmajā atlases kārtā – zinātniskās institūcijas vai saimnieciskās darbības veicēja individuāli īstenotu projektu, kura ietvaros projekta iesniedzējs gūst intelektuālā īpašuma tiesības un ekonomiskās priekšrocības, kas izriet no projekta ietvaros iegūtiem pētniecības rezultātiem;
23.1.1
otrajā atlases kārtā – zinātniskās institūcijas individuāli īstenotu projektu, kura ietvaros projekta iesniedzējs gūst intelektuālā īpašuma tiesības un ekonomiskās priekšrocības, kas izriet no projekta ietvaros iegūtiem pētniecības rezultātiem;
23.2.
līgumpētījuma pasūtītāja interesēs īstenotu projektu vai projekta daļu, kuras ietvaros līgumpētījuma pasūtītājs gūst intelektuālā īpašuma tiesības un ekonomiskās priekšrocības, kas izriet no šādiem projekta vai projekta daļas ietvaros iegūtiem pētniecības rezultātiem:
23.2.1.
no līgumpētījuma, ko īsteno zinātniskā institūcija, kas noteikta atbilstoši šo noteikumu 2.11. apakšpunktam;
23.2.2.
no pētniecības, ko projekta vai projekta daļas ietvaros īsteno līgumpētījuma pasūtītājs;
23.3.
vismaz divu pušu sadarbības projektu, lai sasniegtu kopīgu mērķi.
24.
Pasākuma ietvaros vadības sistēmā tiek uzkrāti šo noteikumu 7.4. apakšpunktā definētie nacionālie rādītāji. Finansējuma saņēmējs informāciju un dokumentus, kas apliecina šo noteikumu 7.4. apakšpunktā minētos sasniegtos projekta rezultātus, iesniedz kopā ar maksājuma pieprasījumu.
25.
Finansējuma saņēmējs projekta iesniegumā pamato sagaidāmo šo noteikumu 7.4. apakšpunktā minēto nacionālo rādītāju ilgtspēju projekta īstenošanas laikā un vismaz divus gadus pēc noslēguma maksājuma saņemšanas atbilstoši vienam vai vairākiem šādiem ieguldījumiem inovācijas sistēmas kapacitātes palielināšanā:
25.1.
projekta ietvaros radīto zinātību un tehnoloģiju pārnese, tai skaitā zinātniskie raksti, reģistrētās tehnoloģiju tiesības, tehnoloģiju tiesību komercializācija;
25.2.
projekta ietvaros izstrādātā prototipa pilnveide, lai to ieviestu ražošanā vai pakalpojumu sniegšanā.
26.
Projekta iesniedzējs sagatavo un iesniedz sadarbības iestādē projekta iesniegumu atbilstoši projektu iesniegumu atlases nolikumā noteiktajām prasībām.
27.
Pirmajā un otrajā projektu iesniegumu atlases kārtā projekta iesniegumu iesniedz, izmantojot vadības sistēmu. Projekta iesniegumam pievieno šādus pielikumus:
27.1.
projekta īstenošanā iesaistītā zinātniskā vadītāja vai personas, kas veic zinātniskā vadītāja pienākumus saimnieciskās darbības veicēja institūcijā, dzīves gaitas aprakstu (Curriculum vitae);
27.2.
projekta iesnieguma un tā pielikumu tulkojumu angļu valodā atbilstoši atlases nolikumā noteiktajam;
27.3.
šo noteikumu 23. punktā minētajā gadījumā:
27.3.1.
ja atbalsts tiek sniegts saskaņā ar Komisijas regulu Nr. 651/2014, – ar saimniecisku darbību saistīta projekta vidējās svērtās publiskā finansējuma intensitātes aprēķinu (1. pielikums);
27.3.1.1
ja atbalsts tiek sniegts saskaņā ar Komisijas regulu 2023/2831, – de minimis atbalsta uzskaites sistēmā sagatavotu veidlapu, ja projekta iesniegumā nav norādīts de minimis atbalsta uzskaites sistēmā izveidotās un apstiprinātās veidlapas identifikācijas numurs;
27.3.2.
deklarāciju par projekta iesniedzēja un sadarbības partnera atbilstību sīkā (mikro), mazā vai vidējā saimnieciskās darbības veicēja kategorijai, kas sagatavota saskaņā ar normatīvajiem aktiem par sīko (mikro), mazo vai vidējo komercsabiedrību deklarēšanas kārtību;
27.4.
(Svītrots)
27.5.
šo noteikumu 21. punktā minētajā gadījumā – šo noteikumu 30.5. apakšpunktā minēto līgumu vai nodomu protokolu ar sadarbības partneri. Ja ir iesniegts nodomu protokols, tad sadarbības līgumu iesniedz līdz vienošanās vai līguma par projekta īstenošanu noslēgšanai;
27.6.
otrajā atlases kārtā – atbilstoši tehniski ekonomiskās priekšizpētes izstrādāšanas metodikai (2. pielikums) sagatavotu tehniski ekonomiskās priekšizpētes aprakstu ar tulkojumu angļu valodā;
27.7.
ja otrajā atlases kārtā projektā paredzēta divējāda lietojuma produktu vai tehnoloģiju izstrāde, – apliecinājumu par projektā paredzēto produktu vai tehnoloģiju izstrādes atbilstību civilajai un aizsardzības jomai vai civilajai un sabiedrības drošības vai noturības jomai.
28.
Lai pamatotu projekta sociālekonomisko ietekmi, projekta iesniegumam var pievienot tādas Latvijā reģistrētas biedrības atzinumu par pētījuma nozīmību tautsaimniecības nozares vai saimnieciskās darbības veicēja attīstībai, kura:
28.1.
pārstāv vismaz trīs saimnieciskās darbības veicējus no nozares, kurā var tikt izmantoti projekta ietvaros plānotā pētījuma rezultāti;
28.2.
pirmajā atlases kārtā apvieno nozares saimnieciskās darbības veicējus, kuru kopējais apgrozījums pēdējā noslēgtajā pārskata gadā ir vismaz 150 000 000 euro;
28.3.
ir reģistrēta Uzņēmumu reģistra Biedrību un nodibinājumu reģistrā vismaz piecus gadus.
29.
Šo noteikumu 23.2.1. apakšpunktā minētajā gadījumā līgumpētījuma pasūtītājs un līgumpētījuma izpildītājs slēdz līgumu par līgumpētījuma izpildi, kurā ietver:
29.1.
šo noteikumu 2.11. un 23.2. apakšpunktā minētos kritērijus un nosacījumus;
29.2.
projekta finanšu plūsmas nodrošināšanas kārtību atbilstoši šo noteikumu 58. punkta nosacījumiem;
29.3.
kārtību, kādā groza vai lauž līgumu;
29.4.
sankcijas, ja netiek izpildītas līgumā minētās saistības, un citus nosacījumus;
29.5.
nosacījumus, ka pētniecības organizācija sniedz savu pakalpojumu – līgumpētījumu – par tirgus cenu. Ja tirgus cena nav nosakāma, pētniecības organizācija savus pētījumu pakalpojumus sniedz par tādu cenu, kas atspoguļo pakalpojuma pilnas izmaksas un parasti iekļauj uzcenojumu, kas noteikts, atsaucoties uz tiem uzcenojumiem, kurus parasti piemēro uzņēmumi, kas darbojas attiecīgā pakalpojuma nozarē, vai ir nesaistītu pušu darījuma principam atbilstošu sarunu rezultāts, kad pētniecības organizācija vai pētniecības infrastruktūra kā pakalpojuma sniedzēja risina sarunas, lai iegūtu maksimālo saimniecisko labumu līguma noslēgšanas brīdī, un tiek segtas vismaz tās robežizmaksas.
30.
Sadarbības projektā:
30.1.
katra sadarbības partnera projekta attiecināmo izmaksu daļa veido vismaz 20 procentus no projekta kopējām attiecināmajām izmaksām, ņemot vērā šo noteikumu 39.3. apakšpunkta nosacījumus;
30.2.
sadarbības partneris projekta īstenošanā var iesaistīties ar tā valdījumā vai īpašumā esošu mantu, intelektuālo īpašumu, finansējumu vai cilvēkresursiem. Veicot šādus ieguldījumus, finansējuma saņēmējam ar sadarbības partneri nedrīkst rasties tādas tiesiskās attiecības, kas atbilst publiska iepirkuma līguma pazīmēm atbilstoši normatīvajiem aktiem par publisko iepirkumu vai iepirkumu sabiedrisko pakalpojumu sniedzēju vajadzībām;
30.3.
finansējumu piešķir atbilstoši Eiropas Parlamenta un Padomes 2021. gada 24. jūnija Regulas Nr. 2021/1060, ar ko paredz kopīgus noteikumus par Eiropas Reģionālās attīstības fondu, Eiropas Sociālo fondu Plus, Kohēzijas fondu, Taisnīgas pārkārtošanās fondu un Eiropas Jūrlietu, zvejniecības un akvakultūras fondu un finanšu noteikumus attiecībā uz tiem un uz Patvēruma, migrācijas un integrācijas fondu, Iekšējās drošības fondu un Finansiāla atbalsta instrumentu robežu pārvaldībai un vīzu politikai (turpmāk – Padomes regula Nr. 2021/1060), 108. pantam;
30.4.
labuma guvējs var daļēji atsavināt vai piešķirt izmantošanas tiesības uz konkrētā labuma guvēja projekta daļas ietvaros radīto intelektuālo īpašumu citam sadarbības partnerim, nodrošinot, ka saņemtā atlīdzība (kompensācija) ir līdzvērtīga tirgus cenai par intelektuālā īpašuma tiesībām. Ja intelektuālā īpašuma tiesības, kas izriet no projekta ietvaros veiktās darbības, pieder tikai vienam sadarbības partnerim, šādu projektu īsteno saskaņā ar šo noteikumu 2.11. un 22.2. apakšpunktu​​​​​​;
30.5.
līgumā iekļauj informāciju atbilstoši normatīvajiem aktiem par kārtību, kādā Eiropas Savienības fondu vadībā iesaistītās institūcijas nodrošina šo fondu ieviešanu 2021.–2027. gada plānošanas periodā, un paredz tajā pušu tiesības, pienākumus un atbildību, iekļaujot vismaz šādus saturiskās un finansiālās sadarbības nosacījumus:
30.5.1.
sadarbības mērķus un principus;
30.5.2.
kritērijus, kas pamato sadarbības efektivitāti atbilstoši šo noteikumu 2.5. apakšpunkta nosacījumiem;
30.5.3.
plānoto kopējo sadarbības projekta finansējumu, katra sadarbības partnera projekta daļas finansējumu un katra sadarbības partnera ieguldījumu sadalījumā pa ieguldījumu veidiem;
30.5.4.
projekta finanšu plūsmas nodrošināšanas kārtību. Šo noteikumu 23. punktā minētajā gadījumā finansējuma saņēmējs pēc maksājuma pieprasījuma apstiprināšanas un atbilstošo projekta izdevumu segšanai paredzētā finansējuma saņemšanas sadarbības partnerim atmaksā tā projekta daļai atbilstošos izdevumus, kurus nosaka, katrai izdevumu pozīcijai piemērojot sadarbības partnera projekta daļai atbilstošo publiskā finansējuma intensitāti, kas aprēķināta atbilstoši šo noteikumu 42., 48., 48.149. punktā un 1. pielikumā minētajiem nosacījumiem;
30.5.5.
tiesību uz projekta rezultātiem (tai skaitā intelektuālā īpašuma tiesību) sadalījumu proporcionāli katra sadarbības partnera ieguldījumam projekta īstenošanā;
30.5.6.
sankcijas, ja netiek izpildītas sadarbības līgumā minētās saistības.
31.
Projekta iesniedzējam un sadarbības partnerim noteiktas šādas prasības:
31.1.
ja tas ir ar saimniecisku darbību saistīts projekts un atbalsts tiek sniegts saskaņā ar Komisijas regulu Nr. 651/2014, tas nav grūtībās nonācis saimnieciskās darbības veicējs atbilstoši Komisijas regulas Nr. 651/2014 2. panta 18. punktā noteiktajai definīcijai (nav attiecināms, ja atbalsts tiek sniegts saskaņā ar Komisijas regulu 2023/2831). Projekta iesniedzējam jāapliecina atbilstība Komisijas regulas Nr. 651/2014 2. panta 18. punkta "c" apakšpunktam. Grūtībās nonākuša uzņēmuma pazīmes vērtē individuāli projekta iesniedzējam un sadarbības partnerim, ja projektā tāds paredzēts, un to saistīto personu grupai (ja attiecināms);
31.2.
tam ir laba nodokļu saistību izpilde vai tam Latvijas Republikā nav Valsts ieņēmumu dienesta administrēto nodokļu parādu, tai skaitā valsts sociālās apdrošināšanas obligāto iemaksu parādu, kas kopsummā katram atsevišķi pārsniedz 150 euro;
31.3.
tas sadarbības iestādei, atbildīgajai iestādei vai citai kompetentai institūcijai nav sniedzis nepatiesu informāciju saistībā ar Eiropas Savienības struktūrfondu līdzfinansēto projektu īstenošanu;
31.4.
tas nav saņēmis un neplāno saņemt finansējumu no valsts vai Eiropas Savienības līdzekļiem vai citiem finanšu resursiem par tām pašām attiecināmajām izmaksām vai pētniecības rezultātiem;
31.5.
ja tas ir ar saimniecisku darbību saistīts projekts un atbalsts finansējuma saņēmējam tiek sniegts saskaņā ar Komisijas regulu Nr. 651/2014, uz to neattiecas līdzekļu atgūšanas rīkojums, kas minēts Komisijas regulas Nr. 651/2014 1. panta 4. punkta "a" apakšpunktā, šo nosacījumu vērtējot uzņēmuma grupas līmenī;
31.6.
zinātniskā institūcija atbilstoši zinātnisko darbību reglamentējošiem normatīvajiem aktiem atbildīgajā iestādē (Zinātnisko institūciju reģistrā) ir iesniegusi publiskos pārskatus par zinātnisko darbību par pēdējiem trim noslēgtajiem pārskata gadiem. Ja zinātniskā institūcija ir dibināta mazāk nekā pirms trim gadiem, ir iesniegti publiskie pārskati par noslēgtajiem pārskata gadiem atbilstoši tās reģistrācijai reģistrā;
31.7.
ja labuma guvējs veic gan saimnieciskas darbības, gan darbības, kam nav saimnieciska rakstura, tas nodala darbību veidus un to izmaksas, finansējumu un ieņēmumus tā, lai efektīvi novērstu saimnieciskās darbības šķērssubsidēšanu;
31.8.
projekta īstenošanas laikā nodrošina interešu konflikta neesību saskaņā ar Eiropas Parlamenta un Padomes 2024. gada 23. septembra Regulas (ES, Euratom) Nr. 2024/2509 par finanšu noteikumiem, ko piemēro Savienības vispārējam budžetam (pārstrādāta redakcija), 61. punkta prasībām.
(Grozīts ar MK 17.12.2024. noteikumiem Nr. 868)
III.Atbalstāmās darbības un attiecināmās izmaksas
32.
Projektā atbalstāmās darbības:
32.1.
tehniski ekonomiskā priekšizpēte:
32.1.1.
pirmajā atlases kārtā, ja īsteno šo noteikumu 32.2. apakšpunktā minēto pētniecību;
32.1.2.
otrajā atlases kārtā, ja īsteno šo noteikumu 32.2. apakšpunktā minēto pētniecību, izņemot gadījumu, ja finansējumu ar saimniecisku darbību saistīta projekta īstenošanai piešķir saskaņā ar Komisijas regulas Nr. 651/2014 25. pantu;
32.2.
pētniecība, kas ietver vismaz vienu no šādām pētniecības kategorijām:
32.2.1.
fundamentālie pētījumi šo noteikumu 22. punktā minētajos gadījumos, ja projekta ietvaros tiek īstenoti rūpnieciskie pētījumi. Kopējais publiskais finansējums fundamentālajiem pētījumiem nepārsniedz 20 procentus no projekta kopējām attiecināmajām izmaksām;
32.2.2.
rūpnieciskie pētījumi;
32.2.3.
eksperimentālā izstrāde, ja projekta ietvaros tiek īstenoti rūpnieciskie pētījumi. Kopējais publiskais finansējums eksperimentālajai izstrādei nepārsniedz 20 procentus no projekta kopējām attiecināmajām izmaksām;
32.3.
no šo noteikumu 32.2. apakšpunktā veiktās darbības izrietošo tehnoloģiju tiesību (nemateriālo aktīvu) iegūšana, apstiprināšana un aizstāvēšana (turpmāk – tehnoloģiju tiesību aizsardzība);
32.4.
projekta ietvaros radīto zināšanu izplatīšana mācību, publikāciju vai zinātības un tehnoloģiju pārneses veidā, tai skaitā sabiedrības iesaiste projekta norisēs un informēšana par projekta rezultātiem, kas nav aizsargāti ar intelektuālā īpašuma tiesībām. Minēto darbību izmaksas attiecībā uz projektiem, kas ir saistīti ar saimniecisko darbību, ir attiecināmas, ievērojot šo noteikumu 36. un 51. punkta nosacījumus.
33.
Ar saimniecisko darbību nesaistīta projekta ietvaros plāno šādus izmaksu veidus:
33.1.
tiešās attiecināmās izmaksas, kas ir tieši saistītas ar projekta īstenošanu un nepieciešamas rezultātu sasniegšanai, un šī saistība ir skaidri saprotama un pierādāma;
33.2.
netiešās attiecināmās izmaksas, kas nav tieši saistītas ar projekta rezultātu sasniegšanu, bet atbalsta un nodrošina atbilstošus apstākļus atbalstāmo darbību īstenošanai un rezultātu sasniegšanai. Netiešās attiecināmās izmaksas ir:
33.2.1.
šo noteikumu 35. punktā minētās izmaksas;
33.2.2.
šo noteikumu 32.4. apakšpunktā minēto darbību īstenošanas izmaksas.
(Grozīts ar MK 17.12.2024. noteikumiem Nr. 868)
34.
Ar saimniecisku darbību nesaistītam projektam ir attiecināmas šādas ar pētniecību tieši saistītas izmaksas:
34.1.
atlīdzība zinātniskajiem darbiniekiem, ciktāl tie ir nodarbināti projektā, ja izpildīti šādi nosacījumi:
34.1.1.
zinātniskais darbinieks ir nodarbināts klātienē vai attālināti, ja darba specifika to pieļauj un iespējams pilnvērtīgi veikt darba pienākumus, pie darba devēja, kas attiecīgajā reģistrā reģistrēts Latvijā, un atlīdzību projekta ietvaros saņem atbilstoši darba vai uzņēmuma līgumam;
34.1.2.
(Svītrots)
34.1.3.
(Svītrots)
34.1.4.
ja projekta īstenošanā iesaistītais zinātniskais darbinieks veic arī citus uzdevumus, kas nav saistīti ar projekta īstenošanu, bet par kuru izpildi viņš saņem atlīdzību saskaņā ar pamatdarba līgumu, citu darba līgumu vai uzņēmuma līgumu, zinātniskais darbinieks pēc finansējuma saņēmēja pieprasījuma veic kopējā darba laika un paveiktā darba uzskaiti atbilstoši šo noteikumu 62. punktam. Labuma guvējs nodrošina, ka projekta īstenošanā iesaistītā zinātniskā darbinieka kopējais darba laiks atbilst darba tiesiskās attiecības reglamentējošajiem normatīvajiem aktiem un darbs projektā netiek veikts laikā, kad atbilstoši noslēgtajam līgumam persona veic ar projektu nesaistītus uzdevumus;
34.1.5.
darba līguma vai uzņēmuma līguma ietvaros noteiktie uzdevumi nedublējas ar projektā veicamajiem pienākumiem;
34.1.6.
projekta īstenošanā iesaistītais zinātniskais darbinieks vienlaikus var iesaistīties arī citās Eiropas Savienības kohēzijas politikas programmas 2021.–2027. gadam aktivitātēs, ja veicamie uzdevumi vairāku pasākumu ietvaros nepārklājas un vienlaikus netiek saņemta atlīdzība par vieniem un tiem pašiem uzdevumiem vairāku pasākumu ietvaros, kā arī tiek ievērotas Darba likuma normas attiecībā uz nodarbinātības ierobežojumiem;
34.1.7.
projektā iesaistītā zinātniskā darbinieka atalgojumu aprēķina atbilstoši katra labuma guvēja atalgojuma politikai un atlīdzības likmēm;
34.2.
pētniecības izmaksas, ciktāl tās izmanto pētniecības projekta ietvaros, tai skaitā:
34.2.1.
materiālie aktīvi:
34.2.1.1.
jaunu tehnoloģisko iekārtu iegādes vai izveidošanas izmaksas (tai skaitā uzstādīšanas, montāžas un citas kapitalizējamās izmaksas), ja pamatlīdzekļu izmantošanas laiks saskaņā ar grāmatvedības uzskaiti reglamentējošiem normatīvajiem aktiem projekta ietvaros aptver visu šo pamatlīdzekļu lietderīgās lietošanas laiku;
34.2.1.2.
amortizācijas izmaksas (attiecināms uz projekta ietvaros iegādātajiem un rīcībā esošiem pamatlīdzekļiem, kurus izmanto pētniecībai). Ja pamatlīdzekļu izmantošanas laiks projekta ietvaros neaptver visu šo pamatlīdzekļu lietderīgās lietošanas laiku, par attiecināmajām izmaksām uzskatāmas tikai tās nolietojuma izmaksas, kas atbilst projekta īstenošanas termiņam. Minētās izmaksas aprēķina proporcionāli pamatlīdzekļu izmantošanas laikam un intensitātei saskaņā ar grāmatvedības uzskaiti reglamentējošiem normatīvajiem aktiem, bet nepārsniedzot 20 procentus gadā no pamatlīdzekļa iegādes vērtības. Ja pamatlīdzekļu sākotnējā iegāde tika līdzfinansēta no publiskiem līdzekļiem, pamatlīdzekļu amortizācijas izmaksas ir attiecināmas tikai privātā finansējuma daļai;
34.2.1.3.
nomas maksa, ja noma veikta uz tāda līguma pamata, ar kuru iznomātājs par vienu vai vairākiem nomas maksājumiem nodod nomniekam tiesības lietot aktīvu noteiktu laikposmu, nepārsniedzot projekta īstenošanas termiņu un nenododot visus aktīva īpašuma tiesībām raksturīgos riskus un atlīdzību. Pasākuma ietvaros nav pieļaujams nomas līgums starp viena projekta sadarbības partneriem;
34.2.1.4.
projekta īstenošanai nepieciešamā inventāra, instrumentu un materiālu (tai skaitā fizikālie, bioloģiskie, ķīmiskie un citi materiāli, izmēģinājuma dzīvnieki un augi, reaktīvi, ķimikālijas, laboratorijas trauki, medikamenti, aukstuma aģenti, siltumnesēji, elektronikas komponentes un moduļi, nesējgāzes, eļļas, enerģētiskie materiāli un elektroenerģija, ciktāl to izmanto pētniecībai) iegādes un piegādes izmaksas saskaņā ar iepirkuma procedūru reglamentējošiem normatīvajiem aktiem. Preču un pakalpojumu iegādi veic atklātā, pārredzamā, nediskriminējošā un konkurenci nodrošinošā procedūrā saskaņā ar normatīvajiem aktiem publisko iepirkumu jomā, izvērtējot iespējas iegādēm piemērot sociāli atbildīgu publisko iepirkumu un/vai inovatīvu publisko iepirkumu;
34.2.2.
nemateriālie aktīvi – no ārējiem avotiem iegādātu tehnisko zināšanu, patentu, tehnoloģiju tiesību vai citu intelektuālā īpašuma tiesību licenču iegādes izmaksas, ja darījums ir veikts konkurences apstākļos un nav bijis slepenu norunu. Ja laiks, kas nepieciešams nemateriālo aktīvu izmantošanai pētniecības projektā, pārsniedz nemateriālo aktīvu darbības laiku, par attiecināmajām izmaksām uzskatāmas tikai tās amortizācijas izmaksas, kuras aprēķinātas atbilstoši normatīvajiem aktiem par nolietojuma normām un lietošanas nosacījumiem un saskaņā ar labu grāmatvedības praksi;
34.3.
tehnoloģiju tiesību aizsardzības izmaksas;
34.4.
ārpakalpojumu izmaksas, ja ārpakalpojumu iepirkumu plāno un veic atbilstoši iepirkuma procedūru reglamentējošiem normatīvajiem aktiem, īstenojot atklātu, pārredzamu, nediskriminējošu un konkurenci nodrošinošu procedūru, izvērtējot iespējas iegādēm piemērot sociāli atbildīgu publisko iepirkumu un/vai inovatīvu publisko iepirkumu:
34.4.1.
pētniecības ārpakalpojuma izmaksas;
34.4.2.
pētniecības nodrošināšanas izmaksas (inspicēšanas, testēšanas, sertifikācijas un citas izmaksas, lai nodrošinātu tādus pētījumu datus, kas salīdzināmi ar citās valstīs veiktajiem pētījumiem);
34.5.
šo noteikumu 7.4.1. apakšpunktā minēto zinātnisko rakstu publicēšanas izmaksas;
34.6.
pētniecībā iesaistītā zinātniskā darbinieka komandējumu un darba braucienu izmaksas, kas saistītas ar projekta ietvaros īstenojamo pētniecību, tai skaitā ar sasniegto rezultātu publiskošanu saskaņā ar normatīvajiem aktiem par kārtību, kādā atlīdzināmi ar komandējumiem saistītie izdevumi, ja zinātniskais darbinieks ir nodarbināts Latvijas Republikā. Minētās izmaksas attiecas arī uz tādu projekta zinātnisko vadītāju, kura atlīdzība tiek finansēta no finansējuma saņēmēja paša līdzekļiem kā projekta neattiecināmās izmaksas;
34.7.
pievienotās vērtības nodoklis ir attiecināmās izmaksas, ja tas nav atgūstams atbilstoši normatīvajiem aktiem nodokļu politikas jomā.
35.
Ar saimniecisku darbību nesaistītam projektam šo noteikumu 33.2. apakšpunktā minētās netiešās attiecināmās izmaksas plāno kā vienu izmaksu pozīciju, piemērojot netiešo izmaksu vienoto likmi 25 procentu apmērā no šo noteikumu 34. punktā minēto tiešo attiecināmo izmaksu kopsummas, izņemot tiešās attiecināmās izmaksas saistībā ar apakšuzņēmuma līgumu slēgšanu un izmaksas saistībā ar resursiem, ko nodrošinājušas trešās personas un kas netiek izmantoti finansējuma saņēmēja telpās vai pētījumu objektos, kā arī finansiālu atbalstu trešajām personām (saskaņā ar Eiropas Parlamenta un Padomes 2021. gada 28. aprīļa Regulas Nr. 2021/695, ar ko izveido pētniecības un inovācijas pamatprogrammu "Apvārsnis Eiropa", nosaka tās dalības un rezultātu izplatīšanas noteikumus un atceļ Regulas Nr. 1290/2013 un Nr. 1291/2013, 35. pantu).
36.
Ar saimniecisku darbību saistītā projektā, kurā finansējumu piešķir saskaņā ar Komisijas regulu Nr. 651/2014 vai Komisijas regulu 2023/2831, ir attiecināmas Komisijas regulas Nr. 651/2014 25. panta 3. punkta "a", "b", "d" un "e" apakšpunktā noteiktās pētniecības izmaksu kategorijas un Komisijas regulas Nr. 651/2014 28. panta 2. punkta "a" apakšpunktā noteiktās izmaksas tehnoloģiju tiesību aizsardzībai.
37.
Šo noteikumu 32. punktā minētās darbības ir atbalstāmas un izmaksas ir attiecināmas, ja tās uzsāktas, ievērojot šādus nosacījumus:
37.1.
šo noteikumu 32.1. apakšpunktā minētā darbība veikta, sākot ar konkrētās atklātās projektu iesniegumu atlases kārtas izsludināšanas dienu, ja īsteno ar saimniecisku darbību nesaistītu projektu vai šo noteikumu 3.2. apakšpunktā minētajā gadījumā īsteno ar saimniecisku darbību saistītu projektu, ja atbalsts finansējuma saņēmējam tiek sniegts saskaņā ar Komisijas regulu 2023/2831;
37.2.
šo noteikumu 32.2., 32.3. un 32.4. apakšpunktā minētā darbība veikta pēc projekta iesnieguma iesniegšanas sadarbības iestādē konkrētās atklātās projektu iesniegumu atlases kārtā.
IV.Vispārīgie finansēšanas nosacījumi
38.
Šo noteikumu 23. punktā minētajos gadījumos projekta iesniedzējs un sadarbības partneris (ja attiecināms) neatkarīgi no tā juridiskā statusa (publisko vai privāto tiesību subjekts) vai saimnieciskās darbības veida (peļņu gūstoša vai bezpeļņas institūcija) publiskā finansējuma saņemšanai kvalificējams kā saimnieciskās darbības veicējs atbilstoši Komisijas regulas Nr. 651/2014 2. panta 24. punktā un 1. pielikumā noteiktajai definīcijai.
39.
Līdzfinansējuma apmēra noteikšana:
39.1.
šo noteikumu 22. punktā minētajā gadījumā projekta īstenošanai nepieciešamo minimālo līdzfinansējumu 8,6 procentu apmērā no projekta kopējām attiecināmajām izmaksām nodrošina no projekta iesniedzēja vai sadarbības partnera (ja attiecināms) rīcībā esošiem līdzekļiem:
39.1.1.
no labuma guvēja rīcībā esošā privātā finansējuma no savas saimnieciskās darbības, kredītresursu līdzekļiem, citiem finanšu resursiem vai finansējuma, ko piešķir saskaņā ar normatīvajiem aktiem par kārtību, kādā paredzami valsts budžeta līdzekļi valsts zinātniskās institūcijas pamatdarbību īstenošanai;
39.1.2.
no ieguldījumiem natūrā, kuru vērtību ir iespējams neatkarīgi auditēt un novērtēt atbilstoši vadošās iestādes izstrādātajai metodikai par ieguldījumiem natūrā projektu līdzfinansēšanai 2021.–2027. gada plānošanas periodā un šo noteikumu 40. punktā minētajiem nosacījumiem. Kopējais ieguldījums natūrā nepārsniedz piecus procentus no projekta kopējām attiecināmajām izmaksām. Procentuālā ierobežojuma atbilstību pārbauda un absolūtos skaitļos nosaka sadarbības iestāde, apstiprinot projekta iesniegumu;
39.2.
šo noteikumu 23. punktā minētajos gadījumos projekta īstenošanai nepieciešamo līdzfinansējumu nodrošina no projekta iesniedzēja un sadarbības partnera (ja attiecināms) privātā finansējuma (projekta iesniedzēja un sadarbības partnera (ja attiecināms) rīcībā esošie līdzekļi, kredītresursi vai citi finanšu resursi, par kuriem nav saņemts nekāds publisks atbalsts, tai skaitā finansējums, par kuru nav saņemts nekāds valsts vai pašvaldības galvojums, vai valsts vai pašvaldības kredīts uz atvieglotiem nosacījumiem). Līdzfinansējuma apmēru nosaka, ņemot vērā publiskā finansējuma apmēru, kas noteikts, ievērojot šo noteikumu 42.48., 48.1, 49. punktā un 1. pielikumā minētos nosacījumus;
39.3.
sadarbības projekta ietvaros šo noteikumu 22.2. un 23.3. apakšpunktā minētajā gadījumā, ja sadarbības partneris ir ārvalsts zinātniskā institūcija, kas nav reģistrēta Latvijas zinātnisko institūciju reģistrā, vai nav Latvijas Komercreģistrā reģistrēta juridiska persona, sadarbības partnera projekta daļas īstenošanai nepieciešamo finansējumu nodrošina no sadarbības partnera rīcībā esošajiem līdzekļiem.
(MK 17.12.2024. noteikumu Nr. 868 redakcijā)
40.
Ja īsteno šo noteikumu 22. punktā minēto projektu, ieguldījumus natūrā, par kuriem nav saņemts publisks atbalsts un kuru vērtību ir iespējams neatkarīgi auditēt un novērtēt atbilstoši šādiem nosacījumiem, var veidot:
40.1.
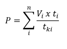
pamatlīdzekļi – tehnoloģiskās iekārtas (iekārtas, mēraparatūra, regulēšanas ierīces, laboratoriju un medicīnas iekārtas) un transportlīdzekļi, kuru kopējo lietošanas vērtību aprēķina, ņemot vērā katra projekta iesnieguma ietvaros izmantotā pamatlīdzekļa minimālo vērtību (vidējās vienas darba dienas lietošanas izmaksas visā pamatlīdzekļa lietderīgās lietošanas periodā) un laiku, kādā pamatlīdzekli plānots izmantot projekta iesniegumā paredzēto darbību veikšanai. Kopējo pamatlīdzekļu lietošanas vērtību nosaka, izmantojot šādu formulu:, kur
P – kopējā pamatlīdzekļu lietošanas vērtība, euro;
Vi – i-tā pamatlīdzekļa sākotnējā vērtība (iegādes izmaksas vai ražošanas pašizmaksa), euro;
i – pamatlīdzekļa variante (i = 1, 2, .., n; n – pamatlīdzekļu skaits);
ti – laiks, kādā pamatlīdzekli plānots izmantot projektā paredzēto darbību veikšanai, darbdienās;
tki – kopējais pamatlīdzekļa lietderīgās lietošanas laiks, darbdienās;
40.2.
piešķirtie materiāli (fizikālie, bioloģiskie, ķīmiskie un citi materiāli, izmēģinājuma dzīvnieki, reaktīvi, ķimikālijas, laboratorijas trauki, medikamenti pētniecībai, zemes platības, elektronikas komponentes un moduļi), kuru vērtību aprēķina proporcionāli projekta iesnieguma ietvaros patērētajam materiālu daudzumam un materiālu tirgus cenai;
40.3.
projekta iesnieguma ietvaros ar pētniecību saistīts profesionāla rakstura darbs:
40.3.1.
kuru veic zinātniskais personāls vai zinātnes tehniskais personāls;
40.3.2.
ja tiek veikts pētniecības vai profesionālais darbs bez atlīdzības un to veic šo noteikumu 40.3.1. apakšpunktā minētais personāls, ar kuru noslēgts līgums vai vienošanās par konkrētu darbu veikšanu vai pakalpojumu sniegšanu projekta ietvaros, nesaņemot par to atlīdzību;
40.3.3.
kura vērtību nosaka, ņemot vērā pētniecībai patērēto laiku un šo noteikumu 34.1.7. apakšpunktā noteiktos atalgojuma un darba algas aprēķina principus.
41.
Šo noteikumu 23. punktā minētajos gadījumos:
41.1.
atbalstu sniedz pārredzamu atbalsta kategoriju veidā (dotācija);
41.2.
ja atbalsts finansējuma saņēmējam tiek sniegts saskaņā ar Komisijas regulu Nr. 651/2014, darbības var uzsākt no brīža, kad labuma guvējs ir iesniedzis sadarbības iestādei iesniegumu par projekta īstenošanu, ievērojot Komisijas regulas Nr. 651/2014 6. panta 2. punktā minētos nosacījumus par stimulējošo ietekmi un 2. panta 23. punktā minēto darbu sākuma definīciju. Ja darbi pie projekta uzsākti pirms projekta iesniegšanas atbalsta sniedzējam, viss projekts ir noraidāms;
41.3.
atbalstu piešķir ar dienu, kad tiek pieņemts sadarbības iestādes lēmums par atbalsta piešķiršanu.
42.
Publiskā finansējuma apmēra un vidējās svērtās publiskā finansējuma atbalsta intensitātes noteikšana šo noteikumu 23. punktā minētajos gadījumos, ja atbalsts finansējuma saņēmējam tiek sniegts saskaņā ar Komisijas regulu Nr. 651/2014:
42.1.
atbalstāmajai darbībai pieļaujamais publiskā finansējuma apmērs:
42.1.1.
katrai šo noteikumu 32.1. un 32.2. apakšpunktā minētajai pētniecības kategorijai pieļaujamo publiskā finansējuma apmēru nosaka atsevišķi atbilstoši šo noteikumu 47. un 48. punktā minētajiem nosacījumiem;
42.1.2.
šo noteikumu 32.3. apakšpunktā minētajai tehnoloģiju tiesību aizsardzības darbībai pieļaujamo publiskā finansējuma apmēru nosaka atbilstoši šo noteikumu 52. punktā minētajiem nosacījumiem;
42.2.
projekta un labuma guvēja projekta daļas publiskā finansējuma apmēru nosaka, ņemot vērā projekta kopējās attiecināmās izmaksas un katram labuma guvējam pieļaujamo vidējo svērto publiskā finansējuma intensitāti, kas aprēķināta atbilstoši šo noteikumu 42., 47.48.52. punktā un 1. pielikumā minētajiem nosacījumiem.
V.Finansēšanas nosacījumi pētniecībai
43.
Pasākuma ietvaros, īstenojot ar saimniecisku darbību nesaistītus projektus, finansē tāda jauna produkta vai tehnoloģijas prototipa vai cita eksperimentālā objekta izstrādi, kurš tiks izmantots turpmākos pētījumos, bet nebūs tieši izmantojams ieņēmumu gūšanai, to pārdodot vai izmantojot ražošanā vai pakalpojumu sniegšanā. Ja tiek gūti ieņēmumi no prototipu vai citu eksperimentālo objektu komerciālas izmantošanas, projekta iesniedzējam vai sadarbības partnerim ir pienākums atmaksāt sadarbības iestādei projekta ietvaros saņemto nelikumīgo komercdarbības atbalstu kopā ar procentiem no līdzekļiem, kas ir brīvi no komercdarbības atbalsta, atbilstoši Komercdarbības atbalsta kontroles likuma IV vai V nodaļas nosacījumiem.
44.
Ar saimniecisku darbību nesaistītos projektos izstrādāto produktu, procesu vai pakalpojumu eksperimentālu ražošanu vai testēšanu ražošanas apstākļos finansē tikai tad, ja tas nepieciešams pētniecības rezultātu apstiprināšanai un pārbaudei un tos tieši vai pārveidojot neizmantos ieņēmumu gūšanai, pārdodot vai izmantojot ražošanā vai pakalpojumu sniegšanā.
45.
Pasākuma ietvaros finansē jauna produkta vai tehnoloģijas izstrādes darbības pakalpojumu nozarē, ja tās atbilst vismaz vienam no šādiem nosacījumiem:
45.1.
jaunu produktu vai tehnoloģiju izstrādā sadarbībā ar pētniecības organizāciju;
45.2.
doktori, zinātniskā grāda pretendenti vai doktorantūras studenti nodarbināti kā personāls;
45.3.
pētījumu rezultātus publicē zinātniskos žurnālos vai izplata zinātniskās konferencēs.
46.
Pasākuma ietvaros finansē šādas jauna produkta vai tehnoloģijas izstrādes darbības informācijas tehnoloģiju jomā:
46.1.
pētniecība, lai izstrādātu jaunas teorētiskās datorzinātnes teorēmas un algoritmus;
46.2.
informācijas tehnoloģiju izstrāde operētājsistēmu, programmēšanas valodu, datu vadības, komunikāciju programmatūras un programmatūras izstrādes rīku līmenī;
46.3.
interneta tehnoloģijas (interneta iespējas pārsūtīt informāciju un datus ar dažādu serveru un sistēmu starpniecību) izstrāde;
46.4.
programmatūras projektēšanas, izstrādes, izvēršanas vai uzturēšanas metožu pētniecība;
46.5.
programmatūras izstrāde, kas uzlabo informācijas ieguvi un pārraidi no datu glabāšanas sistēmām, informācijas glabāšanu, kā arī izmantošanas un attēlošanas vispārīgās metodes;
46.6.
eksperimentālas izstrādnes, lai iegūtu trūkstošās tehnoloģiskās zināšanas, kas nepieciešamas programmatūru vai sistēmu izstrādei;
46.7.
programmatūras rīku vai tehnoloģiju pētniecība un attīstība specializētās datorzinātnes jomās (attēlu apstrāde, ģeogrāfisko datu attēlojums, teksta atpazīšana, mākslīgais intelekts un citas jomas).
47.
Ja publiskais finansējums tiek piešķirts atbilstoši Komisijas regulas Nr. 651/2014 25. panta 5. un 6. punkta nosacījumiem, pieļaujamā publiskā finansējuma intensitāte pētniecībai šo noteikumu 23. punktā minētajos gadījumos ir šāda:
47.1.
(svītrots ar MK 17.12.2024. noteikumiem Nr. 868);
47.2.
pirmajā atlases kārtā – tehniski ekonomiskās priekšizpētes veikšanai:
47.2.1.
70 procenti projekta iesniedzējam un labuma guvējam, kas atbilst sīkā (mikro) vai mazā saimnieciskās darbības veicēja definīcijai;
47.2.2.
60 procenti projekta iesniedzējam un labuma guvējam, kas atbilst vidējā saimnieciskās darbības veicēja definīcijai;
47.2.3.
50 procenti projekta iesniedzējam un labuma guvējam, kas atbilst lielā saimnieciskās darbības veicēja definīcijai;
47.3.
pirmajā un otrajā projektu iesniegumu atlases kārtā – rūpniecisko pētījumu veikšanai:
47.3.1.
70 procenti projekta iesniedzējam un labuma guvējam, kas atbilst sīkā (mikro) vai mazā saimnieciskās darbības veicēja definīcijai;
47.3.2.
60 procenti projekta iesniedzējam un labuma guvējam, kas atbilst vidējā saimnieciskās darbības veicēja definīcijai;
47.3.3.
50 procenti projekta iesniedzējam un labuma guvējam, kas atbilst lielā saimnieciskās darbības veicēja definīcijai;
47.4.
pirmajā un otrajā projektu iesniegumu atlases kārtā – eksperimentālās izstrādes veikšanai:
47.4.1.
45 procenti projekta iesniedzējam un labuma guvējam, kas atbilst sīkā (mikro) vai mazā saimnieciskās darbības veicēja definīcijai;
47.4.2.
35 procenti projekta iesniedzējam un labuma guvējam, kas atbilst vidējā saimnieciskās darbības veicēja definīcijai;
47.4.3.
25 procenti projekta iesniedzējam un labuma guvējam, kas atbilst lielā saimnieciskās darbības veicēja definīcijai.
48.
Šo noteikumu 47.3. un 47.4. apakšpunktā minēto publiskā finansējuma intensitāti var palielināt par 15 procentiem, nepārsniedzot 80 procentus no projekta kopējām attiecināmajām izmaksām, ja ir izpildīts vismaz viens no Komisijas regulas Nr. 651/2014 25. panta 6. punkta "b" apakšpunkta nosacījumiem.
48.1
Pieļaujamā atbalsta intensitāte pētniecībai šo noteikumu 23. punktā minētajos gadījumos, ja komercdarbības atbalsts tiek piešķirts saskaņā ar Komisijas regulu 2023/2831, ir 85 procenti no projekta kopējām attiecināmajām izmaksām.
48.2
Ja publiskais finansējums projekta iesniedzējam un sadarbības partnerim tiek piešķirts de minimis atbalsta veidā saskaņā ar Komisijas regulu 2023/2831, tad:
48.21.
sadarbības iestāde pirms de minimis atbalsta piešķiršanas pārbauda, vai plānotais projekta iesniedzēja un sadarbības partnera de minimis atbalsts kopā ar iepriekšējos trijos gados no atbalsta piešķiršanas dienas piešķirto de minimis atbalstu viena vienota uzņēmuma līmenī nepārsniedz Komisijas regulas 2023/2831 3. panta 2. punktā noteikto maksimālo de minimis atbalsta apmēru. Viens vienots uzņēmums ir uzņēmums, kas atbilst Komisijas regulas 2023/2831 2. panta 2. punktā minētajiem kritērijiem;
48.22.
de minimis atbalstu saskaņā ar Komisijas regulu 2023/2831 piešķir, ievērojot Komisijas regulas 2023/2831 1. panta 1. punktā minētos nozaru un darbību ierobežojumus. Ja atbalsta pretendents vienlaikus darbojas vienā vai vairākās Komisijas regulas 2023/2831 1. panta 1. punkta "a", "b", "c" un "d" apakšpunktā minētajās nozarēs, atbalstu drīkst piešķirt tikai tad, ja atbalsta pretendents nodrošina šo nozaru darbību vai uzskaites nodalīšanu, lai saskaņā ar Komisijas regulas 2023/2831 1. panta 2. punktu darbības izslēgtajās nozarēs negūst labumu no de minimis atbalsta, ko piešķir saskaņā ar šiem noteikumiem;
48.23.
netiek pieļauta kumulācija par vienām un tām pašām attiecināmajām izmaksām.
48.3
Atbalstu, kas pasākuma ietvaros sniegts saskaņā ar Komisijas regulas Nr. 651/2014 25. pantu, var apvienot ar citā valsts atbalsta programmā vai ad-hoc lēmumā sniegto atbalstu dažādām nosakāmām vai vienām un tām pašām attiecināmajām izmaksām, tai skaitā var apvienot ar citā valsts atbalsta programmā vai ad-hoc lēmumā sniegto de minimis atbalstu, nepārsniedzot maksimāli pieļaujamo atbalsta finansējuma intensitāti saskaņā ar Komisijas regulas Nr. 651/2014 25. panta 5., 6. un 7. punktu. Ja par vienām un tām pašām projekta attiecināmajām izmaksām tiek piešķirts atbalsts vairāku komercdarbības atbalsta programmu ietvaros, projekta iesniedzējs iesniedz informāciju par plānoto un piešķirto atbalstu, tai skaitā par tām pašām attiecināmajām izmaksām, norādot atbalsta piešķiršanas datumu (tai skaitā plānoto atbalsta piešķiršanas datumu), atbalsta intensitāti, atbalsta sniedzēju, atbalsta pasākumu vai investīciju un plānoto vai piešķirto atbalsta summu.
49.
Ja ar saimniecisku darbību saistītā projektā tiek pārkāptas Komisijas regulas Nr. 651/2014 vai Komisijas regulas 2023/2831 prasības vai ja, īstenojot ar saimniecisku darbību nesaistītu projektu, tiek secināts, ka tas ir ar saimniecisku darbību saistīts projekts, finansējuma saņēmējam un sadarbības partnerim (labuma guvējam) ir pienākums sadarbības iestādei atmaksāt projekta ietvaros saņemto nelikumīgo komercdarbības atbalstu saskaņā ar Komercdarbības atbalsta kontroles likuma IV vai V nodaļu kopā ar procentiem no līdzekļiem, kas brīvi no valsts atbalsta.
VI.Finansēšanas nosacījumi tehnoloģiju tiesību aizsardzībai
50.
Projekta ietvaros var saņemt finansējumu šo noteikumu 32.3. apakšpunktā minēto tehnoloģiju tiesību aizsardzībai. Finansējumu tehnoloģiju tiesību aizsardzībai var saņemt labuma guvējs, kas:
50.1.
pirmajā atlases kārtā atbilst sīkā (mikro), mazā vai vidējā saimnieciskās darbības veicēja definīcijai, ja tas īsteno ar saimniecisku darbību saistītu projektu;
50.1.1
pirmajā atlases kārtā īsteno ar saimniecisku darbību nesaistītu projektu;
50.2.
otrajā atlases kārtā ir zinātniskā institūcija, kas īsteno ar saimniecisku darbību nesaistītu projektu, vai zinātniskā institūcija, kas atbilst sīkā (mikro), mazā vai vidējā saimnieciskās darbības veicēja definīcijai un īsteno ar saimniecisku darbību saistītu projektu.
51.
Tehnoloģiju tiesību aizsardzībai labuma guvējam, kas atbilst šo noteikumu 50.1. un 50.2. apakšpunktam, ja tiek īstenots ar saimniecisku darbību saistīts projekts, ir attiecināmas Komisijas regulas Nr. 651/2014 28. panta 2. punkta "a" apakšpunktā minētās izmaksas.
52.
Publiskā finansējuma atbalsta intensitāte tehnoloģiju tiesību aizsardzībai ir šāda:
52.1.
91,4 procenti šo noteikumu 22. punktā minētajos gadījumos;
52.2.
50 procenti ar saimniecisku darbību saistīta projekta iesnieguma iesniedzējam, kas atbilst sīkā (mikro), mazā vai vidējā komersanta definīcijai atbilstoši Komisijas regulas Nr. 651/2014 28. panta 2. punktam.
52.1
Atbalstu, kas pasākuma ietvaros sniegts saskaņā ar Komisijas regulas Nr. 651/2014 28. pantu, var apvienot ar citā valsts atbalsta programmā vai ad-hoc lēmumā sniegto atbalstu dažādām nosakāmām vai vienām un tām pašām attiecināmajām izmaksām, tai skaitā var apvienot ar citā valsts atbalsta programmā vai ad-hoc lēmumā sniegto de minimis atbalstu, nepārsniedzot maksimāli pieļaujamo atbalsta finansējuma intensitāti saskaņā ar Komisijas regulas Nr. 651/2014 28. panta 2. punktu. Ja par vienām un tām pašām projekta attiecināmajām izmaksām tiek piešķirts atbalsts vairāku komercdarbības atbalsta programmu ietvaros, projekta iesniedzējs iesniedz informāciju par plānoto un piešķirto atbalstu, tai skaitā par tām pašām attiecināmajām izmaksām, norādot atbalsta piešķiršanas datumu (tai skaitā plānoto atbalsta piešķiršanas datumu), atbalsta intensitāti, atbalsta sniedzēju, atbalsta pasākumu vai investīciju un plānoto vai piešķirto atbalsta summu.
52.2
Ja ar saimniecisku darbību saistītā projektā tiek pārkāptas Komisijas regulas Nr. 651/2014 vai Komisijas regulas 2023/2831 prasības vai ja, īstenojot ar saimniecisku darbību nesaistītu projektu, tiek secināts, ka tas ir ar saimniecisku darbību saistīts projekts, finansējuma saņēmējam un sadarbības partnerim (labuma guvējam) ir pienākums sadarbības iestādei atmaksāt projekta ietvaros saņemto nelikumīgo komercdarbības atbalstu saskaņā ar Komercdarbības atbalsta kontroles likuma IV vai V nodaļu kopā ar procentiem no līdzekļiem, kas brīvi no valsts atbalsta.
53.
Ja projekts ir ar saimniecisku darbību nesaistīts, labuma guvējs – pētniecības organizācija – projekta īstenošanas periodā un pēc noslēguma maksājuma, veicot tehnoloģiju tiesību komercializāciju, ievēro normatīvos aktus, kas regulē tehnoloģisko tiesību komercializācijas nosacījumus.
VII.Projekta atlases un īstenošanas vispārīgie nosacījumi
54.
Sadarbības iestāde projektu iesniegumu atlasē starptautisko zinātnisko ekspertīzi nodrošina sadarbībā ar Latvijas Zinātnes padomi.
54.1
Otrās atlases kārtas projektu iesniegumu vērtēšanas komisijas darbā bez balsstiesībām sadarbības iestāde kā ārējos ekspertus iesaista Aizsardzības ministrijas un Iekšlietu ministrijas deleģētus pārstāvjus, kas, ievērojot projektu iesniegumu vērtēšanas kritēriju piemērošanas metodiku, sniedz atzinumu par projektā paredzētā izstrādātā jaunā vai būtiski uzlabotā divējāda lietojuma produkta vai tehnoloģijas atbilstību civilajai un aizsardzības jomai vai civilajai un sabiedrības drošības vai noturības jomai (ja attiecināms).
55.
Lai nodrošinātu neatkarīgu projektu īstenošanu un novērstu iespējamo interešu konfliktu, katra projekta iesnieguma izvērtēšanā, kā arī vidusposma un gala rezultātu zinātniskās kvalitātes izvērtēšanā Latvijas Zinātnes padome iesaista ne mazāk kā divus ārvalstu ekspertus. Iesaistot ārvalstu ekspertus, ievēro šādus nosacījumus:
55.1.
ārvalstu ekspertam ir zinātnes doktora grāds;
55.2.
ārvalstu eksperta zinātniskā kvalifikācija atbilst konkrētā projekta iesnieguma zinātnes nozarei un tematikai;
55.3.
ārvalstu eksperta līdzšinējā vērtēšanas kompetence un darba pieredze atbilst konkrētā projekta iesnieguma zinātnes nozarei un tematikai;
55.4.
ārvalstu eksperts vērtējumu veic neatkarīgi un nepārstāv projekta iesnieguma iesniedzēja institūciju, viņa darbībā nav tādu apstākļu, kas izraisa interešu konfliktu, tai skaitā nerada un neradīs ārvalstu ekspertam personisku vai mantisku ieinteresētību.
55.1
Lai nodrošinātu neatkarīgu projektu iesniegumu izvērtēšanu un novērstu iespējamo interešu konfliktu, Aizsardzības ministrija un Iekšlietu ministrija, deleģējot ekspertus darbam projektu iesniegumu vērtēšanas komisijā, ievēro šādus nosacījumus:
55.11.
eksperta kvalifikācija atbilst konkrētā projekta iesnieguma nozarei un tematikai;
55.12.
eksperta līdzšinējā vērtēšanas kompetence un darba pieredze atbilst konkrētā projekta iesnieguma nozarei un tematikai;
55.13.
eksperts vērtējumu veic neatkarīgi un nepārstāv projekta iesnieguma iesniedzēja institūciju, viņa darbībā nav tādu apstākļu, kas izraisa interešu konfliktu, tai skaitā nerada un neradīs ekspertam personisku vai mantisku ieinteresētību.
56.
Īstenojot projektu iesniegumu starptautisko ekspertīzi, Latvijas Zinātnes padome nodrošina, ka, izvērtējot projektu iesniegumus un to vidusposma un gala rezultātus, tiek izstrādāta kārtība, kādā projektu iesniegumu izvērtēšanas procesā tiks nodrošināta konfidencialitātes un interešu konflikta novēršanas prasību ievērošana, identificēti apstākļi, kuri izraisa vai var izraisīt interešu konfliktu, kas rada apdraudējumu vai kaitējumu projekta īstenošanai, noteikti veicamie pasākumi un izstrādāti darbības plāni interešu konflikta preventīvai novēršanai un gadījumiem, kad interešu konflikts ir atklāts, kā arī, īstenojot projektu, paraksta apliecinājumu par interešu konflikta neesību. Latvijas Zinātnes padome pārliecinās, ka ārvalstu ekspertu atlasē iesaistītie Latvijas Zinātnes padomes darbinieki un ārvalstu eksperti ir iepazinušies ar attiecīgo kārtību un parakstījuši apliecinājumu par interešu konflikta neesību.
57.
Projekta ietvaros nav atbalstāmas darbības, kas noteiktas Komisijas regulas Nr. 651/2014 1. panta 2. punkta "c" un "d" apakšpunktā un 1. panta 3. punkta "c" un "d" apakšpunktā.
58.
Finansējuma saņēmējs saņem finansējumu, ja nodrošina šādu nosacījumu izpildi:
58.1.
maksājumu (tai skaitā avansa maksājumu) saņemšanai un maksājumu veikšanai finansējuma saņēmējs Valsts kasē vai kredītiestādē atver atsevišķu kontu, kurā veic un saņem visus ar projekta īstenošanu saistītos maksājumus;
58.2.
nodrošina projekta īstenošanas finanšu plūsmas skaidru nodalīšanu no citām finansējuma saņēmēja un labuma guvēja darbības finanšu plūsmām projekta īstenošanas laikā;
58.3.
īstenojot projektu, nodrošina atsevišķu ar projekta īstenošanu saistīto saimniecisko darījumu ieņēmumu un izdevumu grāmatvedības uzskaiti, kā arī darbību un ar to īstenošanu saistīto finanšu plūsmu nodalīšanu atbilstoši normatīvajiem aktiem par kārtību, kādā finanšu pārskatos atspoguļojams valsts, pašvaldību, ārvalstu, Eiropas Savienības, citu starptautisko organizāciju un institūciju finansiālais atbalsts (finanšu palīdzība), ziedojumi un dāvinājumi naudā vai natūrā;
58.4.
projekta īstenošanas vieta ir Latvijas Republikas teritorija.
59.
Pasākuma ietvaros finansē tikai tādas attiecināmās izmaksas, kuras ir tieši saistītas ar projekta ietvaros veiktajām darbībām, ir samērīgas, pamatotas un atbilst Eiropas Parlamenta un Padomes 2024. gada 23. septembra Regulas (ES, Euratom) Nr. 2024/2509 par finanšu noteikumiem, ko piemēro Savienības vispārējam budžetam (pārstrādāta redakcija), prasībām.
(MK 17.12.2024. noteikumu Nr. 868 redakcijā)
60.
(Svītrots ar MK 17.12.2024. noteikumiem Nr. 868)
61.
Finansējuma saņēmējs šo noteikumu 22. vai 23. punktā minētā projekta īstenošanas laikā var saņemt avansa maksājumu, kuru var izmaksāt pa daļām. Avansa maksājums nepārsniedz 30 procentus no projektam piešķirtā publiskā finansējuma kopsummas. Pēc tam kad noslēgts līgums par projekta īstenošanu, sadarbības iestāde, pamatojoties uz finansējuma saņēmēja vadības sistēmā iesniegtu avansa pieprasījumu, nodrošina finansējuma saņēmējam avansa maksājumu atbilstoši normatīvajiem aktiem par valsts budžeta līdzekļu plānošanu Eiropas Savienības fondu īstenošanai un maksājumu veikšanu 2021.–2027. gada plānošanas periodā.
62.
Lai nodrošinātu šo noteikumu 42.47.48. punktā un 34.1.7. un 52.2. apakšpunktā noteikto nosacījumu izpildi un novērstu dubultā finansējuma risku, finansējuma saņēmējs un sadarbības partneris nodrošina projektā iesaistīto zinātnisko darbinieku kopējā darba laika un paveiktā darba uzskaiti atbilstoši resursu vadības sistēmai finanšu, personāla un pamatdarbības procesu uzskaitei institūcijā, ievērojot šādus darba laika uzskaites nosacījumus:
62.1.
darba laika uzskaiti veic par katru uz darba līguma vai uzņēmuma līguma pamata projekta ietvaros nodarbināto zinātnisko darbinieku atbilstoši nodarbinātā zinātniskā darbinieka faktiski nostrādātajam darba laikam;
62.2.
darba laika uzskaitē ietver informāciju par visiem projektā iesaistītā zinātniskā darbinieka veicamajiem uzdevumiem, tai skaitā par uzdevumiem labuma guvēja institūcijā;
62.3.
katrai ar pētniecību saistītajai darbībai norāda tieši saistīto pētniecības kategoriju.
63.
Finansējuma saņēmējs un sadarbības partneris nodrošina, ka atbalstāmo darbību īstenošanu un iepirkumu veikšanu uzsāk pirmajā ceturksnī pēc tam, kad noslēgts līgums vai vienošanās par projekta īstenošanu. Maksājumu veikšanu atbalstāmo darbību un attiecināmo izdevumu ietvaros uzsāk pirmajā pusgadā pēc tam, kad noslēgts līgums vai vienošanās par projekta īstenošanu.
64.
Īstenojot projektu, finansējuma saņēmējs un sadarbības partneris nodrošina komunikācijas un vizuālās identitātes nosacījumu ievērošanu atbilstoši Padomes regulas Nr. 2021/1060 47. un 50. pantam un normatīvajiem aktiem, kas nosaka kārtību, kādā Eiropas Savienības fondu vadībā iesaistītās institūcijas nodrošina šo fondu ieviešanu 2021.–2027. gada plānošanas periodā.
65.
Finansējuma saņēmējs savā tīmekļvietnē ne retāk kā reizi trijos mēnešos ievieto aktuālu informāciju par projekta īstenošanu.
66.
Finansējuma saņēmējs vadības sistēmā uzkrāj datus par horizontālā principa "Vienlīdzība, iekļaušana, nediskriminācija un pamattiesību ievērošana" rādītāju "Sieviešu skaits atbalsta saņēmēju vidū".
67.
Šo noteikumu 23. punktā minētajos gadījumos finansējuma saņēmējs sadarbības iestādē iesniedz:
67.1.
starpposma maksājuma pieprasījumu, kas sagatavots, katrai izdevumu pozīcijai piemērojot projektam atbilstošo vidējo svērto publiskā finansējuma intensitāti;
67.2.
noslēguma maksājuma pieprasījumu un:
67.2.1.
pārrēķina projektam un katram labuma guvējam (ja attiecināms) pieļaujamo vidējo svērto publiskā finansējuma intensitāti un pieļaujamā publiskā finansējuma apmēru (turpmāk – pārrēķins) atbilstoši šo noteikumu 42.47.48., 48.1 punktā52.2. apakšpunktā un 1. pielikumā minētajiem nosacījumiem, ņemot vērā faktisko projekta izdevumu sadalījumu pa katra labuma guvēja (ja attiecināms) projekta daļas ietvaros atbalstāmajām darbībām un pētniecības kategorijām;
67.2.2.
saskaņošanai pievieno šo noteikumu 67.2.1. apakšpunktā minēto pārrēķinu un projekta grozījumu iesniegumu, kas paredz publiskā finansējuma korekciju, kuru pamato pārrēķins, ja projekta īstenošanas laikā veiktas tādas izmaksu sadalījuma izmaiņas pa šo noteikumu 32. punktā minētajām darbībām un šo noteikumu 47. un 51. punktā minētajām attiecināmajām izmaksām, kas saskaņā ar pārrēķinu samazina projektam pieļaujamo publiskā finansējuma intensitāti.
68.
Pēc šo noteikumu 67.2. apakšpunktā minētā noslēguma maksājuma pieprasījuma saņemšanas sadarbības iestāde pārbauda pārrēķinā izmantotos datus un rezultātu, ievērojot šo noteikumu 42.47. punktā52.2. apakšpunktā un 1. pielikumā minētos nosacījumus. Finansējuma saņēmējam sniedz informāciju par pārbaudes rezultātiem.
69.
Ja projekta īstenošanas laikā rodas neattiecināmie izdevumi, sadārdzinās izmaksas vai šo noteikumu 67.2.1. apakšpunktā minētā pārrēķina rezultātā tiek pārsniegts sākotnēji piešķirtais publiskā finansējuma apmērs, finansējuma saņēmējs to sedz no saviem līdzekļiem. Labuma guvējs nodrošina, ka ar saimniecisku darbību saistītiem projektiem netiek pārsniegts projekta kopējais piešķirtais finansējuma apmērs un tiek ievērota šo noteikumu 47., 48., 48.1 punktā un 52.2. apakšpunktā minētā atbalsta intensitāte.
70.
Projektu īstenošanas uzraudzībai Izglītības un zinātnes ministrija vai tās deleģēta iestāde kopīgi ar sadarbības iestādi nodrošina projektu vidusposma un gala rezultātu zinātniskās kvalitātes izvērtējumu. Vidusposma zinātniskās kvalitātes izvērtējumu neveic projektiem, kuru darbību īstenošanas termiņš nepārsniedz 12 mēnešus. Darbību īstenošanas termiņu nosaka, ievērojot šo noteikumu 37. punktā minētos atbalstāmo darbību uzsākšanas nosacījumus. Projektu vidusposma un gala rezultātu zinātniskās kvalitātes izvērtējumu veic, ievērojot šādus nosacījumus:
70.1.
izvērtējumus veic zinātnisko ekspertu datubāzē iekļautie eksperti, kurus atbilstoši šo noteikumu 54. punktam sadarbības iestāde nodrošina kopīgi ar Latvijas Zinātnes padomi;
70.2.
sadarbības iestāde izstrādā un ar Izglītības un zinātnes ministriju saskaņo izvērtējumu standartformas. Projektiem, kuri tiek īstenoti 24 mēnešus vai ilgāk, vidusposma izvērtējums tiek paredzēts ne vēlāk kā 12 mēnešus pirms projekta īstenošanas termiņa beigām. Projektiem, kuri tiek īstenoti 13 mēnešus vai ilgāk, bet nepārsniedzot 23 mēnešus, vidusposma izvērtējums tiek paredzēts samērīgi projekta vidusposmā. Eksperti izvērtē, kā projekta izpildes progress saskan ar plānoto, un, ja nepieciešams, sniedz ierosinājumus darba plāna koriģēšanai, bet gala rezultātu izvērtējumā – izvērtē un pamato, cik lielā mērā pētniecības pieteikumu plānotie rezultāti ir sasniegti (novērtējumu izsakot arī procentos);
70.3.
sadarbības iestāde un finansējuma saņēmējs iepazīstas ar vidusposma rezultātu izvērtējuma secinājumiem un ieteikumiem un, ja nepieciešams, vienojas par grozījumiem projekta darba plānā. Ja vidusposma rezultātu izvērtējums ir negatīvs, sadarbības iestāde sasauc starpinstitūciju sanāksmi ar Izglītības un zinātnes ministriju, atbildīgo iestādi un finansējuma saņēmēju. Starpinstitūciju sanāksmes dalībnieki iepazīstas ar šo noteikumu 70.1. apakšpunktā minēto zinātnisko ekspertu atzinumiem un vienojas par grozījumiem projekta darba plānā vai nepieciešamību lauzt līgumu vai vienošanos par projekta īstenošanu;
70.4.
gala rezultātu zinātniskās kvalitātes izvērtējumu sadarbības iestāde izmanto lēmuma pieņemšanā par projekta mērķa un plānoto rezultātu sasniegšanu. Pamatojoties uz gala izvērtējumu par projektā plānoto rezultātu sasniegšanas līmeni, sadarbības iestāde pieņem lēmumu par finanšu korekcijas piemērošanu saskaņā ar vadošās iestādes izstrādātajām vadlīnijām par finanšu korekciju piemērošanu. Par minēto lēmumu sadarbības iestāde informē atbildīgo iestādi.
71.
Labuma guvējs kapitalizē pētniecības izmaksas un veido nemateriālos aktīvus visos gadījumos, kad to pieļauj 38. Starptautiskais grāmatvedības standarts "Nemateriālie aktīvi", kurš apstiprināts ar Eiropas Komisijas 2008. gada 3. novembra Regulu Nr. 1126/2008, ar ko pieņem vairākus starptautiskos grāmatvedības standartus saskaņā ar Eiropas Parlamenta un Padomes Regulu Nr. 1606/2002.
72.
Lēmumu par publiskā finansējuma piešķiršanu ar saimniecisku darbību saistītiem projektiem pieņem līdz Komisijas regulas Nr. 651/2014 58. panta 4. punktā un 59. pantā noteiktajam termiņam. Lēmumu par de minimis atbalsta piešķiršanu var pieņemt saskaņā ar Komisijas regulas 2023/2831 7. panta 3. punktu un 8. pantu. Lēmuma pieņemšanas diena ir uzskatāma par komercdarbības atbalsta piešķiršanas brīdi.
73.
Projektu īsteno 36 mēnešu laikā no projekta uzsākšanas datuma, bet ne ilgāk kā līdz 2029. gada 30. septembrim.
74.
Finansējuma saņēmējs savā tīmekļvietnē publicē informāciju atbilstoši Padomes regulas Nr. 2021/1060 50. pantam.
75.
Ja atbalsts sniegts saskaņā ar Komisijas regulu Nr. 651/2014, atbalsta sniedzējs nodrošina informācijas pieejamību 10 gadus, skaitot no dienas, kad piešķirts pēdējais atbalsts saskaņā ar atbalsta shēmu. Finansējuma saņēmējs un tā sadarbības partneri nodrošina informācijas pieejamību 10 gadus, skaitot no atbalsta piešķiršanas dienas, atbilstoši Komisijas regulas Nr. 651/2014 12. panta 1. punktam.
75.1
Ja atbalsts sniegts saskaņā ar Komisijas regulu 2023/2831, atbalsta sniedzējs nodrošina informācijas pieejamību 10 gadus, skaitot no dienas, kad piešķirts pēdējais atbalsts atbilstoši Komisijas regulas 2023/2831 6. panta 3. un 7. punktam. Finansējuma saņēmējs un sadarbības partneris nodrošina informācijas pieejamību 10 gadus, skaitot no atbalsta piešķiršanas dienas.
76.
Sadarbības iestāde nodrošina informācijas publicēšanu atbilstoši Komisijas regulas Nr. 651/2014 9. panta 1. un 4. punktam.
77.
Finansējuma saņēmējs nodrošina šo noteikumu 7.4. apakšpunktā minēto nacionālo rādītāju uzkrāšanu divus gadus pēc projekta īstenošanas beigām un uzkrātos datus iesniedz 10 darba dienu laikā pēc atbildīgās iestādes pieprasījuma.
78.
Sadarbības iestāde uzrauga komercdarbības atbalsta nosacījumu ievērošanu ar saimniecisku darbību saistītos projektos un komercdarbības atbalsta izslēdzošo nosacījumu ievērošanu ar saimniecisku darbību nesaistītos projektos.
1.
pielikums
Ministru kabineta
2024. gada 25. jūnija
noteikumiem Nr.
407
Eiropas Savienības kohēzijas politikas programmas 2021.–2027. gadam 1.1.1. specifiskā atbalsta mērķa "Pētniecības un inovāciju kapacitātes stiprināšana un progresīvu tehnoloģiju ieviešana kopējā P&A sistēmā" 1.1.1.3. pasākuma "Praktiskas ievirzes pētījumi" ar saimniecisku darbību saistīta projekta vidējās svērtās publiskā finansējuma intensitātes aprēķins
2.
pielikums
Ministru kabineta
2024. gada 25. jūnija
noteikumiem Nr.
407
Tehniski ekonomiskās priekšizpētes izstrādāšanas metodika