Noteikumu projekts

23-TA-1986
Noteikumi par transporta enerģijas siltumnīcefekta gāzu emisiju intensitātes samazināšanu un modernizēšanu un vispārīgo ziņošanu
Izdoti saskaņā ar Transporta enerģijas likuma 15. pantu un 20. panta astoto daļu
1.Vispārīgie jautājumi
1.
Noteikumi nosaka:
1.1.
siltumnīcefekta gāzu emisiju (turpmāk - emisiju) intensitātes aprēķina kārtību un nosacījumus;
1.2.
bāzlīnijas aprēķina kārtību un nosacījumus;
1.3.
nosacījumus un kārtību, kādā degvielas piegādātājs pamato modernās biomasas degvielas izcelsmi;
1.4.
nosacījumus un kārtību moderno biodegvielu, moderno biomasas degvielu un nebioloģiskas izcelsmes atjaunīgo degvielu īpatsvara aprēķināšanai kopējā realizētajā transporta enerģijas apjomā;
1.5.
emisiju intensitātes un transporta enerģijas modernizēšanas pienākuma elastības mehānismu (vienību apmaiņas mehānismu), tā dalībniekus un izmantošanas nosacījumus;
1.6.
vispārīgā ziņojuma sagatavošanas, iesniegšanas un pārbaudes nosacījumus un kārtību;
1.7.
atjaunīgās transporta enerģijas veidus, ko nevar izmantot siltumnīcefekta gāzu emisiju intensitātes samazināšanas pienākuma un transporta enerģijas modernizēšanas pienākuma izpildē;
1.8.
atjaunīgās transporta enerģijas veidus, ko siltumnīcefekta gāzu emisiju intensitātes samazināšanas pienākuma un transporta enerģijas modernizēšanas pienākuma izpildē var ieskaitīt ierobežotā apjomā un šo ierobežojumu apmēru;
1.9.
no Transporta enerģijas likuma pielikuma minētajām izejvielām iegūtu degvielu sarakstu.
2.Emisiju intensitātes aprēķins un emisiju intensitātes samazināšanas pienākuma izpilde
2.1.Emisiju intensitātes aprēķins
2.
Degvielas piegādātājs aprēķina ikgadējo transporta enerģijas emisiju intensitātes samazinājumu, izmantojot šādu formulu: 
, kur
SEG - konkrētā kalendārā gada kopējais ar atjaunīgo transporta enerģijas nodrošinātais transporta enerģijas emisiju intensitātes samazinājums, izteikts procentos;
EPAERE - degvielas piegādātāja pašpatēriņam transportlīdzekļos izmantotais un patēriņam transportā realizētais atjaunīgās elektroenerģijas apjoms, tai skaitā, ja degvielas piegādātājs darbojas kā uzlādes punkta operators, kā arī no cita komersanta vienību apmaiņas mehānisma ietvaros iegādātais patēriņam transportā realizētais atjaunīgās elektroenerģijas apjoms, izteikts megadžoulos;
FDKE - normatīvajos aktos par ilgtspējas un siltumnīcefekta gāzu emisiju ietaupījuma kritērijiem, no biomasas kurināmā ražotās elektroenerģijas kritērijiem un kārtību, kādā pamatojama, apliecināma un uzraugāma atbilstība minētajiem kritērijiem (turpmāk - normatīvie akti par ilgtspēju) noteiktais fosilās degvielas komparators elektroenerģijai izmantotās transporta enerģijas vienībā - 183 grami oglekļa dioksīda ekvivalenta uz megadžoulu;
EPRFNBO - degvielas piegādātāja pašpatēriņam transportlīdzekļos izmantotais un patēriņam transportā realizētais nebioloģiskās izcelsmes atjaunīgās degvielas apjoms, kā arī no cita komersanta vienību apmaiņas mehānisma ietvaros iegādātais transportlīdzekļos izmantotais vai patēriņam transportā realizētais nebioloģiskās izcelsmes atjaunīgās degvielas apjoms, izteikts megadžoulos;
SRFNBO - konkrētā nebioloģiskas izcelsmes atjaunīgās degvielas veida nodrošinātais emisiju samazinājums vienā izmantotās transporta enerģijas vienībā, izteikts gramos oglekļa dioksīda ekvivalenta uz megadžoulu;
EPMB - degvielas piegādātāja pašpatēriņam izmantotais un patēriņam transportā realizētais konkrētā modernās biodegvielas un modernās biomasas degvielas veida apjoms, kā arī no cita komersanta, kas nav degvielas piegādātājs, vienību apmaiņas mehānisma ietvaros iegādātais transportlīdzekļos izmantotais vai patēriņam transportā realizētais konkrētā modernās biomasas degvielas veida apjoms, izteikts megadžoulos;
SMB - konkrētā modernās biodegvielas vai modernās biomasas degvielas veida nodrošinātais emisiju samazinājums izmantotās transporta enerģijas vienībā, izteikts gramos oglekļa dioksīda ekvivalenta uz megadžoulu;
EPPartB - degvielas piegādātāja pašpatēriņam izmantotais un transportā realizētais konkrētā no šo noteikumu 1. pielikuma 2.punkā iekļautajām izejvielām ražotā biodegvielas un biomasas degvielas veida apjoms, kā arī no cita komersanta, kas nav degvielas piegādātājs, vienību apmaiņas mehānisma ietvaros iegādātais transportlīdzekļos izmantotais vai patēriņam transportā realizētais no konkrētā biomasas degvielas veida apjoms, izteikts megadžoulos, nepārsniedzot šo noteikumu 25.2. apakšpunktā noteikto apjomu;
SPartB - konkrētā no šo noteikumu 1. pielikuma 2.punktā iekļautajām izejvielām ražotā biodegvielas un biomasas degvielas veida nodrošinātais emisiju samazinājums vienā transporta enerģijas vienībā, izteikts gramos oglekļa dioksīda ekvivalenta uz megadžoulu;
EP1P_PDB - degvielas piegādātāja pašpatēriņam izmantotais un patēriņam transportā realizētais konkrētā biodegvielas vai biomasas degvielas, kas nav modernā biodegviela vai modernā biomasas degviela un ir ražota no pārtikas un dzīvnieku barības kultūraugiem, veida apjoms, kā arī no cita komersanta, kas nav degvielas piegādātājs, vienību apmaiņas mehānisma ietvaros iegādātais transportlīdzekļos izmantotais vai patēriņam transportā realizētais konkrētā biomasas degvielas veida apjoms, izteikts megadžoulos, nepārsniedzot šo noteikumu 25.1. apakšpunktā noteiktajam apjomam;
S1P_PDB - konkrētā biodegvielas vai biomasas degvielas, kas nav modernā biodegviela vai modernā biomasas degviela un ir ražota no pārtikas un dzīvnieku barības kultūraugiem, veida nodrošinātais emisiju samazinājums vienā transporta enerģijas vienībā, izteikts gramos oglekļa dioksīda ekvivalenta uz megadžoulu;
E1P - degvielas piegādātāja pašpatēriņam izmantotais un patēriņam transportā realizētais konkrētā biodegvielas vai biomasas degvielas, kas nav modernā biodegviela vai modernā biomasas degviela un nav ražota no pārtikas vai dzīvnieku barības kultūraugiem, veida apjoms, kā arī no cita komersanta, kas nav degvielas piegādātājs, vienību apmaiņas mehānisma ietvaros iegādātais transportlīdzekļos izmantotais vai patēriņam transportā realizētais konkrētā biomasas degvielas veida apjoms, izteikts megadžoulos;
S1P - konkrētā biodegvielas vai biomasas degvielas, kas nav modernā biodegviela vai modernā biomasas degviela un nav ražota no pārtikas vai dzīvnieku barības kultūraugiem, veida nodrošinātais emisiju samazinājums vienā transporta enerģijas vienībā, izteikts gramos oglekļa dioksīda ekvivalenta uz megadžoulu;
EPPOD - degvielas piegādātāja pašpatēriņam izmantotais un patēriņam transportā realizētais pārstrādātā oglekļa degvielas apjoms, kā arī no cita komersanta, kas nav degvielas piegādātājs, vienību apmaiņas mehānisma ietvaros iegādātais transportlīdzekļos izmantotais vai patēriņam transportā realizētais konkrētā pārstrādātā oglekļa degvielas veida apjoms, izteikts megadžoulos;
SPOD - konkrētā pārstrādā oglekļa degvielas veida nodrošinātais emisiju samazinājums vienā transporta enerģijas vienībā, izteikts gramos oglekļa dioksīda ekvivalenta uz megadžoulu;
BAZLINIJA - Transporta enerģijas likumā noteiktā bāzlīnija. 
3.
Par periodu līdz 2030.gada 31.decembrim šo noteikumu 2. punkta aprēķinā iekļautais rādītājs BAZLINIJA tiek aprēķināts, izmantojot šādu formulu:
, kur
EPC - degvielas piegādātāja patēriņam ceļa transportā realizētais transporta enerģijas apjoms, izņemot elektroenerģiju, izteikts megadžoulos;
EPD - degvielas piegādātāja patēriņam dzelzceļa transportā realizētais transporta enerģijas apjoms, izņemot elektroenerģiju, izteikts megadžoulos;
EPA - degvielas piegādātāja patēriņam gaisa transportā realizētais transporta enerģijas apjoms izņemot elektroenerģiju, izteikts megadžoulos;
EPK - degvielas piegādātāja patēriņam jūras transportā, ieskaitot bunkurēšanai un iekšzemes kuģošanai, realizētais transporta enerģijas apjoms, izņemot elektroenerģiju, izteikts megadžoulos, nepārsniedzot šo noteikumu 26. punktā noteikto apjomu;
ELEC - degvielas piegādātāja patēriņam ceļa transportā kopējais realizētais elektroenerģijas apjoms, izteikts megadžoulos;
ELED - degvielas piegādātāja patēriņam dzelzceļa transportā realizētais kopējais elektroenerģijas apjoms, izteikts megadžoulos;
ELEA - degvielas piegādātāja patēriņam gaisa transportā realizētais kopējais elektroenerģijas apjoms, izteikts megadžoulos;
ELEK - degvielas piegādātāja patēriņam jūras transportā, ieskaitot bunkurēšanai un iekšzemes kuģošanai, realizētais kopējais elektroenerģijas apjoms, izteikts megadžoulos;
FDKD - normatīvajos aktos par ilgtspēju noteiktais fosilās degvielas komparators degvielai 94 grami oglekļa dioksīda ekvivalenta attiecībā uz izmantotās transporta enerģijas vienību megadžoulos.
4.
Par periodu sākot ar 2031.gada 1.janvāri šo noteikumu 2. punkta aprēķinā iekļautais rādītājs BAZLINIJA tiek aprēķināts, izmantojot šādu formulu:
.
5.
Šo noteikumu 2. punktā iekļautajā aprēķinā katra transporta enerģijas veida nodrošinātais emisiju samazinājums S tiek aprēķināts, izmantojot šādu formulu:
Sx = FDKD - Ex, kur
Sx - transporta enerģijas veida x nodrošinātais emisiju samazinājums vienā transporta enerģijas vienībā, izteikts gramos oglekļa dioksīda ekvivalenta attiecībā uz megadžoulu;
Ex - kopējās konkrētā transporta enerģijas veida x emisijas vienā transporta enerģijas vienībā, izteiktas gramos oglekļa dioksīda ekvivalenta uz megadžoulu.
6.
Katra transporta enerģijas veida emisijas vienā transporta enerģijas vienībā Ex aprēķina saskaņā ar normatīvajos aktos par ilgtspēju noteiktajiem nosacījumiem, tai skaitā, izmantojot minētajos normatīvajos aktos iekļautās emisiju aprēķina formulas, izmantojamo emisiju vērtību izvēles nosacījumus, emisiju standartvērtības vai faktiskās vērtības un emisiju oglekļa dioksīda ekvivalences vērtības.
2.2.Emisiju intensitātes aprēķina nosacījumi
7.
Patēriņam transportā realizētās atjaunīgās elektroenerģijas apjomā iekļauj elektrotransportlīdzekļos uzladēto elektroenerģija apjomu, ņemot vērā šādus nosacījumus:
7.1.
elektrotransportlīdzekļu uzlāde ir veikta publiski pieejamā uzlādes punktā, kas atbilst normatīvajos aktos par elektrotransportlīdzekļu uzlādes, dabasgāzes uzpildes, ūdeņraža uzpildes un krasta elektropadeves iekārtām noteiktajām prasībām, vai elektrotransportlīdzekļos uzlādētās elektroenerģijas uzskaite ir veikta ar verificētām mērierīcēm, ievērojot normatīvajos aktos par mērījumu vienotību un tam ir elektroenerģijas uzskaites ierīču pārbaudes apliecinājums;
7.2.
atjaunīgās elektroenerģijas daļu kopējā elektrotransportlīdzekļos uzlādētā elektroenerģijas apjomā aprēķina, izmantojot Centrālās statistikas pārvaldes tīmekļa vietnē publicēto gada atjaunīgās elektroenerģijas īpatsvaru Latvijā saražotajā elektroenerģijā gadā pirms iepriekšējā kalendārā gada  (x-2) pirms perioda par kuru tiek veikts aprēķins;
7.3.
ja patēriņam transportā tiek realizēta elektroenerģija no tiešā pieslēguma atjaunīgās elektroenerģijas ražošanas iekārtai, tad visu šādas elektroenerģijas apjomu uzskata par atjaunīgo elektroenerģiju;
7.4.
ja patēriņam transportā realizē elektroenerģiju no tiešā pieslēguma atjaunīgās elektroenerģijas ražošanas iekārtai, kura vienlaikus ir pieslēgta tīklam, tad šajā iekārtā saražoto un elektrotransportlīdzekļos uzlādēto elektroenerģiju uzskata par atjaunīgo elektroenerģiju, bet atjaunīgās elektroenerģijas daļu pārējā elektrotransportlīdzekļos uzlādētajā elektroenerģijā nosaka saskaņā ar šo noteikumu 7.2. apakšpunkta nosacījumiem;
7.5.
ja patēriņam transportā realizē elektroenerģiju no tiešā pieslēguma atjaunīgās elektroenerģijas ražošanas iekārtai, kura vienlaikus pieslēgta tīklam un kurai ir uzstādīta elektroenerģijas akumulācijas iekārta, tad šajā iekārtā saražoto, uzkrāto un elektrotransportlīdzekļos uzlādēto elektroenerģiju uzskata par atjaunīgo elektroenerģiju, bet atjaunīgās elektroenerģijas daļu pārējā elektrotransportlīdzekļos uzlādētajā elektroenerģijā nosaka saskaņā ar šo noteikumu 7.2. apakšpunkta nosacījumiem;
7.6.
solārā elektrotransportlīdzekļa - mehāniskais transportlīdzeklis ar tādu spēka pārvadu, kurā par enerģijas pārveidotāju kalpo tikai neperifēras elektriskas mašīnas ar uzlādējamu elektroenerģijas uzkrāšanas sistēmu, ko var uzlādēt ārēji, un kurš aprīkots ar transportlīdzeklī integrētiem fotoelementu paneļiem, saražoto elektroenerģiju, kas izmantota paša transportlīdzekļa patēriņam, uzskata par atjaunīgo elektroenerģiju;
8.
Ja elektroenerģija tiešā veidā ir izmantota nebioloģiskas izcelsmes atjaunīgās degvielas ražošanā vai ir izmantota nebioloģiskas izcelsmes atjaunīgās degvielas starpproduktu ražošanā, atjaunīgās enerģijas īpatsvaru nosaka, ņemot vērā šādus nosacījumus: 
8.1.
atjaunīgās enerģijas daļu kopējā saražotajā apjomā aprēķina, izmantojot Centrālās statistikas pārvaldes tīmekļa vietnē publicēto gada atjaunīgās elektroenerģijas īpatsvaru Latvijā saražotajā elektroenerģijā x-2 gadā pirms nebioloģiskas izcelsmes atjaunīgās degvielas vai nebioloģiskas izcelsmes atjaunīgās degvielas starpprodukta saražošanas, vai Eiropas Savienības Statistikas biroja "Eurostat" tīmekļa vietnē publicēto atjaunīgās elektroenerģijas īpatsvaru konkrētajā valstī, kurā ir saražota nebioloģiskas izcelsmes atjaunīgā degviela vai nebioloģiskas izcelsmes atjaunīgās degvielas starpprodukts,  x-2 gadā pirms to saražošanas;
8.2.
ja nebioloģiskas izcelsmes atjaunīgā degviela vai nebioloģiskas izcelsmes atjaunīgās degvielas starpprodukti ir saražoti no tiešā pieslēgumā esošas atjaunīgās elektroenerģijas ražošanas iekārtas, tad visu šādu elektroenerģiju ieskaita kā atjaunīgo elektroenerģiju atbilstoši Komisijas 2023.gada 10.februāra deleģētajā regulā (ES) 2023/1184, ar ko Eiropas Parlamenta un Padomes Direktīvu (ES) 2018/2001 papildina, izveidojot Savienības metodiku, ar ko nosaka sīki izstrādātus noteikumus par nebioloģiskas izcelsmes atjaunīgo šķidro un gāzveida transporta degvielu ražošanu (turpmāk - Regula 2023/1184) noteiktajiem nosacījumiem;
8.3.
ja minētā elektroenerģija ir ņemta no elektroenerģijas pārvades vai sadales sistēmas, tās atbilstību atjaunīgās elektroenerģijas nosacījumiem nosaka atbilstoši Regulā 2023/1184 noteiktajiem nosacījumiem.
9.
Transporta enerģijas apjomu pārrēķina to enerģijas saturā, izmantojot šo noteikumu 2. pielikumā minētās vērtības vai, ja šo noteikumu 2. pielikumā konkrētais transporta enerģijas veids nav minēts, transporta enerģijas apjomu pārrēķina to enerģijas saturā, izmantojot Valsts vides dienesta tīmekļa vietnē publicētos transporta enerģijas fizikālķīmiskos rādītājus.
10.
Aprēķinā katras biodegvielas vai biomasas degvielas daudzumu un veidu uzskaita atsevišķi.
11.
Atjaunīgo transporta enerģiju, kas neatbilst normatīvajos aktos par ilgtspēju noteiktajiem kritērijiem, aprēķinā ieskaita kā fosilās izcelsmes transporta enerģiju.
12.
Biomasas degvielas un modernās biomasas degvielas var ņemt vērā emisiju ietaupījumu aprēķinā, ja to izcelsme ir pamatota ar:
12.1.
gāzes izcelsmes apliecinājumiem, kas ir izdoti saskaņā ar normatīvajiem aktiem par enerģētiku, ja attiecīgais atjaunīgās transporta enerģijas veids ir realizēts patēriņam transportā, izmantojot Latvijas dabasgāzes pārvades vai sadales sistēmu;
12.2.
ar biomasas degvielas piegādi pamatojošu dokumentu, ko degvielas piegādātājam izsniedz biomasas degvielas piegādātājs, kas degvielas piegādātājam ir piegādājis biomasas degvielu tai skaitā, sašķidrināto metānu vai saspiesto metānu, neizmantojot dabasgāzes pārvades vai sadales sistēmu.
13.
Transporta enerģijas aprēķinā netiek iekļauts tas atjaunīgās transporta enerģijas apjoms, kas ir pārdots citam degvielas piegādātājam.
3.Moderno biodegvielu, moderno biomasas degvielu un nebioloģiskas izcelsmes atjaunīgo degvielu īpatsvara aprēķins un īpatsvara sasniegšanas pienākuma izpilde
3.1.Moderno biodegvielu, moderno biomasas degvielu un nebioloģiskas izcelsmes atjaunīgo degvielu īpatsvara aprēķins
14.
Degvielas piegādātājs moderno biodegvielu, moderno biomasas degvielu un nebioloģiskas izcelsmes atjaunīgo degvielu īpatsvaru patēriņam transportā realizētajā transporta enerģijas apjomā aprēķina, izmantojot šādu formulu: 
, kur
AERMB&RFNBO - modernās biodegvielas, modernās biomasas degvielas, nebioloģiskas izcelsmes atjaunīgās degvielas īpatsvars kopējā patēriņam transportā realizētajā transporta enerģijas apjomā, izteikts procentos;
EPMB(C&D) - degvielas piegādātāja pašpatēriņam ceļa un dzelzceļa transportlīdzekļos izmantotais un patēriņam ceļa un dzelzceļa transportlīdzekļiem realizētais modernās biodegvielas un modernās biomasas degvielas apjoms, kā arī no cita komersanta, kas nav degvielas piegādātājs, vienību apmaiņas mehānisma ietvaros iegādātais ceļu transporta un dzelzceļa transporta transportlīdzekļos izmantotais vai patēriņam ceļa un dzelzceļa transportlīdzekļos realizētais modernās biomasas degvielas apjoms, izteikts megadžoulos;
EPMB(A&K) - degvielas piegādātāja pašpatēriņam gaisa un ūdens transportlīdzekļos izmantotais un patēriņam aviācijas un kuģniecības transporta transportlīdzekļos realizētais modernās biodegvielas un modernās biomasas degvielas apjoms, kā arī no cita komersanta, kas nav degvielas piegādātājs, vienību apmaiņas ietvaros iegādātais aviācijas un kuģniecības transporta transportlīdzekļos izmantotais vai aviācijas un kuģniecības transporta transportlīdzekļiem realizētais modernās biomasas degvielas apjoms, izteikts megadžoulos;
EPRFNBO(C&D) - degvielas piegādātāja pašpatēriņam ceļa un dzelzceļa transportlīdzekļos izmantotais un patēriņam ceļa un dzelzceļa transportlīdzekļos realizētais nebioloģiskas izcelsmes atjaunīgās degvielas apjoms, kā arī no cita komersanta, kas nav degvielas piegādātājs, vienību apmaiņas mehānisma ietvaros iegādātais ceļu transporta un dzelzceļa transporta transportlīdzekļos izmantotais un ceļu transporta un dzelzceļu transporta transportlīdzekļiem realizētais nebioloģiskas izcelsmes atjaunīgās degvielas apjoms, izteikts megadžoulos;
EPRFNBO(A&K) - degvielas piegādātāja pašpatēriņam gaisa un ūdens transportlīdzekļos izmantotais un patēriņam aviācijā un kuģniecībā realizētais nebioloģiskas izcelsmes atjaunīgās degvielas apjoms, kā arī no cita komersanta, kas nav degvielas piegādātājs, vienību apmaiņas mehānisma ietvaros iegādātais aviācijas un kuģniecības transporta transportlīdzekļos izmantotais vai aviācijas un kuģniecības transporta transportlīdzekļiem realizētais nebioloģiskas izcelsmes atjaunīgās degvielas apjoms, izteikts megadžoulos;
EPCT - degvielas piegādātāja patēriņam ceļa transportā realizētais transporta enerģijas apjoms, izteikts megadžoulos;
EPDT - degvielas piegādātāja patēriņam dzelzceļa transportā realizētais transporta enerģijas apjoms, izteikts megadžoulos;
EPAT - degvielas piegādātāja patēriņam gaisa transportā realizētais transporta enerģijas apjoms, izteikts megadžoulos;
EPKT - degvielas piegādātāja patēriņam jūras transportā, ieskaitot bunkurēšanai un iekšzemes kuģošanai, realizētais transporta enerģijas apjoms, izteikts megadžoulos, nepārsniedzot šo noteikumu 26. punktā noteikto apjomu.
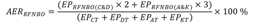
15.
Degvielas piegādātājs nebioloģiskas izcelsmes atjaunīgo degvielu īpatsvaru patēriņam transportā realizētajā transporta enerģijas apjomā aprēķina, izmantojot šādu formulu: 
, kur:
AERRFNBO - nebioloģiskas izcelsmes atjaunīgās degvielas īpatsvars kopējā patēriņam transportā realizētajā transporta enerģijas apjomā, izteikts procentos.
3.2.Moderno biodegvielu, moderno biomasas degvielu un nebioloģiskas izcelsmes atjaunīgo degvielu īpatsvara aprēķina nosacījumi
16.
Šo noteikumu 14. un 15. punktā iekļautajā aprēķinā ņem vērā šādus nosacījumus:
16.1.
aprēķinot kopējo realizēto transporta enerģijas apjomu moderno biodegvielu un moderno biomasas degvielu īpatsvara aprēķinam, neņem vērā degvielas piegādātāja patēriņam transporta sektorā realizēto elektroenerģijas vai nebioloģiskas izcelsmes atjaunīgās degvielas apjomu;
16.2.
aprēķinot kopējo realizēto transporta enerģijas apjomu, jūras kuģiem piegādātās transporta enerģijas daudzumu aprēķinā ņem vērā ne vairāk kā 13 procentu apmērā no kopējā realizētā transporta enerģijas apjoma.
17.
Transporta enerģijas apjomu pārrēķina to enerģijas saturā, izmantojot šo noteikumu 2. pielikumā minētās vērtības vai, ja šo noteikumu ​2. pielikumā konkrētais transporta enerģijas veids nav minēts, transporta enerģijas apjomu pārrēķina to enerģijas saturā, izmantojot transporta enerģijas fizikālķīmiskos rādītājus, kas ir publicēti Valsts vides dienesta tīmekļa vietnē.
18.
Aprēķinā katras biodegvielas un biomasas degvielas daudzumu un veidu uzskaita atsevišķi.
19.
Atjaunīgo transporta enerģiju, kas neatbilst normatīvajos aktos par ilgtspēju noteiktajiem kritērijiem, aprēķinā ieskaita kā fosilās izcelsmes transporta enerģiju.
20.
Modernās biomasas degvielas ņem vērā, ja tā izcelsme ir pamatota ar:
20.1.
gāzes izcelsmes apliecinājumiem, kas ir izdoti saskaņā ar normatīvajiem aktiem par enerģētiku, ja attiecīgais atjaunīgās transporta enerģijas veids ir realizēts patēriņam transportā, izmantojot Latvijas dabasgāzes pārvades vai sadales sistēmu;
20.2.
biomasas degvielas piegādi pamatojošu dokumentu, ko degvielas piegādātājam izsniedz biomasas degvielas piegādātājs, kas piegādā biomasas degvielu, neizmantojot dabasgāzes pārvades vai sadales sistēmu.
21.
Transporta enerģijas aprēķinā netiek iekļauts tas atjaunīgās transporta enerģijas apjoms, kas ir pārdots citam degvielas piegādātājam.
4.Emisiju intensitātes un transporta enerģijas modernizēšanas pienākuma izpildes elastības un ierobežojumi
4.1.Emisiju intensitātes un transporta enerģijas modernizēšanas pienākuma izpildes elastības
22.
Degvielas piegādātājs var pārnest emisiju intensitātes un transporta enerģijas modernizēšanas pienākuma izpildes pārsniegumu no viena kalendārā gada pienākuma izpildes uz nākamo kalendāro gadu.
23.
Degvielas piegādātājs nevar pārnest 2029.gada transporta enerģijas modernizēšanas pienākuma izpildes pārsniegumu 2030.gada pienākuma izpildei.
24.
Degvielas piegādātājs var pārnest pienākuma izpildes pienākuma pārsniegumu ne vairāk kā vienu reizi un to var izmantot tikai nākamā gada pienākuma izpildei.
4.2.Emisiju intensitātes un transporta enerģijas modernizēšanas pienākuma izpildes ierobežojumi
25.
Emisiju intensitātes un transporta enerģijas modernizēšanas pienākuma izpildes ietvaros ņem vērā šādus nosacījumus:
25.1.
biodegvielu vai biomasas degvielu, kas nav ražota no šo noteikumu 1. pielikumā minētajām izejvielām un ir ražota no pārtikas un dzīvnieku barības kultūraugiem emisiju samazināšanas pienākuma aprēķinā ņem vērā ne vairāk kā 4,2 procentu apjomā no kopējā konkrētā degvielas piegādātāja transporta sektorā realizētā transporta enerģijas apjoma;
25.2.
biodegvielu vai biomasas degvielu, kas ir ražota no šo noteikumu 1. pielikuma 2. punktā minētajām izejvielām emisiju samazināšanas pienākuma izpildei ņem vērā ne vairāk kā 1,7 procentu apjomā no kopējā konkrētā degvielas piegādātāja transporta sektorā realizētā transporta enerģijas apjoma;
25.3.
biodegvielu vai biomasas degvielu, kas saražota no Komisijas 2019.gada 13.marta deleģētajā regulā (ES) 2019/807, ar kuru Eiropas Parlamenta un Padomes Direktīvu (ES) 2018/2001 papildina attiecībā uz to, kā identificēt izejvielas, kas rada augstu netiešās zemes izmantošanas maiņas risku un kam konstatēta būtiska produktīvās platības izplešanās uz tādu zemes platību rēķina, kurās ir liels oglekļa uzkrājums, un kā sertificēt biodegvielas, bioloģiskos šķidros kurināmos un biomasas kurināmos/degvielas, kas rada zemu netiešās zemes izmantošanas maiņas risku noteiktajiem pārtikas un dzīvnieku barības kultūraugiem, kuri kumulatīvi atbilst minētās regulas 3. pantā noteiktajiem kritērijiem, aprēķinā ņem vērā apjomā, kāds noteikts minētās regulas 6a. pantā.
26.
Aprēķinot kopējo realizēto transporta enerģijas apjomu, jūras kuģiem piegādātās transporta enerģijas daudzumu aprēķinā ņem vērā ne vairāk kā 13 procentu apmērā no kopējā realizētā transporta enerģijas apjoma.
5.Elektroenerģijas statistikas sadale
27.
Elektroenerģijas apjoms, kas ir patērēts elektrotransportlīdzekļos un ir uzlādēts uzlādes iekārtās, kas nav publiski pieejamais uzlādes punkts, un kas nav piedāvāts vienību apmaiņas mehānisma ietvaros, katram degvielas piegādātājam tiek sadalīts proporcionāli degvielas piegādātāja patēriņam transportā nodotajam transporta enerģijas apjomam gadā, kas ir pirms gada, par kuru tiek iesniegts vispārīgais ziņojums (x-2 gadā).
28.
Elektroenerģijas apjoms, kas ir proporcionāli sadalāms degvielas piegādātājiem, tiek noteikts, izmantojot šādu formulu:
ELEsadalāmais = ELECSP(x-2) - ELEPUB(x-2) - ELEVM(x-1), kur:

ELEsadalāmais - atjaunīgās elektroenerģijas apjoms, kas ir pieejams proporcionālais sadalei degvielas piegādātājiem;
ELECSP(x-2) - Centrālās statistikas pārvaldes sagatavotajā gada energobilancē noteiktais elektroenerģijas apjoms, kas x-2 gadā ir patērēts transportā;
ELEPUB(x-2) - publiski pieejamā uzlādes punktā x-2 gadā elektrotransportlīdzekļos uzlādētais elektroenerģijas apjoms, par ko dati Centrālai statistikas pārvaldei ir iesniegti atbilstoši Transporta enerģijas likuma 20.panta otrajai daļai;
ELEVM(x-2) - vienību apmaiņas mehānisma ietvaros piedāvātais transporta enerģijas (elektroenerģijas) vienību apjoms x-1 gadā​.
29.
Elektroenerģijas apjoms tiek proporcionāli sadalāms, izmantojot šādu formulu:
ELEd.p. = (TEd.p. / TEkopa) x ELEsadalāmais, kur:

ELEd.p. - elektroenerģijas apjoms, kas sadalāms konkrētajam degvielas piegādātājam;
TEd.p. - Valsts ieņēmumu dienesta saskaņā ar Transporta enerģijas likumu sniegtie dati par konkrētā degvielas piegādātāja patēriņam realizēto apjomu
TEkopa - Valsts ieņēmumu dienesta saskaņā ar Transporta enerģijas likumu sniegtie dati par komersantu, kas iepriekšējā kalendāra gadā realizējuši patēriņam naftas produktus, dabasgāzi vai citus produktus un aprēķinājuši maksājamo akcīzes nodokli, patēriņam realizēto apjomu;
ELEsadalāmais - atjaunīgās elektroenerģijas apjoms, kas ir pieejams proporcionālais sadalei degvielas piegādātājiem.
30.
Elektroenerģijas apjoms par iepriekšējo kalendāro gadu energoresursu informācijas sistēmā tiek sadalīts katru gadu līdz 1. martam.
31.
Ja šo noteikumu 28. punktā minētais aprēķins rezultējas sadalāmajā elektroenerģijas apjomā, kas ir lielāks nekā konkrētajā kalendārajā ceļu transportā patērētajā elektroenerģijas apjomā, elektroenerģijas apjoms, kas ir proporcionāli sadalāms degvielas piegādātājiem, tiek samazināts tā, lai minētā starpība nerodas.
6.Vienību apmaiņas mehānisms
6.1.Vienību apmaiņas mehānisma izmantošanas vispārīgie nosacījumi
32.
Valsts vides dienests izveido un uztur vienību apmaiņas mehānisma sistēmu.
33.
Vienību apmaiņas mehānisma ietvaros degvielas piegādātājs var:
33.1.
izmantot to atjaunīgās elektroenerģijas apjomu, ko šo noteikumu 44. punktā minētais komersants ir nodrošinājis patēriņam transporta sektorā Latvijas Republikā, ja konkrētais komersants ir pamatojis, ka minētā elektroenerģija ir izmantota uzlādei elektrotransportlīdzekļos vai ir patērēta pasažieru sabiedriskajos transportlīdzekļos vai patērēta dzelzceļa transportā;
33.2.
izmantot to biomasas degvielas vai modernās biomasas degvielas, nebioloģiskas izcelsmes atjaunīgās degvielas un pārstrādātā oglekļa degvielas apjomu, ko komersants, kas nav degvielas piegādātājs, kā transporta enerģiju ir realizējis patēriņam transporta sektorā vai ir izmantojis paša vajadzībām, ja:
33.2.1.
komersants var atbilstoši pierādīt, ka minētais transporta enerģijas apjoms ir izmantots transporta sektorā;
33.2.2.
komersants var pamatot biomasas degvielas atbilstoši noteikumu 12. punktā noteiktajiem nosacījumiem;
33.2.3.
komersants var pamatot, ka konkrētais transporta enerģijas apjoms nav izmantots Eiropas Savienības Emisijas kvotu tirdzniecības sistēmā ēku, autotransporta un papildu sektoriem.
33.3.
nodot pienākuma izpildes pārsniegumu citam degvielas piegādātājam, kurš to var izmantot sava emisiju intensitātes samazināšanas pienākuma vai transporta enerģijas modernizēšanas pienākuma izpildei.
34.
Vienību apmaiņas mehānisma ietvaros:
34.1.
degvielas piegādātāja nodrošinātā emisiju intensitātes samazināšanas pienākuma saistību pārsnieguma tonna ir uzskatāma par vienu vienību (turpmāk - emisiju intensitātes samazināšanas pienākuma vienība);
34.2.
degvielas piegādātāja nodrošinātais transporta enerģijas modernizēšanas saistību pārsnieguma megadžouls ir uzskatāms par vienu vienību (turpmāk - modernizēšanas pienākuma vienība);
34.3.
konkrētā atjaunīgās transporta enerģijas veida megadžouls ir uzskatāms par vienu vienību (turpmāk - transporta enerģijas vienība).
35.
Komersanti vienību apmaiņas mehānisma ietvaros var savstarpēji nodot transporta enerģijas vienības, emisiju intensitātes samazināšanas pienākuma vienības vai modernizēšanas pienākuma vienības bez ierobežojumiem.
36.
Vienību apmaiņas mehānisma ietvaros transporta enerģijas vienības, emisiju intensitātes samazināšanas pienākuma vienības vai modernizēšanas pienākuma vienības ir izmantojamas tikai attiecībā uz to gadu, kurā vienības ir izdotas.
6.2.Vienību apmaiņas mehānisma izmantošana darījumu ar emisiju intensitātes samazināšanas pienākuma vienību apjomu vai modernizēšanas pienākuma vienību apjomu veikšanai
37.
Vienību apmaiņu mehānisma ietvaros degvielas piegādātājs var piedāvāt emisiju intensitātes samazināšanas pienākuma vienību un modernizēšanas pienākuma vienību apjomu, kas ir mazāks vai vienāds ar konkrētā degvielas piegādātāja emisiju intensitātes samazināšanas pienākuma saistību vai transporta enerģijas modernizēšanas pienākuma saistību pārsniegumu.
38.
Lai degvielas piegādātājs varētu piedalīties vienību apmaiņas mehānismā, tam energoresursu informācijas sistēmā līdz katra kalendārā gada 31. martam ir jāapstiprina dalības vēlme.
39.
Degvielas piegādātājs vienību apmaiņas mehānismā reģistrē to emisiju intensitātes samazināšanas pienākuma vienību apjomu vai modernizēšanas pienākuma vienību apjomu, ko degvielas piegādātājs vēlas pārdot, pēc tam, kad šo noteikumu 72. punktā minētā institūcija energoresursu informācijas sistēmā ir apstiprinājusi vispārīgā ziņojuma atbilstību.
40.
Degvielas piegādātājs vienību apmaiņas mehānismā reģistrē to emisiju intensitātes samazināšanas pienākuma vienību apjomu vai modernizēšanas pienākuma vienību apjomu, ko degvielas piegādātājs vēlas iegādāties, lai izpildītu Transporta enerģijas likumā noteikto emisiju intensitātes samazināšanas pienākumu vai transporta enerģijas modernizēšanas pienākumu.
41.
Vienību apmaiņas mehānisma ietvaros degvielas piegādātājs, kas nodod emisiju intensitātes samazināšanas pienākuma vienības vai modernizēšanas pienākuma vienības:
41.1.
pēc nodošanas darījuma uzsākšanas energoresursu informācijas sistēmā reģistrē darījumā iesaistīto vienību apjomu, ko sistēma atzīmē kā rezervētu;
41.2.
pēc darījuma pabeigšanas ievada datus par minēto vienību saņēmēju, norādot nodoto vienību apjomu, degvielas piegādātāja, kas to saņem, nosaukumu, reģistrācijas numuru, līguma datumu un numuru.
42.
Vienības saņemošais degvielas piegādātājs apstiprina darījuma pabeigšanu un saņemto vienību apjomu.
43.
Pēc darījuma pabeigšanas apstiprinājuma vienību apmaiņas mehānismā emisiju intensitātes samazināšanas pienākuma vienību vai modernizēšanas pienākuma vienību pircējam iegādātais saistību pārsnieguma apjoms tiek automātiski iekļauts saņēmēja vispārīgajā ziņojumā un pārdevēja vispārīgajā ziņojumā atzīmēts kā pārdots, norādot informāciju par darījumā iesaistīto degvielas piegādātāju.
6.3.Vienību apmaiņas mehānisma izmantošana darījumu ar transporta enerģijas (elektroenerģijas) vienībām veikšanai
44.
Vienību apmaiņas mehānisma ietvaros elektroenerģiju, kas ir patērēta transportlīdzeklī, tai skaitā pasažieru sabiedriskajā transportlīdzeklī, vai dzelzceļa transportā, var piedāvāt šādi komersanti (turpmāk - elektroenerģijas vienību pārdevējs):
44.1.
uzlādes punkta operatori, kas nav degvielas piegādātāji, kura uzlādes punkts atbilst šo noteikumu 7.1. apakšpunktā minētajiem nosacījumiem;
44.2.
sabiedriskā transporta pakalpojumu sniedzēji;
44.3.
komersanti, kuriem ir vismaz 5 publiski nepieejamas uzlādes iekārtas, kas atbilst šo noteikumu 7.1. apakšpunktā noteiktajiem nosacījumiem.
45.
Vienību apmaiņu mehānisma ietvaros elektroenerģijas vienību pārdevējs var piedāvāt transporta enerģijas vienību apjomu, kas nepārsniedz patēriņam transportā nodrošināto atjaunīgās elektroenerģijas apjomu, kas noteikts ievērojot šo noteikumu 7. punktu.
46.
Ja elektroenerģijas apjoma pārdevējs ir sabiedriskā transporta pakalpojuma sniedzējs, tas vienību apmaiņas mehānismā var piedāvāt:
46.1.
elektroenerģijas apjomu, kas elektrotransportlīdzekļos (elektriskajos autobusos), ir uzlādēts sabiedriskā pakalpojumu sniedzēja uzlādes punktos, kas nav publiski pieejami un kas atbilst šo noteikumu 7.1. apakšpunktā minētajiem nosacījumiem;
46.2.
var piedāvāt to elektroenerģijas apjomu, kas ir izmantots transportlīdzekļos, nodrošinot sabiedriskā transporta pakalpojumu īstenošanu.
47.
Ja elektroenerģijas vienību pārdevējs vēlas piedalīties vienību apmaiņas mehānismā, tas energoresursu informācijas sistēmā jebkurā laikā reģistrē uzlādes punktā elektrotransportlīdzekļos uzlādēto elektroenerģijas apjomu kilovastundās, norādot uzlādes punkta pieslēguma veidu, vai sabiedriskajā transportā - elektrvilcieni, tramvaji, trolejbusi, patērēto elektroenerģijas apjomu kilovatstundās.
48.
Elektroenerģijas vienību pārdevējs, energoresursu informācijas sistēmā reģistrējot elektroenerģijas apjomu, sistēmā apliecina reģistrētā apjoma patiesumu un atbilstību.
49.
Ja degvielas piegādātājs vēlas piedalīties vienību apmaiņas mehānismā un iegādāties transporta enerģijas (elektroenerģijas) vienības, tas energoresursu informācijas sistēmā jebkurā laikā reģistrē iegādei vēlamo transporta enerģijas (elektroenerģijas) vienību apjomu.
50.
Vienību apmaiņas mehānisma sistēmā reģistrēto elektroenerģijas apjomu kilovatstundās pārrēķina atjaunīgās elektroenerģijas apjomā, ņemot vērā šo noteikumu 7.2., 7.3., 7.4. vai 7.5. apakšpunktā iekļautos nosacījumus, kuru pārveido transporta enerģijas vienībās.
51.
Vienību apmaiņas mehānisma ietvaros elektroenerģijas vienību pārdevējs, kas nodod attiecīgās transporta enerģijas vienības:
51.1.
pēc nodošanas darījuma uzsākšanas energoresursu informācijas sistēmā reģistrē darījumā iesaistīto transporta enerģijas (elektroenerģijas) vienību apjomu, ko sistēma atzīmē kā rezervētu;
51.2.
ievada datus par piedāvāto transporta enerģijas vienību piedāvājumu un pēc darījuma pabeigšanas ievada datus par transporta enerģijas vienību saņēmēju, norādot nodoto transporta enerģijas vienību skaitu, degvielas piegādātāja, kas to ir saņēmis, nosaukumu, reģistrācijas numuru, līguma datumu un numuru.
52.
Attiecīgās transporta enerģijas (elektroenerģijas) vienību saņēmējs apstiprina darījuma pabeigšanu un saņemto vienību apjomu.
53.
Pēc darījuma pabeigšanas apstiprinājuma vienību apmaiņas mehānismā attiecīgās transporta enerģija vienību pircējam iegādātais attiecīgās transporta enerģijas vienību apjoms tiek automātiski iekļauts pircēja vispārīgajā ziņojumā.
54.
Darījumiem ar transporta enerģijas (elektroenerģijas) vienībām par iepriekšējo kalendāro gadu ir jābūt pabeigtiem līdz konkrētā gada 15. februārim.
55.
Ja elektroenerģijas vienību pārdevējs piedalās vienību apmaiņas mehānismā un ir nodevis transporta enerģijas vienības degvielas piegādātājam, tas katru gadu līdz 31. martam energoresursu informācijas sistēmā sagatavo un iesniedz ziņojumu par iepriekšējā kalendārā gadā vienību apmaiņas mehānismā piedāvāto un nodoto transporta enerģijas vienību apjomu, pirms iesniegšanas nodrošinot energoresursu informācijas sistēmā reģistrētā apjoma neatkarīgu auditu, kura ietvaros audita veicējs veic šādas darbības:
55.1.
pārbauda, ka elektroenerģijas apjoms ir izmantots uzlādei elektrotransportlīdzekļos, tai skaitā pārbauda informāciju par tiem uzlādes punktiem, kuros uzlādētais elektroenerģijas daudzums ir pieteikts vienību apmaiņas mehānismā;
55.2.
pārbauda pasažieru sabiedriskajā transportlīdzekļos vai dzelzceļa transportlīdzekļos patērēto elektroenerģijas apjomu, tai skaitā pārbauda šajos transportlīdzekļos patērēto elektroenerģijas apjoma uzskaites sistēmu;
55.3.
pārbauda pamatojumus atbilstībai šo noteikumu 7.1. apakšpunktā minētajiem nosacījumiem.
56.
Šo noteikumu 55. punktā minēto auditu veic un vienību apmaiņas mehānismā reģistrētā apjoma atbilstību apliecina:
56.1.
no komersanta neatkarīga inspicēšanas institūcija, kas akreditēta sfērā - elektroenerģijas ražošanas vienības datu apstiprināšana;
56.2.
neatkarīga sertificēšanas institūcija, kas ir akreditēta vides pārvaldības sistēmas ar nepārtrauktu enerģijas patēriņa izvērtēšanas procesu sertificēšanas sfērā;
56.3.
no komersanta neatkarīgs uzņēmumu energoauditors, kas ir akreditēts uzņēmumu enegoauditu veikšanai normatīvo aktu par uzņēmumu energoauditu ietvaros;
56.4.
no komersanta neatkarīgs eksperts ēku energoefektivitātes jomā, kura kompetence ir apliecināta un kurš ir reģistrēts atbilstoši normatīvajiem aktiem par neatkarīgu ekspertu kompetences novērtēšanu un profesionālās darbības uzraudzību ēku energoefektivitātes jomā.
57.
Energoauditors vai institūcija, energoresursu informācijas sistēmā apstiprinot elektroenerģijas vienību pārdevēja ziņojumu, apstiprina tajā norādīto datu un vienību mehānisma ietvaros piedāvāto un nodoto transporta enerģijas datu patiesumu un atbilstību.
6.4.Vienību apmaiņas mehānisma izmantošana darījumu ar transporta enerģijas vienībām veikšanai
58.
Komersants, kas nav degvielas piegādātājs, vienību apmaiņas mehānisma ietvaros, var piedāvāt:
58.1.
transporta enerģijas vienību apjomu, kas nepārsniedz biomasas degvielas vai modernās biomasas degvielas apjomu, ko konkrētajā laika periodā minētais komersants ir izmantojis transportlīdzekļos pašpatēriņam vai ko ir realizējis patēriņam transportā, tai skaitā gaisa un jūras transportā;
58.2.
transporta enerģijas vienību apjomu, kas nepārsniedz nebioloģiskas izcelsmes atjaunīgās degvielas apjomu, ko konkrētajā laika periodā minētais komersants ir izmantojis transportlīdzekļos pašpatēriņam vai ko ir realizējis patēriņam transportā, tai skaitā, gaisa un jūras transportā;
58.3.
transporta enerģijas vienību apjomu, kas nepārsniedz pārstrādātā oglekļa degvielu apjomu, ko konkrētajā laika periodā minētais komersants ir izmantojis transportlīdzekļos pašpatēriņam vai ko ir realizējis patēriņam visās transporta nozarēs.
59.
Ja komersants vēlas piedalīties vienību apmaiņas mehānismā, tas energoresursu informācijas sistēmā jebkurā laikā reģistrē attiecīgo pašpatēriņam transportlīdzekļos izmantoto un patēriņam transportā realizēto biomasas degvielas vai modernās biomasas degvielas apjomu, nebioloģiskas izcelsmes atjaunīgās degvielas apjomu vai pārstrādātā oglekļa degvielas apjoms megadžoulos, kas energoresursu informācijas sistēmā tiek pārveidots transporta enerģijas vienībās.
60.
Komersants, energoresursu informācijas sistēmā reģistrējot pašpatēriņam transportlīdzekļos izmantoto un patēriņam transportā realizēto biomasas degvielas vai modernās biomasas degvielas apjomu, nebioloģiskas izcelsmes atjaunīgās degvielas apjomu vai pārstrādātā oglekļa degvielas apjomu, sistēmā apliecina reģistrētā apjoma patiesumu un atbilstību.
61.
Ja komersants vēlas piedalīties vienību apmaiņas mehānismā, tas energoresursu informācijas sistēmā jebkurā laikā reģistrē iegādei vēlamo transporta enerģijas vienību apjomu.
62.
Mehānisma ietvaros komersants, kas nodod attiecīgās transporta enerģijas vienības:
62.1.
pēc nodošanas darījuma uzsākšanas energoresursu informācijas sistēmā reģistrē darījumā iesaistīto transporta enerģijas vienību apjomu, ko sistēma atzīmē kā rezervētu;
62.2.
ievada datus par piedāvāto transporta enerģijas vienību piedāvājumu un pēc darījuma pabeigšanas ievada datus par transporta enerģijas vienību saņēmēju, norādot nodoto transporta enerģijas vienību skaitu un emisiju samazinājumu vienā izmantotās transporta enerģijas vienībā, degvielas piegādātāja, kas to ir saņēmis, nosaukumu, reģistrācijas numuru, līguma datumu un numuru.
63.
Attiecīgās transporta enerģijas vienību saņēmējs apstiprina darījuma pabeigšanu un saņemto vienību apjomu.
64.
Pēc darījuma pabeigšanas apstiprinājuma vienību apmaiņas mehānismā attiecīgās transporta enerģija vienību pircējam iegādātais attiecīgās transporta enerģijas vienību apjoms tiek automātiski iekļauts pircēja vispārīgajā ziņojumā.
65.
Darījumiem ar transporta enerģijas vienībām par iepriekšējo kalendāro gadu ir jābūt pabeigtiem līdz konkrētā gada 31. martam.
66.
Ja komersants piedalās vienību apmaiņas mehānismā un ir nodevis transporta enerģijas vienības degvielas piegādātājam, tas katru gadu līdz 31. martam energoresursu informācijas sistēmā sagatavo un iesniedz ziņojumu par iepriekšējā kalendārā gadā vienību apmaiņas mehānsimā piedāvāto un nodoto transporta enerģijas vienību apjomu, pirms iesniegšanas nodrošinot energoresursu informācijas sistēmā reģistrētā apjoma neatkarīgu auditu, kura ietvaros audita veicējs veic šādas darbības:
66.1.
pārbauda, ka biomasas degviela, nebioloģiskas izcelsmes atjaunīgā degviela vai pārstrādātā oglekļa degviela kā transporta enerģija ir izmantota transportlīdzekļos un ka to degvielas piegādātājs nav realizējis patēriņam transportā Transporta enerģijas likumā noteiktā emisiju intensitātes samazināšanas pienākuma vai transporta enerģijas modernizēšanas pienākuma izpildes ietvaros;
66.2.
pārbauda biomasas degvielas izcelsmes apliecinājumus vai piegādi vai pašpatēriņu pamatojošos dokumentus;
67.
Šo noteikumu 66. punktā minēto auditu veic un vienību apmaiņas mehānismā reģistrētā apjoma atbilstību apstiprina:
67.1.
no komersanta neatkarīga sertifikācijas institūcija, kas darbojas brīvprātīgās shēmas ietvaros atbilstoši Transporta enerģijas likumam un normatīvajiem aktiem par ilgtspēju;
67.2.
neatkarīga sertificēšanas institūcija, kas ir akreditēta vides pārvaldības sistēmas ar nepārtrauktu enerģijas patēriņa izvērtēšanas procesu sertificēšanas sfērā;
67.3.
no komersanta neatkarīgs uzņēmumu energoauditors, kas ir akreditēts uzņēmumu energoauditu veikšanai normatīvo aktu par uzņēmumu energoauditu ietvaros.
68.
Šo noteikumu 67. punktā minētā institūcija, apstiprinot komersanta ziņojumu, apstiprina tajā norādīto datu un vienību mehānisma ietvaros piedāvāto un nodoto transporta enerģijas datu patiesumu un atbilstību.
7.Vispārīgā ziņojuma sagatavošana, iesniegšana, pārbaude un apstiprināšana
7.1.Energoresursu informācijas sistēma
69.
Valsts vides dienests un Valsts ieņēmumu dienests nodrošina degvielas piegādātāju Valsts ieņēmumu dienestam iesniegto akcīzes preču aprites datu no Valsts ieņēmumu dienesta sistēmām ielasi energoresursu informācijas sistēmā.
70.
Valsts vides dienests nodrošina vienību apmaiņas mehānisma sasaisti ar energoresursu informācijas sistēmu, nodrošinot vienību apmaiņu mehānismā saņemto vai nodoto vienību pārsūtīšanu uz konkrētā degvielas piegādātāja vispārīgo ziņojumu.
7.2.Vispārīgā ziņojuma sagatavošana un pārbaude
71.
Degvielas piegādātājs nodrošina, lai ziņojumā iekļautie dati un veiktie aprēķini būtu pilnībā saskaņoti ar normatīvo aktu par transporta enerģijas kvalitātes prasībām, atbilstības novērtēšanu un tirgus uzraudzību.
72.
Vispārīgo ziņojumu pārbauda kompetenta, neatkarīga atbilstības novērtēšanas institūcija, kas akreditēta saskaņā ar Eiropas Komisijas 2018. gada 19. decembra Īstenošanas regulu (ES) 2018/2067 par datu verifikāciju un verificētāju akreditāciju saskaņā ar Eiropas Parlamenta un Padomes Direktīvu 2003/87/EK un atbilstoši normatīvajiem aktiem par atbilstības novērtēšanas institūciju novērtēšanu, akreditāciju un uzraudzību, vai citā Eiropas Savienības dalībvalstī akreditēta validēšanas un verificēšanas institūcija.
73.
Degvielas piegādātājs sagatavoto vispārīgo ziņojumu energoresursu informācijas sistēmā nodod pārbaudei šo noteikumu 72. punktā minētajai institūcijai, kas:
73.1.
pārbauda un apstiprina ziņojumā iekļauto biodegvielu apjomu atbilstību normatīvos aktos par transporta enerģijas kvalitātes prasības un atbilstības kvalitātes prasībām nodrošināšana, transporta enerģijas tirgus uzraudzība un transporta enerģijas pienākumu izpildes kontrole ietvaros izsniegtajiem degvielas piegādātāja biodegvielas pašapliecinājumiem, kas ir pievienoti degvielas sūtījumam;
73.2.
pārbauda un apstiprina, ka ziņotā modernā biodegviela vai modernā biomasas degviela atbilst modernās biodegvielas vai modernās biomasas degvielas kritērijiem;
73.3.
pārbauda un apstiprina, ka elektroenerģijas daudzums ir izmantots uzlādei elektrotransportlīdzekļos, tai skaitā informācija par tiem uzlādes punktiem, kuros uzlādētais elektroenerģijas daudzums ir iekļauts vispārīgajā ziņojumā;
73.4.
pārbauda un apstiprina, ka biomasas degviela ir izmantota uzpildei transportlīdzekļos;
73.5.
pārbauda un apstiprina ziņotās nebioloģiskas izcelsmes atjaunīgās degvielas un pārstrādātā oglekļa degviela ir izmantota transportlīdzekļos;
73.6.
pārbauda un apstiprina biodegvielas, biomasas degvielas, nebioloģiskas izcelsmes atjaunīgās degvielas un pārstrādātā oglekļa degvielas atbilstību normatīvajos aktos par ilgtspēju noteiktajiem ilgtspējas un emisiju ietaupījumu kritērijiem un vērtībām un pārbauda atbilstību apliecinošos dokumentus;
73.7.
pārbauda un apstiprina, ka ir izpildīti šo noteikumu 7.1. apakšpunktā minētie nosacījumi;
73.8.
izvērtē minētā ziņojuma atbilstību šo noteikumu prasībām, kā arī tieši piemērojamiem Eiropas Savienības tiesību aktiem atjaunojamās enerģijas veicināšanas jomā.
74.
Šo noteikumu 72. punktā minētā institūcija energoresursu informācijas sistēmā, apstiprinot vispārīgo ziņojumu sniedz atzinumu par ziņojuma atbilstību vai neatbilstību šo noteikumu prasībām un apliecina šo noteikumu 73.2., 73.3., 73.4., 73.6. un 73.7. apakšpunktā minētās informācijas atbilstību.
7.3.Vispārīgā ziņojuma iesniegšana un izvērtēšana
75.
Degvielas piegādātājs, izmantojot energoresursu informācijas sistēmu, vispārīgo ziņojumu iesniedz Valsts vides dienests, kas 30 dienu laikā pēc ziņojuma saņemšanas, izmantojot energoresursu informācijas sistēmu, pieņem vispārīgo ziņojumu, ja tajā netiek konstatētas neatbilstības.
76.
Ja, veicot izvērtējumu, vispārīgajā ziņojumā tiek konstatētas neatbilstības, Valsts vides dienests 30 dienu laikā pēc ziņojuma saņemšanas energoresursu informācijas sistēmā noraida iesniegto vispārīgo ziņojumu, norādot noraidīšanas iemeslus un termiņu, kura laikā ziņojums ir jāprecizē un jānodrošina precizētā ziņojuma pārbaude atbilstoši šo noteikumu 73. un 74. punktam, un vispārīgais ziņojums atkārtoti jāiesniedz Valsts vides dienestam. Ja Valsts vides dienesta noteiktajā termiņā vispārīgais ziņojums netiek precizēts, tad tiek uzskatīts, ka vispārīgais ziņojums nav iesniegts.
77.
Valsts vides dienests ir tiesīgs pieprasīt degvielas piegādātājam sniegt papildu informāciju un skaidrojumus, un degvielas piegādātājam un vienību apmaiņas mehānismā iesaistītajam komersantam ir pienākums sniegt prasīto informāciju Valsts vides dienesta noteiktajā termiņā.
78.
Valsts vides dienests pēc visu vispārīgo ziņojumu pieņemšanas ziņojumos iekļautos apkopotos datus iesniedz Centrālai statistikas pārvaldei valsts atjaunīgās enerģijas datu aprēķinam Latvijas atjaunīgās enerģijas ražošanas un izmantošanas saistību izpildei 
8.Aviācijas degvielas piegādātāja ziņojuma pārbaude
79.
Komisijas 2022.gada 14.jūnija Īstenošanas regulas (ES) Nr. 2022/996 par ilgtspējas kritēriju, siltumnīcefekta gāzu emisiju aiztaupījuma kritēriju un zema netiešas zemes izmantojuma maiņas riska kritēriju verifikācijas noteikumiem 2.panta 28.punktā minētajā Savienības datubāzē Eiropas Parlamenta un Padomes 2023.gada 18.oktobra regulas (ES) 2023/2405 par vienlīdzīgu konkurences apstākļu nodrošināšanu ilgtspējīgam gaisa transportam (turpmāk - Regula 2023/2405) 3.panta 19.punktā minētais aviācijas degvielas piegādātāja ievadīto informāciju verificē un pārbauda šo noteikumu 72. punktā noteiktā institūcija.
80.
Šo noteikumu 72. punktā minētā institūcija pārbauda Savienības datubāzē ievadīto Regulas 2023/2405 10.panta 1.rindkopā noteikto informāciju.
9.Detalizētā moderno biodegvielu un Transporta enerģijas likuma pielikuma B daļā iekļauto izejvielu saraksta aktualizēšana
81.
Transporta enerģijas apritē iesaistītā persona ir tiesīga iesniegt Klimata un enerģētikas ministrijā informācija par transporta enerģijas izejvielām, kuras būtu iekļaujamas šo noteikumu 1. pielikumā iekļautajā izejvielu sarakstā, pievienojot detalizētu pamatojumu par noteikto izejvielu atbilstību Transporta enerģijas pielikuma A vai B daļā noteikto izejvielu kategorijai, vai kuras būtu svītrojamas no minētā izejvielu saraksta.
82.
Klimata un enerģētikas ministrija izvērtē šo noteikumu 81. punktā minēto informāciju, ja nepieciešams konsultējoties ar nozares pārstāvjiem un piesaistot zinātniskās institūcijas.
83.
Ņemot vērā Klimata un enerģētikas ministrijas veikto izvērtējumu, ja nepieciešams, Klimata un enerģētikas ministrs ierosina grozījumus šajos noteikumos, lai veiktu attiecīgos grozījumus šo noteikumu 1. pielikumā iekļautajā izejvielu sarakstā.
84.
Klimata un enerģētikas ministrs ierosina arī grozījumus šajos noteikumos, lai veiktu attiecīgos grozījumus šo noteikumu 1. pielikumā iekļautajā izejvielu sarakstā, ja Klimata un enerģētikas ministrija ir saņēmusi tādu informāciju, kas nav šo noteikumu 81. punktā minētā informācija, kā rezultātā izejvielu sarakstu ir nepieciešams grozīt.
10.Noslēguma jautājumi
85.
Šo noteikumu 26. punkts ir piemērojams par periodu līdz 2030. gada 31. decembrim.
86.
Šo noteikumu 6. un 7. nodaļa stājas spēkā 2027. gada 1. janvārī. Līdz šo noteikumu 6. un 7. nodaļā minētās sistēmas funkcionalitātes izstrādei degvielas piegādātājs vispārīgo ziņojumu iesniedz elektroniska dokumenta veidā atbilstoši normatīvajiem aktiem par elektronisko dokumentu noformēšanu, informāciju iekļaujot vispārīgajā ziņojumā.
87.
Šo noteikumu 2. un 5. nodaļa stājas spēkā 2030. gada 1. janvārī. 
88.
Šo noteikumu 72., 73. un 74. punkts stājas spēkā 2030. gada 1. janvārī.
Informatīva atsauce uz Eiropas Savienības direktīvām
Noteikumos iekļautas tiesību normas, kas izriet no:
1)
Eiropas Parlamenta un Padomes 2018. gada 11. decembra direktīvas (ES) 2018/2001 par no atjaunojamajiem energoresursiem iegūtas enerģijas izmantošanas veicināšanu.
2)
Eiropas Parlamenta un Padomes 2023.gada 18.oktobra direktīvas (ES) 2023/2413, ar ko attiecībā uz atjaunīgo energoresursu enerģijas izmantošanas veicināšanu groza Direktīvu (ES) 2018/2001, Regulu (ES) 2018/1999 un Direktīvu 98/70/EK un atceļ Padomes Direktīvu (ES) 2015/652.
Ministru prezidents V. Uzvārds
Ministrs V. Uzvārds
1.
pielikums
Ministru kabineta
[23-TA-1986 Dt]
noteikumiem Nr.
[23-TA-1986 Nr]
Detalizēts moderno biodegvielu un Transporta enerģijas likuma pielikuma B daļā iekļauto izejvielu saraksts
2.
pielikums
Ministru kabineta
[23-TA-1986 Dt]
noteikumiem Nr.
[23-TA-1986 Nr]
Transporta enerģijas saturs (energoietilpība)

1. Transporta enerģija, ko iegūst no biomasas un/vai biomasas pārstrādes darbībām

Transporta enerģijas veidsEnerģijas saturs (energoietilpība) pēc masas (zemākā siltumspēja, megadžouli uz kilogramu)Enerģijas saturs (energoietilpība) pēc tilpuma (zemākā siltumspēja, megadžouli uz litru)
Biopropāns4624
Tīra augu eļļa (nerafinēta vai rafinēta, ķīmiski nemodificēta eļļa, ko spiežot, ekstrahējot vai ar līdzvērtīgiem paņēmieniem iegūst no eļļas augiem)3734
Biodīzeļdegviela — taukskābju metilesteris (no biomasas izcelsmes eļļas iegūts metilesteris)3733
Biodīzeļdegviela — taukskābju etilesteris (no biomasas izcelsmes eļļas iegūts etilesteris)3834
Biomasas degviela, ko iespējams attīrīt līdz dabasgāzes kvalitātei50-
Biomasas izcelsmes hidroapstrādāta (termoķīmiski apstrādāta ar ūdeņradi) eļļa, ko paredzēts izmantot dīzeļdegvielas aizstāšanai4434
Biomasas izcelsmes hidroapstrādāta (termoķīmiski apstrādāta ar ūdeņradi) eļļa, ko paredzēts izmantot benzīna aizstāšanai4530
Biomasas izcelsmes hidroapstrādāta (termoķīmiski apstrādāta ar ūdeņradi) eļļa, ko paredzēts izmantot reaktīvo dzinēju degvielas aizstāšanai4434
Biomasas izcelsmes hidroapstrādāta (termoķīmiski apstrādāta ar ūdeņradi) eļļa, ko paredzēts izmantot sašķidrinātās naftas gāzes aizstāšanai4624
Biomasas vai pirolizētas biomasas izcelsmes līdzpārstrādāta eļļa (rafinētavā pārstrādāta vienlaicīgi ar fosilo degvielu), ko paredzēts izmantot dīzeļdegvielas aizstāšanai4336
Biomasas vai pirolizētas biomasas izcelsmes līdzpārstrādāta eļļa (rafinētavā pārstrādāta vienlaicīgi ar fosilo degvielu), ko paredzēts izmantot benzīna aizstāšanai4432
Biomasas vai pirolizētas biomasas izcelsmes līdzpārstrādāta eļļa (rafinētavā pārstrādāta vienlaicīgi ar fosilo degvielu), ko paredzēts izmantot reaktīvo dzinēju degvielas aizstāšanai4333
Biomasas vai pirolizētas biomasas izcelsmes līdzpārstrādāta eļļa (rafinētavā pārstrādāta vienlaicīgi ar fosilo degvielu), ko paredzēts izmantot sašķidrinātās naftas gāzes aizstāšanai4623

 

2. Atjaunīgā transporta enerģija, ko var ražot no dažādiem atjaunīgiem energoresursiem, tai skaitā no biomasas

Transporta enerģijas veidsEnerģijas saturs (energoietilpība) pēc masas (zemākā siltumspēja, megadžouli uz kilogramu)Enerģijas saturs (energoietilpība) pēc tilpuma (zemākā siltumspēja, megadžouli uz litru)

No atjaunīgiem energoresursiem iegūts metanols

2016
No atjaunīgiem energoresursiem iegūts etanols2721
No atjaunīgiem energoresursiem iegūts propanols3125
No atjaunīgiem energoresursiem iegūts butanols3327
Fišera–Tropša dīzeļdegviela (sintētiskais ogļūdeņradis vai sintētisko ogļūdeņražu maisījums, ko paredzēts izmantot dīzeļdegvielas aizstāšanai)4434
Fišera–Tropša benzīns (no biomasas iegūts sintētiskais ogļūdeņradis vai sintētisko ogļūdeņražu maisījums, ko paredzēts izmantot benzīna aizstāšanai)4433
Fišera–Tropša reaktīvo dzinēju degviela (no biomasas iegūts sintētiskais ogļūdeņradis vai sintētisko ogļūdeņražu maisījums, ko paredzēts izmantot reaktīvo dzinēju degvielas aizstāšanai)4433
Fišera–Tropša sašķidrinātā naftas gāze (sintētiskais ogļūdeņradis vai sintētisko ogļūdeņražu maisījums, ko paredzēts izmantot sašķidrinātās naftas gāzes aizstāšanai)4624
DME (dimetilēteris)2819
No atjaunīgiem energoresursiem iegūts ūdeņradis120-
ETBE (uz etanola bāzes iegūts etil-terc-butilēteris)36 (no kuriem 33 % veido atjaunīgie energoresursi)27 (no kuriem 33 % veido atjaunīgie energoresursi)
MTBE (uz metanola bāzes iegūts metil-terc-butilēteris)35 (no kuriem 22 % veido atjaunīgie energoresursi)26 (no kuriem 22 % veido atjaunīgie energoresursi)
TAEE (uz etanola bāzes iegūts terc-amiletilēteris)38 (no kuriem 29 % veido atjaunīgie energoresursi)29 (no kuriem 29 % veido atjaunīgie energoresursi)
TAME (uz etanola bāzes iegūts terc-amilmetilēteris)36 (no kuriem 18 % veido atjaunīgie energoresursi)28 (no kuriem 18 % veido atjaunīgie energoresursi)
THxEE (uz etanola bāzes iegūts terc-heksiletilēteris)38 (no kuriem 25 % veido atjaunīgie energoresursi)30 (no kuriem 25 % veido atjaunīgie energoresursi)
THxME (uz etanola bāzes iegūts terc-heksilmetilēteris)38 (no kuriem 14 % veido atjaunīgie energoresursi)30 (no kuriem 14 % veido atjaunīgie energoresursi)

 

3. Fosilās izcelsmes transporta enerģija

Transporta enerģijas veidsEnerģijas saturs (energoietilpība) pēc masas (zemākā siltumspēja, megadžouli uz kilogramu)Enerģijas saturs (energoietilpība) pēc tilpuma (zemākā siltumspēja, megadžouli uz litru)
Benzīns4332
Dīzeļdegviela4336
Reaktīvo dzinēju degviela4334
No energoresursiem, kas nav atjaunīgie energoresursi, iegūts ūdeņradis120-