28. panta otro daļu, 28.1 panta otro daļu,
30.4 panta trešo daļu, 31.1 panta devīto daļu,
31.2 panta trešo un piekto daļu, 31.3 panta trešo daļu,
31.4 panta ceturto daļu un 31.5 panta trešo daļu
| AOI = | Ap | × Pf, kur |
| Pp |
AOI – kalendāra gadā obligātā iepirkuma ietvaros iepērkamās elektroenerģijas apjoms (MWh);
Ap – kalendāra gadā obligātā iepirkuma ietvaros iepērkamās elektroenerģijas apjoms (MWh), kas noteikts šo noteikumu 2.2. apakšpunktā minētajā lēmumā;
Pp – plānotā koģenerācijas stacijas elektriskā jauda (MW), kas norādīta šo noteikumu 2.1. apakšpunktā minētajā iesniegumā;
Pf – koģenerācijas stacijā uzstādītā elektriskā jauda (MW), kas norādīta šo noteikumu 2.3. apakšpunktā minētajā līgumā, pārskata gada beigās."
32.1. datus par koģenerācijas staciju darbību – saražoto elektroenerģiju, koģenerācijas stacijā patērēto elektroenerģiju, izmantoto koģenerācijas stacijas tehnoloģiju, biogāzes ražošanai izmantotās izejvielas, to apjomu un dokumentus, kas pamato izejvielu izcelsmi un apjomu, kopējo uzstādīto elektrisko un siltuma jaudu, dokumentus, kas pamato siltumenerģijas lietderīgu izlietojumu, aprakstu un aprēķinu par izmantotā kurināmā siltumspējas noteikšanu, aprakstu par izmantotā kurināmā apjoma noteikšanu un paskaidrojuma rakstu par pārskata gadā veiktajām izmaiņām elektrostacijā, ja šādas izmaiņas ietekmē gada pārskatā norādāmos datus, tai skaitā norādot koģenerācijas stacijas elementus, kurus skar attiecīgās izmaiņas;
32.2. akreditētas institūcijas (turpmāk – auditors) ziņojumu par saražoto siltumenerģiju, lietderīgo siltumenerģiju un patērēto kurināmo, tai skaitā izejvielu īpatsvaru atbilstoši šo noteikumu 73. un 75. punktam, ar norādi par koģenerācijas stacijas atbilstību minētajiem kritērijiem, minētā auditora sagatavotu detalizētu ziņojumu par biomasas vai biogāzes koģenerācijas stacijas gada pārskatā sniegtās informācijas atbilstību un pamatotību, kā arī par veiktajām darbībām un pārbaudītajiem dokumentiem, tostarp pievieno sarakstu, kurā norādīti šo noteikumu 21. punktā minēto mērīšanas līdzekļu numuri un verificēšanas vai kalibrēšanas termiņi;
32.3. dokumentus, kas pamato siltumenerģijas lietderīgu izlietojumu;
32.4. sabiedrisko pakalpojumu regulēšanas komisijas lēmuma kopiju par siltumenerģijas tarifu (ja siltumenerģijas tarifu apstiprinājis regulators);
32.5. informāciju par elektrostacijas pamatlīdzekļu nolietojumu."
37.1. visu spēkā esošo lēmumu sarakstu, atbilstoši kuriem komersantam piešķirtas obligātā iepirkuma tiesības vai garantētās maksas tiesības, norādot lēmumu izsniegšanas datumu, komersanta nosaukumu, elektrostacijas veidu, uzstādīto jaudu un elektroenerģijas apjomu gadā, ko komersants tiesīgs pārdot obligātā iepirkuma ietvaros;
37.2. līdz katra gada 1. martam – kopējo iepriekšējā gadā izmaksātā atbalsta summu pa mēnešiem, kas komersantam izmaksāta iepriekšējā gadā elektroenerģijas obligātā iepirkuma ietvaros, atbalsta apjomu pa mēnešiem virs elektroenerģijas tirgus cenas, komersanta nosaukumu, elektrostacijas veidu, uzstādīto jaudu un obligātā iepirkuma ietvaros iepirkto elektroenerģijas apjomu pa mēnešiem;
37.3. līdz katra gada 1. septembrim – summu pa mēnešiem, kas komersantam elektroenerģijas obligātā iepirkuma ietvaros izmaksāta līdz kārtējā gada 30. jūnijam, atbalsta apjomu pa mēnešiem virs elektroenerģijas tirgus cenas, komersanta nosaukumu, elektrostacijas veidu, uzstādīto jaudu, obligātā iepirkuma ietvaros iepirkto elektroenerģijas apjomu pa mēnešiem un kopējo izmaksātā atbalsta summu."
46.1. komersants šo noteikumu 32. punktā minētajā pārskatā norāda oficiālo elektronisko adresi saziņai ar dienestu, kontaktpersonu (arī tās elektroniskā pasta adresi un tālruņa numuru), ar kuru dienests var sazināties saistībā ar dienesta plānotajām pārbaudēm, kā arī kontaktpersonu (arī tās tālruņa numuru), kura var nodrošināt dienesta pārstāvjiem piekļuvi koģenerācijas stacijai. Komersants piecu darbdienu laikā informē dienestu par izmaiņām minētajā kontaktinformācijā;
46.2. dienests ir tiesīgs elektrostacijā veikt plānotu vai neplānotu pārbaudi;
46.3. dienests brīdina komersantu par plānotās pārbaudes veikšanas datumu vismaz trīs darbdienas iepriekš. Informāciju par plānoto pārbaudi dienests nosūta komersantam uz šo noteikumu 46.1. apakšpunktā minētajām elektroniskā pasta adresēm. Ja dienesta noteiktajā datumā komersants nevar nodrošināt dienesta pārstāvjiem iespēju veikt koģenerācijas stacijas pārbaudi, dienests atkārtoti nosaka pārbaudes veikšanas datumu ne vēlāk kā trīs darbdienas pēc sākotnēji noteiktā datuma;
46.4. ja dienesta pārstāvji ieradušies elektrostacijā bez iepriekšēja brīdinājuma un komersants nevar nodrošināt tiem iespēju veikt koģenerācijas stacijas pārbaudi, dienesta pārstāvji ne vēlāk kā trīs darbdienas pēc pirmās ierašanās koģenerācijas stacijā atkārtoti ierodas elektrostacijā, lai veiktu pārbaudi;
46.5. ja komersants nav nodrošinājis dienesta pārstāvjiem iespēju veikt koģenerācijas stacijas pārbaudi, dienests nekavējoties pieņem lēmumu apturēt valsts atbalsta izmaksu par iepirkto elektroenerģiju vai garantētās maksas par koģenerācijas stacijā uzstādīto elektrisko jaudu izmaksu par periodu no lēmuma spēkā stāšanās dienas līdz šo noteikumu 46.9.1. vai 46.10. apakšpunktā minētā lēmuma pieņemšanas dienai;
46.6. ja komersants saskaņā ar šo noteikumu 46.3. un 46.4. apakšpunktu atkārtoti nenodrošina dienesta pārstāvjiem iespēju veikt koģenerācijas stacijas pārbaudi, dienests mēneša laikā pēc atkārtoti noteiktā pārbaudes veikšanas datuma pieņem lēmumu, ar kuru atceļ komersantam piešķirtās obligātā iepirkuma tiesības;
46.7. dienesta pārstāvji pārbaudes veikšanas laikā koģenerācijas stacijā, par to brīdinot komersantu, ir tiesīgi veikt foto un video fiksāciju, ievērojot normatīvos aktus par personu datu aizsardzību;
46.8. dienests mēneša laikā pēc dienesta pārstāvju veiktās pārbaudes sagatavo pārbaudes aktu un nosūta to komersantam. Pārbaudes aktā norāda veiktajā pārbaudē konstatēto.
46.9. pēc šo noteikumu 46.3. vai 46.4. apakšpunktā minētās atkārtotās pārbaudes veikšanas atkarībā no šo noteikumu 46.8. apakšpunktā minētā pārbaudes aktā konstatētā dienests veic vienu no šādām darbībām:
46.9.1. ja dienests guvis pārliecību, ka koģenerācijas stacijas darbībā tiek nodrošinātas šajos noteikumos un Elektroenerģijas tirgus likumā noteiktās prasības, tas pieņem lēmumu par saskaņā ar šo noteikumu 46.5. apakšpunktu apturētās valsts atbalsta izmaksas atsākšanu. Publiskais tirgotājs apturēto valsts atbalsta izmaksu veic 10 kalendāra dienu laikā pēc minētā lēmuma spēkā stāšanās dienas;
46.9.2. ja dienests koģenerācijas stacijas darbībā konstatējis šo noteikumu vai Elektroenerģijas tirgus likuma pārkāpumus, tas izsaka brīdinājumu vai pieņem lēmumu atbilstoši šajos noteikumos noteiktajam;
46.10. ja dienests pēc šo noteikumu 46.3. vai 46.4. apakšpunktā minētās atkārtotās pārbaudes veikšanas izteicis brīdinājumu un pārkāpums, par kuru izteikts brīdinājums, ir novērsts, dienests pieņem lēmumu par saskaņā ar šo noteikumu 46.5. apakšpunktu apturētās valsts atbalsta izmaksas atsākšanu. Publiskais tirgotājs apturēto valsts atbalsta izmaksu veic 10 kalendāra dienu laikā pēc minētā lēmuma spēkā stāšanās dienas."
47.1. koģenerācijas stacijā uzstādītā elektriskā jauda, kas pieslēgta sistēmas operatora tīklam, neatbilst šo noteikumu 2.3. apakšpunktā minētajā līgumā norādītajai jaudai;
47.2. komersants nav iesniedzis dienestā šo noteikumu 21.1. un 21.2. apakšpunktā minēto mērīšanas līdzekļu (izņemot sistēmas operatora komercuzskaites mēraparātus) verificēšanas sertifikātus vai dienests konstatē, ka koģenerācijas stacijā uzstādītie mērīšanas līdzekļi nav atbilstoši šo noteikumu 21.1. vai 21.2. apakšpunktā minētajām prasībām;
47.3. koģenerācijas stacija neatbilst normatīvajiem aktiem, kas nosaka prasības koģenerācijas staciju darbībai enerģētikas jomā, vai konstatēta tāda neatbilstība šo noteikumu prasībām, par kuru nav noteikta brīdinājuma izteikšana vai lēmuma pieņemšana saskaņā ar kādu citu šo noteikumu punktu, ja šī neatbilstība var ietekmēt izmaksājamā valsts atbalsta apmēru.
47.4. koģenerācijas stacijā neatrodas uzskaites dati par esošo un iepriekšējo kalendāra gadu vai tie nav tikuši uzrādīti dienesta pārstāvjiem pārbaudes veikšanas brīdī;
47.5. komersanta iesniegtā šo noteikumu 74. punktā minētā informācija vai informācija par koģenerācijas stacijā patērēto kurināmā daudzumu un lietderīgās siltumenerģijas daudzumu, ko komersants iesniedz publiskajam tirgotājam, vai šo noteikumu 32. punktā minētajā gada pārskatā minētā informācija neatbilst faktiskajai situācijai un šāda minētās informācijas neatbilstība ietekmējusi izmaksājamā valsts atbalsta apmēru, tādējādi publiskais tirgotājs iepircis elektroenerģiju obligātā iepirkuma ietvaros par lielāku cenu vai lielākā apmērā, nekā pienāktos."
48.1. ja konstatē, ka koģenerācijas stacijā izmantotās tehnoloģijas veids vai kurināmais neatbilst informācijai, kas norādīta šo noteikumu 2.1. apakšpunktā minētajā iesniegumā, vai elektrostacijā izmantotais kurināmais neatbilst šo noteikumu 2.2. apakšpunktā minētajā lēmumā noteiktajam. Dienests lēmumu pieņem mēneša laikā pēc šo noteikumu 46.8. apakšpunktā minētā pārbaudes akta sagatavošanas;
48.2. ja komersantam pasludina maksātnespējas procesu. Dienests lēmumu pieņem piecu darbdienu laikā no brīža, kad konstatēts fakts par komersanta maksātnespējas procesa pasludināšanu;
48.3. ja šo noteikumu 2.2. apakšpunktā minētajā lēmumā noteiktajā termiņā nav uzsākta elektroenerģijas ražošana;
48.4. ja nav nodrošināta siltumenerģijas lietderīga izmantošana;
48.5. ja netiek veikta kurināmā vai kurināmā izejvielu uzskaite atbilstoši šo noteikumu 21. punktam vai koģenerācijas stacijā nav uzstādīti mērīšanas līdzekļi vai mērīšanas līdzekļu sistēmas;
48.6. ja koģenerācijas stacijā izmantotā kurināmā izejviela neatbilst šo noteikumu 73. punktam;
48.7. ja koģenerācijas elektrostacijā netiek nodrošināta saražotās elektroenerģijas izlietošana koģenerācijas elektrostacijas darbības nodrošināšanai.
48.8. koģenerācijas stacija atbilstoši šo noteikumu 39. punktam veiktajam izvērtējumam neatbilst šo noteikumu 8. vai 13. punktā minētajiem kritērijiem;
48.9. ja konstatē, ka koģenerācijas stacijas darbības rādītāji, par kuriem iesniegts šo noteikumu 31.3 punktā minētais apliecinājums, attiecīgajā periodā ir bijuši atbilstoši izcelsmes apliecinājumu izsniegšanas nosacījumiem saskaņā ar prasībām, kuras noteiktas līgumā, kas noslēgts starp pārvades sistēmas operatoru un Eiropas Enerģijas sertifikācijas izcelsmes apliecinājumu sistēmu pārvaldītāju;
48.10. ja konstatē, ka komersants ir zaudējis elektrostacijas īpašuma vai lietojuma tiesības."
49.1. izvērtē, vai dokumenti, ko komersants pievienojis šo noteikumu 32. punktā norādītajam gada pārskatam, pierāda, ka lietderīgā siltumenerģija tiek pārdota siltumenerģijas lietotājam vai izmantota apkures, ventilācijas, karstā ūdens apgādes vai tehnoloģiskā siltumenerģijas patēriņa nodrošināšanai savā uzņēmumā, kas nav koģenerācijas stacijas pašpatēriņš;
49.2. pārbauda šo noteikumu 49.1. apakšpunktā minēto dokumentu atbilstību īstenībai, kā arī to, vai elektrostacijā saražotā siltumenerģija ir izmantota ekonomiski pamatota siltumapgādes vai dzesēšanas pieprasījuma apmierināšanai."
49.21. konstatējot, ka neatbilstība vienotā tehnoloģiskā cikla principam ir novērsta, pieņem lēmumu par saskaņā ar šo noteikumu 49.1 punktu apturētā valsts atbalsta atsākšanu. Publiskais tirgotājs apturēto valsts atbalstu atsāk no minētā lēmuma spēkā stāšanās dienas vai, ja neatbilstības novēršanai elektrostacijas tikušas apvienotas atbilstoši šo noteikumu 49.5 punktam, no šo noteikumu 49.5 punktā minēto lēmuma grozījumu spēkā stāšanās dienas;
49.22. konstatējot, ka neatbilstība vienotā tehnoloģiskā cikla principam nav novērsta, par to informē komersantu un saskaņā ar šo noteikumu 49.1 punktu apturēto valsts atbalstu neatsāk."
50.1. neuzsāk elektroenerģijas ražošanu koģenerācijā šo noteikumu 2.2. apakšpunktā minētajā lēmumā noteiktajā termiņā;
50.2. nesaņem sistēmas operatora atļauju pieslēgt sistēmai koģenerācijas staciju ar elektrisko jaudu, kas ir vismaz 50 % no plānotās koģenerācijas stacijas elektriskās jaudas, kura norādīta šo noteikumu 2.1. apakšpunktā minētajā iesniegumā;
50.3. nenoslēdz šo noteikumu 2.3. apakšpunktā minēto līgumu ar publisko tirgotāju vai minētais līgums nestājas spēkā triju mēnešu laikā pēc dienas, kad iestājies termiņš elektroenerģijas ražošanas koģenerācijā uzsākšanai, kas noteikts šo noteikumu 2.2. apakšpunktā minētajā lēmumā."
J – jaudas komponente par vienu uzstādīto elektrisko megavatu gadā (euro/MW gadā);
s – cenas diferencēšanas koeficients pārkompensācijas novēršanai, kas noteikts ministrijas, biroja, aģentūras vai dienesta lēmumā par cenas diferencēšanas koeficienta piemērošanu pārkompensācijas novēršanai."
C – cena bez pievienotās vērtības nodokļa, par kādu publiskais tirgotājs iepērk koģenerācijā saražoto elektroenerģiju (euro/MWh);
kAER – cenas diferencēšanas koeficients atjaunīgos energoresursus vai kūdru izmantojošām elektrostacijām, kas atkarīgs no koģenerācijas stacijā uzstādītās elektriskās jaudas;
s – cenas diferencēšanas koeficients pārkompensācijas novēršanai, kas noteikts ministrijas, biroja, aģentūras vai dienesta lēmumā par cenas diferencēšanas koeficienta piemērošanu pārkompensācijas novēršanai;".
| C = | (Tgs × 10,538 + kgst + kgpu) | × k × 3,4 × s |
| 9,3 |
Tgs – Enerģētikas likumā noteiktajā kārtībā noteiktajā dabasgāzes cenā saistītajiem lietotājiem iekļautā dabasgāzes tirdzniecības cena bez pievienotās vērtības nodokļa (euro/MWh);
kgst – dabasgāzes cenas diferencēšanas koeficients, kas atkarīgs no koģenerācijas stacijā uzstādītās elektriskās jaudas;
kgpu – dabasgāzes pārvades un uzglabāšanas koeficients;
k – cenas diferencēšanas koeficients, kas atkarīgs no koģenerācijas stacijā uzstādītās elektriskās jaudas;
s – cenas diferencēšanas koeficients pārkompensācijas novēršanai, kas noteikts ministrijas, biroja, aģentūras vai dienesta lēmumā par cenas diferencēšanas koeficienta piemērošanu pārkompensācijas novēršanai;".
| M = | 136186 × P × s | , kur |
| 12 |
M – garantētā maksa par koģenerācijas stacijā vai šīs elektrostacijas koģenerācijas iekārtā uzstādīto elektrisko jaudu (euro/mēnesī);
P – koģenerācijas stacijas vai koģenerācijas iekārtas uzstādītā elektriskā jauda, kas atbilst iekārtu izgatavotāja noteikto bruto jaudu summai (MW);
s – cenas diferencēšanas koeficients pārkompensācijas novēršanai, kas noteikts ministrijas, biroja, aģentūras vai dienesta lēmumā par cenas diferencēšanas koeficienta piemērošanu pārkompensācijas novēršanai;".
C – cena bez pievienotās vērtības nodokļa, par kādu publiskais tirgotājs iepērk no koģenerācijas stacijas elektroenerģiju (euro/MWh) periodā, kurā apturēts valsts atbalsts;
CNPS – elektroenerģijas biržas Nord Pool AS Latvijas tirdzniecības apgabala nākamās dienas elektroenerģijas tirgus (Day-Ahead) tirdzniecības intervāla cena;
X – publiskā tirgotāja noteikta maksa, kas ietver pārdošanas un balansēšanas izmaksas un kuru publiskais tirgotājs publicē savā tīmekļvietnē;".
81.31. ja tiek konstatētas koģenerācijas stacijas uzstādītās elektriskās vai siltuma jaudas izmaiņas, tostarp īstenojot šo noteikumu 49.4 punktā minēto apvienošanu;
81.32. ja tiek pārskatītas un mainītas šo noteikumu 8. pielikumā minētās vērtības;
81.33. ja tiek konstatēti koģenerācijas stacijas pārkompensācijas riski;
81.34. mēneša laikā no brīža, kad komersantam ir beigušās obligātā iepirkuma tiesības vai garantētās maksas tiesības;
81.35. mēneša laikā no brīža, kad komersants saskaņā ar šo noteikumu 19. punktu ir iesniedzis iesniegumu par atteikšanos no obligātā iepirkuma tiesībām vai garantētās maksas tiesībām, vai no brīža, kad pieņemts lēmums par obligātā iepirkuma tiesību vai garantētās maksas tiesību atcelšanu pirms obligātā iepirkuma tiesību vai garantētās maksas tiesību beigu datuma."
81.81. aprēķinā izmanto šo noteikumu 8. pielikumā minētās formulas;
81.82. aprēķinam nepieciešamos datus par elektroenerģijas apjomu un cenu, kas iepirkta obligātā iepirkuma ietvaros, dienests pieprasa publiskajam tirgotājam;
81.83. aprēķinā norāda koģenerācijas stacijas darbību raksturojošo rādītāju faktiskās vērtības gan ieņēmumu, gan izdevumu daļā, izņemot koģenerācijas stacijas ekspluatācijas izmaksu vērtības, ko nosaka atbilstoši šo noteikumu 8. pielikumā minētajām līmeņatzīmēm;
81.84. elektrostacijas ekspluatācijas izmaksas nosaka atbilstoši šo noteikumu 8. pielikumā minētajām līmeņatzīmēm procentuāli no koģenerācijas stacijā veiktajām investīcijām un atkarībā no koģenerācijas stacijas veida;
81.85. ja komersants nevar iesniegt koģenerācijas stacijā veikto sākotnējo investīciju faktiskos datus, tad, veicot aprēķinu, tiek pieņemts, ka koģenerācijas stacijā veikto sākotnējo investīciju apjoms ir vienāds ar 0 (izņemot šo noteikumu 81.89. apakšpunktā minēto gadījumu);
81.86. ja komersants par kādu koģenerācijas stacijas darbības periodu nevar iesniegt kurināmā cenas vai siltumenerģijas ražošanas tarifa faktiskos datus, tad aprēķinā par šo periodu, kas nav īsāks par vienu kalendāra mēnesi, izmanto šo noteikumu 8. pielikumā minētās līmeņatzīmes;
81.87. ja koģenerācijas stacijā saražotā elektroenerģija tiek pārdota ārpus obligātā iepirkuma, komersants iesniedz pārdotās elektroenerģijas apjoma un cenas faktiskās vērtības par katru norēķinu periodu;
81.88. tīrās naudas plūsmas aprēķinā iekļauj tikai tās koģenerācijas stacijā veiktās faktiskās papildu investīcijas, kas veiktas, lai atbilstoši ražošanas tehnoloģijai nodrošinātu koģenerācijas stacijas tehnoloģiskās funkcijas atbilstoši vienotā tehnoloģiskā cikla principam vai palielinātu koģenerācijas stacijas elektrisko jaudu. Tīrās naudas plūsmas aprēķinā papildu investīciju apjomu (izteiktu euro vērtībā) iekļauj gadā, kurā tās tikušas veiktas;
81.89. ja komersants sākotnējās investīcijas koģenerācijas stacijā ir veicis, pirms ir pieņemts lēmums par obligātā iepirkuma tiesību vai garantētās maksas tiesību piešķiršanu saskaņā ar Elektroenerģijas tirgus likuma 28. vai 28.1 pantu, aprēķinā norāda koģenerācijas stacijā veikto sākotnējo investīciju faktiskās vērtības vai nosaka tās saskaņā ar šo noteikumu 8. pielikumā minētajām līmeņatzīmēm;
81.810. koģenerācijas stacijām, par kurām tiek maksāta garantētā maksa par koģenerācijas stacijā uzstādīto elektrisko jaudu, elektroenerģijas cena nākotnes periodiem jāpamato ar NASDAQ OMX biržas elektroenerģijas finanšu kontraktu cenu kotāciju Latvijas cenu apgabalam. Aprēķinos jāizmanto vidējās cenu kotācijas pēdējā mēneša laikā pirms aprēķinu iesniegšanas dienestā;
81.811. ja komersantam ir apturēta un pēc tam atjaunota valsts atbalsta izmaksa, aprēķinā iekļauj arī valsts atbalstu, kas komersantam nav izmaksāts periodā, kad atbalsta izmaksa ir bijusi apturēta."
"1. pielikums
Ministru kabineta
2020. gada 2. septembra
noteikumiem Nr. 561
Lietderības koeficienti
I. Harmonizētie lietderības koeficienti ar klimata korekciju atsevišķai elektroenerģijas ražošanai
Kurināmais |
Kategorija |
Kurināmā veids |
Koģenerācijas elektrostacijas ekspluatācijā nodošanas gads |
||
2012. un agrāk |
2012.–2015. |
2016. un vēlāk |
|||
Cietais kurināmais |
S1 |
Akmeņogles, ieskaitot antracītu, bitumena ogles, melno lignītu, koksu, puskoksu, naftas koksu | 0,442 |
0,442 |
0,442 |
S2 |
Lignīts, lignīta briketes, slānekļa nafta | 0,418 |
0,418 |
0,418 |
|
S3 |
Kūdra, kūdras briketes | 0,390 |
0,390 |
0,390 |
|
S4 |
Sausa biomasa, ieskaitot koksnes granulas un briketes, žāvēta šķelda, tīri koksnes atlikumi, riekstu čaumalas un olīvu un citi kauliņi | 0,330 |
0,330 |
0,370 |
|
S5 |
Cita cietā biomasa, ieskaitot visu veidu cieto biomasu, kas nav uzskaitīta kategorijā S4, kā arī melnais un brūnais atsārms | 0,250 |
0,250 |
0,300 |
|
S6 |
Sadzīves un rūpnieciskie atkritumi (neatjaunīgie) un atjaunīgie/bioloģiski noārdāmie atkritumi | 0,250 |
0,250 |
0,250 |
|
Šķidrais kurināmais |
L7 |
Mazuts, gāzeļļa, dīzeļeļļa, citi naftas produkti | 0,442 |
0,442 |
0,442 |
L8 |
Biodegvielas, ieskaitot biometanolu, bioetanolu, biobutanolu, biodīzeļdegvielu un citas biodegvielas | 0,442 |
0,442 |
0,442 |
|
L9 |
Šķidrā veida atkritumi, ieskaitot bioloģiski noārdāmus atkritumus un neatjaunīgos atkritumus (tai skaitā pirolīzes eļļu, kausētus taukus, taukus un izlietotos graudus) | 0,250 |
0,250 |
0,290 |
|
Gāzveida kurināmais |
G10 |
Dabasgāze, SNG, SDG un biometāns | 0,533 |
0,533 |
0,538 |
G11 |
Rafinēšanas gāze, ūdeņradis un sintēzes gāze | 0,450 |
0,450 |
0,450 |
|
G12 |
Biogāze, kas iegūta no anaerobās sadalīšanas, atkritumu poligona un notekūdeņu attīrīšanas | 0,428 |
0,428 |
0,428 |
|
G13 |
Koksa gāze, domnas gāze, kalnrūpniecības gāze un citas atgūstamās gāzes (izņemot rafinēšanas gāzi) | 0,358 |
0,358 |
0,358 |
|
Cits |
O14 |
Siltuma pārpalikums (ieskaitot augstas temperatūras procesu izplūdes gāzes, eksotermiskas ķīmiskās reakcijas produktus) | – |
– |
0,300 |
O15 |
Kodolenerģija | – |
– |
0,300 |
|
O16 |
Saules enerģija | – |
– |
0,300 |
|
O17 |
Ģeotermālā enerģija | – |
– |
0,300 |
|
O18 |
Cita veida kurināmais, kas nav minēts šajā tabulā | – |
– |
0,300 |
|
II. Lietderības koeficienti atsevišķai siltumenerģijas ražošanai
Kurināmais |
Kategorija |
Kurināmā veids |
Siltumenerģijas izmantošanas veids |
||
Karstais ūdens |
Tvaiks1 |
Dūmgāzu tiešā izmantošana2 |
|||
Cietais kurināmais |
S1 |
Akmeņogles, ieskaitot antracītu, bitumena ogles, melno lignītu, koksu, puskoksu, naftas koksu | 0,88 |
0,83 |
0,80 |
S2 |
Lignīts, lignīta briketes, slānekļa nafta | 0,86 |
0,81 |
0,78 |
|
S3 |
Kūdra, kūdras briketes | 0,86 |
0,81 |
0,78 |
|
S4 |
Sausa biomasa, ieskaitot koksnes granulas un briketes, žāvēta šķelda, tīri koksnes atlikumi, riekstu čaumalas un olīvu un citi kauliņi | 0,86 |
0,81 |
0,78 |
|
S5 |
Cita cietā biomasa, ieskaitot visu veidu cieto biomasu, kas nav uzskaitīta kategorijā S4, kā arī melnais un brūnais atsārms | 0,80 |
0,75 |
0,72 |
|
S6 |
Sadzīves un rūpnieciskie atkritumi (neatjaunīgie) un atjaunīgie/bioloģiski noārdāmie atkritumi | 0,80 |
0,75 |
0,72 |
|
Šķidrais kurināmais |
L7 |
Mazuts, gāzeļļa, dīzeļeļļa, citi naftas produkti | 0,85 |
0,80 |
0,77 |
L8 |
Biodegvielas, ieskaitot biometanolu, bioetanolu, biobutanolu, biodīzeļdegvielu un citas biodegvielas | 0,85 |
0,80 |
0,77 |
|
L9 |
Šķidrā veida atkritumi, ieskaitot bioloģiski noārdāmus atkritumus un neatjaunīgos atkritumus (ieskaitot pirolīzes eļļu, kausētus taukus, taukus un izlietotos graudus) | 0,75 |
0,70 |
0,67 |
|
Gāzveida kurināmais |
G10 |
Dabasgāze, SNG, SDG un biometāns | 0,92 |
0,87 |
0,84 |
G11 |
Rafinēšanas gāze, ūdeņradis un sintēzes gāze | 0,90 |
0,85 |
0,82 |
|
G12 |
Biogāze, kas iegūta no anaerobās sadalīšanas, atkritumu poligona un notekūdeņu attīrīšanas | 0,80 |
0,75 |
0,72 |
|
G13 |
Koksa gāze, domnas gāze, kalnrūpniecības gāze un citas atgūstamās gāzes (izņemot rafinēšanas gāzi) | 0,80 |
0,75 |
0,72 |
|
Cits |
O14 |
Siltuma pārpalikums (ieskaitot augstas temperatūras procesu izplūdes gāzes, eksotermiskas ķīmiskās reakcijas produktus) | 0,92 |
0,87 |
– |
O15 |
Kodolenerģija | 0,92 |
0,87 |
– |
|
O16 |
Saules enerģija | 0,92 |
0,87 |
– |
|
O17 |
Ģeotermālā enerģija | 0,92 |
0,87 |
– |
|
O18 |
Cita veida kurināmais, kas nav minēts šajā tabulā | 0,92 |
0,87 |
– |
|
Piezīmes.
1 Šīs vērtības izmanto stacijām, kas darbojas ar tvaiku un nodotas ekspluatācijā pēc 2015. gada 31. decembra. Ja šādām stacijām, aprēķinot lietderības koeficientu atsevišķai siltumenerģijas ražošanai, neņem vērā kondensāta atgūšanu, tad tabulā norādītās vērtības tvaikam palielina par 5 procentpunktiem.
2 Šīs vērtības izmanto, ja dūmgāzu temperatūra ir 250 °C vai augstāka."
"4. pielikums
Ministru kabineta
2020. gada 2. septembra
noteikumiem Nr. 561
Koģenerācijas elektrostacijas gada pārskats
Koģenerācijas elektrostacijas gada pārskatā norāda šādu informāciju:
1. Vispārīga informācija par koģenerācijas elektrostaciju:
1.1. komersants (nosaukums, juridiskā adrese, reģistrācijas numurs);
1.2. oficiālā elektroniskā adrese;
1.3. koģenerācijas elektrostacijas atrašanās vieta (adrese vai zemesgabala kadastra numurs);
1.4. koģenerācijas elektrostacijas vai koģenerācijas iekārtas ekspluatācijā nodošanas gads;
1.5. koģenerācijas elektrostacijas vai koģenerācijas iekārtas uzstādītā jauda:
1.5.1. elektriskā (MW);
1.5.2. siltuma (MW)1;
1.6. koģenerācijas tehnoloģija;
1.7. izmantotā kurināmā veids/veidi;
1.8. darbinieku skaits;
1.9. lietderīgās siltumenerģijas lietotājs (nosaukums, juridiskā adrese, reģistrācijas numurs);
1.10. lietderīgās siltumenerģijas izmantošanas veids (karstais ūdens, tvaiks vai dūmgāzu tiešā izmantošana);
1.11. persona, kura saskaņā ar Noziedzīgi iegūtu līdzekļu legalizācijas un terorisma un proliferācijas finansēšanas novēršanas likuma 1. panta 5. punkta "a" vai "b" apakšpunktu uzskatāma par kapitālsabiedrības patieso labuma guvēju, un dati, kas ļauj šo personu nepārprotami identificēt2;
1.12. spriegums tīklā, kuram pieslēgta koģenerācijas elektrostacija (kV);
1.13. kontaktpersona (elektroniskā pasta adrese, tālruņa numurs), ar kuru dienests var sazināties saistībā ar plānotajām pārbaudēm;
1.14. kontaktpersona (tālruņa numurs), kura var nodrošināt dienesta pārstāvjiem piekļuvi koģenerācijas elektrostacijai;
1.15. skaitītāju identifikācijas numuri.
Piezīmes.
1 Koģenerācijas elektrostacijas uzstādītā siltuma jauda, kas atbilst elektrostacijā uzstādīto koģenerācijas iekārtu izgatavotāja noteikto bruto siltumjaudu summai.
2 Ja komersants objektīvu iemeslu dēļ nevar noskaidrot personu, kura uzskatāma par kapitālsabiedrības patieso labuma guvēju, vai nevar iegūt atsevišķas ziņas par minēto personu vai ja šādas personas nav, komersants norāda iemeslus, kuru dēļ ziņas par kapitālsabiedrības patieso labuma guvēju netiek sniegtas.
2. Informācija par koģenerācijas elektrostacijas darbību:
2.1. informācija par koģenerācijas iekārtā patērēto kurināmo1 (pa mēnešiem, kopā gadā):
2.1.1. gāzes patēriņš (1000 m3);
2.1.2. gāzes zemākā siltumspēja (MWh/1000 m3);
2.1.3. gāzes patēriņš (MWh);
2.1.4. gāzes cena2 (EUR/1000 m3);
2.1.5. šķidrā kurināmā patēriņš (t);
2.1.6. šķidrā kurināmā zemākā siltumspēja (MWh/t);
2.1.7. šķidrā kurināmā patēriņš (MWh);
2.1.8. šķidrā kurināmā cena (EUR/t);
2.1.9. cietā kurināmā patēriņš (m3 ber);
2.1.10. cietā kurināmā blīvums (kg/m3 ber);
2.1.11. cietā kurināmā zemākā siltumspēja (MWh/t);
2.1.12. cietā kurināmā patēriņš (MWh);
2.1.13. cietā kurināmā cena (EUR/m3 ber);
2.1.14. kopējais kurināmā patēriņš (MWh);
2.2. informācija par koģenerācijas iekārtā saražoto un izlietoto siltumenerģiju (pa mēnešiem, kopā gadā):
2.2.1. koģenerācijas iekārtā saražotā siltumenerģija (MWh);
2.2.2. lietotājam pārdotā lietderīgā siltumenerģija (MWh);
2.2.3. lietderīgās siltumenerģijas pārdošanas cena (EUR/MWh);
2.3. informācija par biogāzes ražošanas iekārtā izmantoto kurināmā izejvielu4 biogāzes ražošanai (pa mēnešiem, kopā gadā):
2.3.1. kurināmā izejvielas nosaukums atbilstoši šo noteikumu 7. pielikumam:
2.3.1.1. patēriņš naturālā izteiksmē (t; m3 (norādīt atbilstošo));
2.3.1.2. īpatsvars kopējā izejvielu apjomā (%);
2.4. informācija par koģenerācijas iekārtā saražoto, pārdoto un pirkto elektroenerģiju (pa mēnešiem, kopā gadā):
2.4.1. saražotā elektroenerģija (MWh);
2.4.2. tīklā nodotā elektroenerģija (MWh), tai skaitā:
2.4.3. obligātā iepirkuma ietvaros pārdotā (MWh);
2.4.4. elektroenerģijas tirgū pārdotā (MWh);
2.4.5. pirktā elektroenerģija (MWh);
2.4.6. koģenerācijas iekārtas faktiskais kopējais lietderības koeficients3 (%);
2.4.7. par koģenerācijā saražotu atzīstamā elektroenerģija (MWh);
2.4.8. koģenerācijā saražotās elektroenerģijas pārdošanas cena (EUR/MWh).
3. Pārskata periodā spēkā esoša lietderīgās siltumenerģijas pārdošanas līguma kopija.
4. Regulatora lēmuma kopija par siltumenerģijas tarifu (ja attiecināms).
5. Dokumentu kopijas, kuri apliecina ikmēneša pārdotās siltumenerģijas apjomu un cenu.
6. Auditora ziņojums.
7. Kurināmā siltumspējas noteikšana:
7.1. apraksts par izmantotā kurināmā siltumspējas noteikšanu;
7.2. aprēķina piemērs par izmantotā kurināmā siltumspējas noteikšanu.
8. Informācija par mērīšanas līdzekļiem un mērīšanas līdzekļu sistēmām:
8.1. mērīšanas līdzekļu un mērīšanas līdzekļu sistēmu uzskaitījums, identifikācijas numuri un verificēšanas vai kalibrēšanas termiņi;
8.2. izmantoto kurināmā mērīšanas līdzekļu vai mērīšanas līdzekļu sistēmu darbības apraksts (ja attiecināms);
8.3. biogāzes stacijā izmantoto biogāzes izejvielu mērīšanas līdzekļu vai mērīšanas līdzekļu sistēmu darbības apraksts (ja attiecināms).
9. Dokumentu kopijas par laboratorijās veiktajiem mērījumiem.
10. Paskaidrojuma raksts par pārskata gadā veiktajām izmaiņām koģenerācijas elektrostacijā, tai skaitā norādot koģenerācijas elektrostacijas elementus, ko skar attiecīgās izmaiņas.
11. Informācija par elektrostacijas pamatlīdzekļu nolietojumu.
Piezīmes.
1 Sniedz informāciju par tiem kurināmā veidiem, kuri faktiski ir patērēti. Gāzveida kurināmos norāda pēc dabasgāzes parauga. Beramos kurināmos (koksnes šķelda, skaidas, kubikmetros mērāma biomasa) norāda pēc koksnes šķeldas parauga. Citu veidu kurināmos norāda pēc degvieleļļas parauga.
2 Visas cenas un tarifus norāda bez PVN. Dabasgāzes tarifu un patēriņu norāda, ņemot vērā faktisko vai normatīvo zemāko siltumspēju, kas pēc iesniedzēja izvēles lietota informācijas tabulā.
3 Aprēķina, izmantojot šo noteikumu 26.1. apakšpunktā minēto formulu.
4 Aizpilda komersants, kas elektroenerģiju ražo biogāzes elektrostacijā."
"5. pielikums
Ministru kabineta
2020. gada 2. septembra
noteikumiem Nr. 561
Jaudas komponentes korekcijas aprēķins
| Diena, mēnesis, gads, tirdzniecības intervāls1 | Pārdotās elektroenerģijas apjoms2 (MWh) | Elektroenerģijas biržas spot cena3 (euro/MWh) | Koģenerācijas mainīgās izmaksas4 (euro/MWh) |
Papildus ieņēmumu aprēķins5 (euro) [(3) – (4)] x (2) |
| 1 | 2 | 3 | 4 | 5 |
|
dd.mm.gggg. 00:00 |
||||
| […] | ||||
| Kopā dienā | ||||
| […] | ||||
| Jaudas komponentes korekcija mēnesī (euro) |
1 Iesniedz, sākot ar tirdzniecības intervālu, kurā koģenerācijas stacijas saražotās un tirgotājam pārdotās elektroenerģijas apjoms pārsniedz lielumu, ko aprēķina, izmantojot šādu formulu:
P × 1200 , kur
P – koģenerācijas stacijā uzstādītā elektriskā jauda (MW).
Vienā siltumapgādes sistēmas operatora licences zonā esošām vienam komersantam piederošām koģenerācijas stacijām, kas pieslēgtas elektroenerģijas pārvades sistēmai, pārdotās elektroenerģijas apjomu, pēc kura sasniegšanas jāsāk veikt jaudas komponentes korekcijas aprēķins, nosaka summāri, reizinot koģenerācijas staciju kopējo uzstādīto elektrisko jaudu ar 1200 stundām. Elektroenerģijas apjoma uzskaiti uzsāk katra gada 1. novembrī.
2 Apjomu norāda MWh ar precizitāti trīs zīmes aiz komata.
3 Tirdzniecības intervāla elektroenerģijas biržas spot cenu nosaka saskaņā ar Nord Pool AS biržas Latvijas cenu apgabala spot cenu euro /MWh ar precizitāti divas zīmes aiz komata.
4 Koģenerācijas mainīgās izmaksas (euro /MWh) ar precizitāti divas zīmes aiz komata aprēķina, izmantojot šādu formulu:
![]()
Tg – koģenerācijas stacijā par kurināmo izmantotās dabasgāzes faktiskā gala cena bez PVN un dabasgāzes akcīzes nodokļa (euro /MWh);
Ta – dabasgāzes akcīzes nodoklis (euro /MWh), ja tāds koģenerācijas stacijai tiek piemērots;
CO2 – Intercontinental Exchange (ICE) biržā noteiktā European Emission Allowances (EUA) cena (euro /t).
5 Papildu ieņēmumus (euro) ar precizitāti divas zīmes aiz komata aprēķina, no elektroenerģijas biržas cenas (3. aile) atņemot koģenerācijas mainīgās izmaksas (4. aile) un rezultātu reizinot ar pārdotās enerģijas apjomiem (2. aile).
6 Jaudas komponentes korekciju aprēķina, reizinot mēneša kopējo papildu ieņēmumu summu (5. aile) ar koeficientu 0,75. Ja jaudas komponentes korekcija ir negatīvs skaitlis, to pieņem vienādu ar nulli."
"8. pielikums
Ministru kabineta
2020. gada 2. septembra
noteikumiem Nr. 561
Koģenerācijas stacijas kopējo kapitālieguldījumu iekšējās peļņas normas aprēķins
I. Koģenerācijas stacijas kopējo kapitālieguldījumu iekšējās peļņas normas aprēķina gaita
1. Iekšējā peļņas norma ir diskonta likmes vērtība, pie kuras pašreizējā diskontētās naudas plūsmas vērtība ir vienāda ar sākotnēji ieguldītā kapitāla vērtību. Iekšējā peļņas norma tiek aprēķināta uz pēdējo gadu, kad ražotājs var izmantot tiesības, kas piešķirtas saskaņā ar Elektroenerģijas tirgus likuma 28. vai 28.1 pantu. Iekšējo peļņas normu aprēķina, ņemot vērā koģenerācijas stacijas vienotā tehnoloģiskā cikla principu:
1.1. iekšējās peļņas normas aprēķinam izmanto datus par koģenerācijas stacijā veiktajām investīcijām, faktisko ieņēmumu un izdevumu datus un ekspluatācijas izmaksu līmeņatzīmes. Ja komersants nevar iesniegt kādu no koģenerācijas stacijas faktisko ieņēmumu vai izdevumu datiem, tad iekšējās peļņas normas aprēķinam norēķinu periodam, kas nav mazāks par vienu mēnesi, izmanto pielikumā noteiktās līmeņatzīmes;
1.2. aprēķinam nepieciešamos datus par elektroenerģijas apjomu un cenu, kas iepirkta obligātā iepirkuma ietvaros, dienests pieprasa publiskajam tirgotājam.
2. Iekšējo peļņas normu aprēķina ar pakāpeniskām iterācijām, izmantojot šādu formulu:
| , kur |
TNPt – tīrā naudas plūsma jeb naudas plūsma (euro), kas paliek komersanta rīcībā pēc visu ražošanas izdevumu segšanas, kalendāra gadā t;
r – iekšējā peļņas norma (%);
t – kalendāra gads, par kuru tiek veikts aprēķins;
t0 – kalendāra gads, kad komersants ir sācis izmantot valsts atbalstu;
n – kalendāra gads, kad komersanta tiesībām, kas piešķirtas saskaņā ar Elektroenerģijas tirgus likuma 28. vai 28.1 pantu, beidzas izmantošanas laiks;
Istac – komersanta koģenerācijas stacijā veikto investīciju faktiskās vērtības (euro) atbilstoši iesniegtajai pamatojošajai dokumentācijai;
Ipiesl – komersanta elektrostacijas elektroenerģijas pieslēguma faktiskās izmaksas (euro) elektroenerģijas tīklam atbilstoši iesniegtajai pamatojošajai dokumentācijai;
Dt0 – līdz kalendāra gadam t0 (neieskaitot) par komersanta koģenerācijas staciju piešķirtais un faktiski saņemtais publiskais finansējums (euro), tai skaitā maksājumi no valsts vai pašvaldības budžeta, kredītu procentu likmju subsidēšana, kā arī cita finanšu palīdzība, kas tiek piešķirta vai sniegta no valsts, pašvaldības vai Eiropas Savienības budžeta līdzekļiem un ārvalstu finanšu palīdzības līdzekļiem.
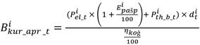
3. Ja komersants investīcijas koģenerācijas stacijā ir veicis, pirms ir pieņemts lēmums par tiesību piešķiršanu saskaņā ar Elektroenerģijas tirgus likuma 28. vai 28.1 pantu, investīcijas koģenerācijas stacijā var noteikt saskaņā ar līmeņatzīmēm:
I0 = Pel t0 × Iīp × 1000, kur
Pel t0 – koģenerācijas stacijas uzstādītā elektriskā jauda (MW), kas norādīta līgumā ar publisko tirgotāju, kalendāra gadā t0;
Iīp – īpatnējo investīciju līmeņatzīmes (euro/kW) saskaņā ar šā pielikuma 1. tabulu.
4. Tīro naudas plūsmu kalendāra gadā t aprēķina, izmantojot šādu formulu:
| , kur |
– tīrā naudas plūsma jeb naudas plūsma (euro), kas paliek komersanta rīcībā pēc visu ražošanas izdevumu segšanas, kalendāra gada t kalendāra mēnesī i;
Ipap_t – koģenerācijas stacijā veikto papildu investīciju faktiskās vērtības (euro), lai atbilstoši ražošanas tehnoloģijai un vienotā tehnoloģiskā cikla principam nodrošinātu koģenerācijas stacijas tehnoloģiskās funkcijas vai lai palielinātu koģenerācijas stacijas elektrisko jaudu, kalendāra gadā t;
Dt – kalendāra gadā t par komersanta koģenerācijas staciju piešķirtais un faktiski saņemtais publiskais finansējums (euro), tai skaitā maksājumi no valsts vai pašvaldības budžeta, kredītu procentu likmju subsidēšana, kā arī cita finanšu palīdzība, kas tiek piešķirta vai sniegta no valsts, pašvaldības vai Eiropas Savienības budžeta līdzekļiem un ārvalstu finanšu palīdzības līdzekļiem.
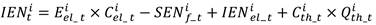
5. Tīro naudas plūsmu kalendāra gada t kalendāra mēnesī i aprēķina, izmantojot šādu formulu:
| , kur |
– koģenerācijas stacijas ieņēmumi (euro) kalendāra gada t kalendāra mēnesī i;
– koģenerācijas stacijas izdevumi (euro) kalendāra gada t kalendāra mēnesī i.
6. Koģenerācijas stacijas ieņēmumus kalendāra gada t kalendāra mēnesī i aprēķina, izmantojot faktiskos datus vai līmeņatzīmes:
6.1. koģenerācijas stacijas ieņēmumi (euro) kalendāra gada t kalendāra mēnesī i , aprēķinam izmantojot faktiskos datus:
| , kur |
– no komersanta koģenerācijas stacijas obligātā iepirkuma ietvaros iepirktais elektroenerģijas apjoms (MWh) kalendāra gada t kalendāra mēnesī i. Nākotnes periodiem mēnesī no komersanta elektrostacijas obligātā iepirkuma ietvaros iepirkto elektroenerģijas apjomu aprēķina kā pēdējo triju pilnu kalendāra gadu vidējo mēnesī obligātā iepirkuma ietvaros iepirkto elektroenerģijas apjomu, bet nepārsniedzot maksimāli atļauto obligātā iepirkuma ietvaros iepērkamās elektroenerģijas apjomu;
– komersanta koģenerācijas stacijai piemērotā elektroenerģijas iepirkuma cena (euro/MWh) kalendāra gada t kalendāra mēnesī i. Dabasgāzes koģenerācijas stacijās saražotās elektroenerģijas iepirkuma cenas aprēķinam nepieciešamo dabasgāzes tirdzniecības cenu nākotnes periodam nosaka kā pēdējā pilnā kalendāra gada vidējo dabasgāzes tirdzniecības cenu;
– faktiskais ieturētais subsidētās elektroenerģijas nodoklis (euro) kalendāra gada t kalendāra mēnesī i;
– komersanta ieņēmumi (euro) no koģenerācijas stacijā saražotās un pārdotās elektroenerģijas, kas nav pārdota obligātā iepirkuma ietvaros, kalendāra gada t kalendāra mēnesī i. Ieņēmumu aprēķinam nākotnes periodā elektroenerģijas cenu nosaka kā pēdējo triju pilnu kalendāra gadu vidējo mēnesī ārpus obligātā iepirkuma pārdotās elektroenerģijas cenu, bet elektroenerģijas apjomu aprēķina kā pēdējo triju pilnu kalendāra gadu vidējo mēnesī ārpus obligātā iepirkuma pārdoto elektroenerģijas apjomu;
– siltumenerģijas pārdošanas cena vai Sabiedrisko pakalpojumu regulēšanas komisijas noteiktais siltumenerģijas ražošanas tarifs (euro/MWh) atbilstoši iesniegtajai pamatojošajai dokumentācijai kalendāra gada t kalendāra mēnesī i. Nākotnes periodiem siltumenerģijas cenu nosaka kā pēdējā pilnā kalendāra gada vidējo mēneša siltumenerģijas cenu;
– koģenerācijas stacijā saražotais lietderīgās siltumenerģijas apjoms (MWh) kalendāra gada t kalendāra mēnesī i. Nākotnes periodiem mēnesī saražotās lietderīgās siltumenerģijas apjomu aprēķina kā pēdējo triju pilnu kalendāra gadu vidējo mēnesī saražoto lietderīgās siltumenerģijas apjomu;
6.2. koģenerācijas stacijas ieņēmumi (euro) kalendāra gada t kalendāra mēnesī i , aprēķinam izmantojot līmeņatzīmes:
| , kur |
– siltumenerģijas ražošanas tarifs (euro/MWh) saskaņā ar šā pielikuma 8. tabulu kalendāra gada t kalendāra mēnesī i. Nākotnes periodiem siltumenerģijas ražošanas tarifu nosaka kā pēdējā pilnā kalendāra gada vidējo mēneša siltumenerģijas ražošanas tarifu;
– koģenerācijas stacijā uzstādītā neto siltuma jauda (MW) kalendāra gada t kalendāra mēnesī i;
– komersanta koģenerācijas stacijas darba stundas (h) kalendāra gada t kalendāra mēnesī;
– koģenerācijas stacijā pašpatēriņam izmantotā siltumenerģija kalendāra gada t kalendāra mēnesī i. Pašpatēriņam izmantotais siltumenerģijas apjoms stacijām, kas darbojas ar poligongāzi, un biogāzes stacijām, kuras biogāzes ražošanai izmanto fermenterus, ir 30 %, bet pārējām koģenerācijas stacijām ir 0;
6.3. koģenerācijas stacijas, kura saņem garantēto maksu par koģenerācijas stacijā uzstādīto elektrisko jaudu, faktiskie ieņēmumi (euro) kalendāra gada t kalendāra mēnesī i , aprēķinam izmantojot faktiskos datus:
| , kur |
– garantētā maksa (euro) par koģenerācijas stacijā uzstādīto elektrisko jaudu kalendāra gada t kalendāra mēnesī i;
6.4. koģenerācijas stacijas, kura saņem garantēto maksu par koģenerācijas stacijā uzstādīto elektrisko jaudu, ieņēmumi (euro) kalendāra gada t kalendāra mēnesī i , aprēķinam izmantojot līmeņatzīmes:
| , kur |
– elektroenerģijas vairumtirdzniecības cena (euro/MWh) atbilstoši šā pielikuma 7. tabulai. Koģenerācijas stacijām, par kurām tiek maksāta garantētā maksa par koģenerācijas stacijā uzstādīto elektrisko jaudu, elektroenerģijas cenu nākotnes periodam nosaka kā pēdējā pilnā kalendāra gada vidējo cenu;
– elektrostacijas uzstādītā elektriskā jauda (MW), kas norādīta līgumā ar publisko tirgotāju.
7. Kalendāra gada t kalendāra mēnesī i koģenerācijas stacijas uzstādīto neto siltuma jaudu aprēķina, izmantojot šādu formulu:
| , kur |
– koģenerācijas stacijas uzstādītā siltuma jauda, kas atbilst stacijā uzstādīto koģenerācijas iekārtu izgatavotāja noteikto bruto siltumjaudu summai (MW).
8. Koģenerācijas stacijas darba stundas kalendāra gada t kalendāra mēnesī i aprēķina, izmantojot šādu formulu:
9. Koģenerācijas stacijas izdevumus (euro) kalendāra gada t kalendāra mēnesī i aprēķina, izmantojot faktiskos datus vai līmeņatzīmes:
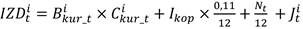
9.1. biomasas staciju izdevumi (euro) kalendāra gada t kalendāra mēnesī i , aprēķinam izmantojot faktiskos datus:
| , kur |
– patērētā kurināmā apjoms (MWh), kas nepieciešams komersanta koģenerācijas stacijas darbības nodrošināšanai, kalendāra gada t kalendāra mēnesī i. Nākotnes periodiem mēnesī patērētā kurināmā apjomu aprēķina kā pēdējo triju pilnu kalendāra gadu vidējo mēnesī patērētā kurināmā apjomu koģenerācijas stacijā;
– kurināmā faktiskā cena (euro/MWh) atbilstoši iesniegtajai pamatojošajai dokumentācijai. Nākotnes periodiem kurināmā cenu nosaka kā pēdējā pilnā kalendāra gada vidējo mēneša kurināmā cenu;
I kop – koģenerācijas stacijā veikto kopējo faktisko investīciju apjoms (euro);
0,11 – koeficients, kas raksturo koģenerācijas stacijas ekspluatācijas izmaksu īpatsvaru veiktajās investīcijās, noteikts šā pielikuma 2. tabulā;
Nt – elektroenerģijas ražošanai piešķirtā valsts atbalsta izlietošanas uzraudzības nodeva un valsts nodeva par sabiedrisko pakalpojumu regulēšanu kalendāra gadā t (euro). Nākotnes periodu aprēķiniem nodevas apmēru pieņem tādu, kāds tas ir bijis pēdējā pilnā kalendāra gadā;
– jaudas maksa elektroenerģijas ražotājiem, kas noteikta atbilstoši uzstādītajai elektroenerģijas ražošanas jaudai un saskaņā ar Sabiedrisko pakalpojumu regulēšanas komisijas noteikto tarifu, kalendāra gada t kalendāra mēnesī i (euro). Nākotnes periodu aprēķiniem jaudas maksas apmēru pieņem tādu, kāds tas ir bijis pēdējā pilnā kalendāra gadā;
9.2. biomasas staciju izdevumi (euro) kalendāra gada t kalendāra mēnesī i , aprēķinam izmantojot līmeņatzīmes:
| , kur |
– aprēķinātais patērētā kurināmā apjoms (MWh), kas nepieciešams komersanta koģenerācijas stacijas darbības nodrošināšanai kalendāra gada t kalendāra mēnesī i. Nākotnes periodiem mēnesī patērētā kurināmā apjomu aprēķina kā pēdējo triju pilnu kalendāra gadu vidējo mēnesī patērētā kurināmā apjomu koģenerācijas stacijā;
– biomasas kurināmā cenas līmeņatzīme (euro/MWh), kas noteikta šā pielikuma 6. tabulā, kalendāra gada t kalendāra mēnesī i. Nākotnes periodiem kurināmā cenu nosaka kā pēdējā pilnā kalendāra gada vidējo mēneša kurināmā cenu;
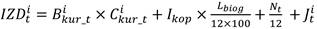
9.3. biogāzes staciju izdevumi (euro) kalendāra gada t kalendāra mēnesī i , aprēķinam izmantojot faktiskos datus:
| , kur |
Lbiog – biogāzes koģenerācijas stacijas ekspluatācijas izmaksu līmeņatzīme, kas noteikta šā pielikuma 3. tabulā atkarībā no gada un organiskas izcelsmes atkritumu un ražošanas atlikumproduktu īpatsvara kopējā izejvielu apjomā. Aprēķinos izmanto zemāko šā pielikuma 3. tabulā norādīto ekspluatācijas izmaksu līmeņatzīmi dotajā aprēķinu periodā. Ja komersants, iesniedzot pamatojošo dokumentāciju, pierāda lielāku organiskas izcelsmes atkritumu un ražošanas atlikumproduktu īpatsvaru kopējā izejvielu apjomā, aprēķinos izmanto augstāku atbilstošo šā pielikuma 3. tabulā norādīto līmeņatzīmi.
Nākotnes periodam izmanto zemāko šā pielikuma 3. tabulā norādīto ekspluatācijas izmaksu līmeņatzīmi dotajā aprēķinu periodā. Ja komersants, iesniedzot pamatojošo dokumentāciju, pierāda, ka pēdējo triju pilnu kalendāra gadu vidējais organiskas izcelsmes atkritumu un ražošanas atlikumproduktu īpatsvars kopējā izejvielu apjomā pārsniedz noteikto minimālo organiskas izcelsmes atkritumu un ražošanas atlikumproduktu īpatsvaru kopējā izejvielu apjomā, tad nākotnes periodam organiskās izcelsmes atkritumu apjomu nosaka kā pēdējo triju pilnu kalendāra gadu vidējo organiskas izcelsmes atkritumu apjomu kalendāra mēnesī un aprēķinos izmanto augstāku atbilstošo šā pielikuma 3. tabulā norādīto līmeņatzīmi;
9.4. biogāzes staciju izdevumi (euro) kalendāra gada t kalendāra mēnesī i , aprēķinam izmantojot līmeņatzīmes:
| , kur |
– biogāzes un poligongāzes kurināmā cenas līmeņatzīme (euro/MWh), kas noteikta šā pielikuma 4. un 5. tabulā, kalendāra gada t kalendāra mēnesī i. Nākotnes periodiem kurināmā cenu nosaka kā pēdējā pilnā kalendāra gada vidējo mēneša kurināmā cenu;
9.5. dabasgāzes staciju izdevumi (euro) kalendāra gada t kalendāra mēnesī i , aprēķinam izmantojot faktiskos datus:
| , kur |
– oglekļa dioksīda emisijas kvotu cena (euro/t) atbilstoši iesniegtajai pamatojošajai dokumentācijai. Nākotnes periodiem cenu pamato ar finanšu kontraktu cenu kotācijām. Ja kurināmā sadedzināšanas jauda ir 20 MW vai mazāka,
vērtība ir 0;
0,05 – koeficients, kas raksturo koģenerācijas stacijas ekspluatācijas izmaksu īpatsvaru veiktajās investīcijās, noteikts šā pielikuma 2. tabulā;
9.6. dabasgāzes staciju izdevumi (euro) kalendāra gada t kalendāra mēnesī i , aprēķinam izmantojot līmeņatzīmes:
| , kur |
– dabasgāzes kurināmā cenas līmeņatzīme (euro/MWh), kas noteikta šā pielikuma 9. tabulā, kalendāra gada t kalendāra mēnesī i. Nākotnes periodiem kurināmā cenu nosaka kā pēdējā pilnā kalendāra gada vidējo mēneša kurināmā cenu.
10. Aprēķināto patērētā kurināmā apjomu kalendāra gada t kalendāra mēnesī i nosaka, izmantojot šādu formulu:
| , kur |
– pašpatēriņam izlietotā saražotā elektroenerģija (MWh), kas nosakāma kā iepriekšējo triju gadu vidējais rādītājs starpībai starp gadā saražoto un tīklā nodoto elektroenerģiju;
ηkoģ – koģenerācijas iekārtas lietderības koeficients, kas raksturo koģenerācijas stacijas vidējo efektivitāti. Iekārtas lietderības koeficients ir norādīts iekārtas tehniskajā dokumentācijā. Ja tāda nav pieejama, lietderības koeficientu dabasgāzes koģenerācijas stacijām nosaka 90 % un biomasas un biogāzes koģenerācijas stacijām 80 %.
11. Koģenerācijas stacijā veikto kopējo faktisko investīciju apjomu aprēķina, izmantojot šādu formulu:
Ikop = Istac + Ipap , kur
Ipap – komersanta koģenerācijas stacijā papildus veikto faktisko investīciju apjoms, tai skaitā kapitalizētu remontu izmaksas (euro).
12. Aprēķinā, kas veikts saskaņā ar šo pielikumu, vērtības naudas izteiksmē noapaļo līdz tuvākajam centam, ņemot vērā trešo zīmi aiz komata. Ja trešā zīme aiz komata ir no 0 līdz 4, centa vērtība nemainās. Ja trešā zīme aiz komata ir no 5 līdz 9, centu noapaļo par vienu vienību uz augšu.
II. Līmeņatzīmes koģenerācijas stacijas kopējo kapitālieguldījumu iekšējās peļņas normas aprēķinam
1. tabula
Koģenerācijas staciju īpatnējo investīciju Iīp (euro/kWel) līmeņatzīmes
| Uzstādītā elektriskā jauda Pel | Biogāzes stacijas | Biomasas un biomasas gazifikācijas stacijas | Dabasgāzes stacijas |
| Nepārsniedz 0,5 MW | 4000 | 4500 | 1600 |
| Lielāka par 0,5 MW, bet nepārsniedz 1 MW | 3800 | 4500 | 1600 |
| Lielāka par 1 MW, bet nepārsniedz 2 MW | 3800 | 4000 | 1300 |
| Lielāka par 2 MW, bet nepārsniedz 4 MW | 3300 | 4000 | 1100 |
| Lielāka par 4 MW | 3300 | 3600 | – |
2. tabula
Koģenerācijas stacijas ekspluatācijas izmaksu līmeņatzīmes
| Tehnoloģija | Līmeņatzīmes |
| Biomasas stacijas | 11 % no koģenerācijas stacijā veiktajām investīcijām, gadā |
| Dabasgāzes stacijas | 5 % no koģenerācijas stacijā veiktajām investīcijām, gadā |
3. tabula
Biogāzes koģenerācijas staciju ekspluatācijas izmaksu līmeņatzīme
4. tabula
Biogāzes stacijām (izņemot stacijas, kurās izmanto biomasas gazifikāciju vai poligongāzes) piemērojamās kurināmā cenas līmeņatzīmes
| Uzstādītā elektriskā jauda Pel | Kurināmā cena bez PVN Ckur (euro/MWh) | ||||||||
| 2008. | 2009. | 2010. | 2011. | 2012. | 2013. | 2014. | 2015. | 2016. | |
| Nepārsniedz 0,5 MW | 51,08 | 40,51 | 30,98 | 35,47 | 42,39 | 43,65 | 46,31 | 48,14 | 51,83 |
| Lielāka par 0,5 MW, bet nepārsniedz 1 MW | 48,11 | 38,15 | 29,19 | 33,41 | 39,93 | 41,12 | 43,62 | 45,35 | 48,82 |
| Lielāka par 1 MW | 46,15 | 36,60 | 27,99 | 32,05 | 38,30 | 39,44 | 41,84 | 43,49 | 46,83 |
| 2017. | 2018. | 2019. | 2020. | 2021. | 2022. | ||||
| Nepārsniedz 0,5 MW | 52,38 | 50,98 | 48,00 | 53,28 | 52,47 | 51,65 | |||
| Lielāka par 0,5 MW, bet nepārsniedz 1 MW | 49,34 | 48,02 | 45,21 | 49,93 | 49,16 | 48,40 | |||
| Lielāka par 1 MW | 47,32 | 46,06 | 43,37 | 49,93 | 49,16 | 48,40 | |||
5. tabula
Poligongāzes cenas līmeņatzīmes
| Uzstādītā elektriskā jauda Pel | Kurināmā cena bez PVN Ckur (euro/MWh) |
| visi gadi | |
| Visas jaudas | 10 |
6. tabula
Biomasas un biomasas gazifikācijas stacijām piemērojamās kurināmā cenas līmeņatzīmes
7. tabula
Elektroenerģijas vairumtirdzniecības cenas (euro/MWhe) no 1995. gada līdz 2020. gadam
8. tabula
Siltumenerģijas ražošanas tarifs euro/MWh no 1995. gada līdz 2022. gadam
| Gads | Siltumenerģijas ražošanas tarifs |
Gads | Siltumenerģijas ražošanas tarifs |
|
| 1995. | 11,67 | 2009. | 39,16 | |
| 1996. | 12,12 | 2010. | 38,44 | |
| 1997. | 12,24 | 2011. | 38,44 | |
| 1998. | 12,28 | 2012. | 42,06 | |
| 1999. | 12,33 | 2013. | 39,16 | |
| 2000. | 12,38 | 2014. | 32,63 | |
| 2001. | 12,38 | 2015. | 31,91 | |
| 2002. | 12,38 | 2016. | 26,11 | |
| 2003. | 12,38 | 2017. | 26,11 | |
| 2004. | 12,38 | 2018. | 26,83 | |
| 2005. | 16,51 | 2019. | 24,99 | |
| 2006. | 21,76 | 2020. | 23,28 | |
| 2007. | 26,11 | 2021. | 21,68 | |
| 2008. | 36,99 | 2022. | 20,20 |
Piezīme. * Siltumenerģijas ražošanas tarifu veido siltumenerģijas vidējā cena gala patērētājiem, kas reizināta ar koeficientu 0,7252 (ražošanas tarifa īpatsvars gala tarifā).
9. tabula
Dabasgāzes tirdzniecības cenas līmeņatzīmes, ieskaitot akcīzes nodokli
