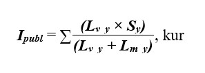
19.3 panta pirmo un otro daļu
Ipubl – attiecīgā gada publisko izmaksu maksimālais apmērs (euro);
S – attiecīgās atbalstāmās darbības kopējās izmaksas (euro);
Lv – uz attiecīgo atbalstāmo darbību attiecināmās infrastruktūras izmantošanas laiks valsts apmaksāto veselības aprūpes pakalpojumu sniegšanai (stundas gadā);
Lm – uz attiecīgo atbalstāmo darbību attiecināmās infrastruktūras izmantošanas laiks citu darbību veikšanai (stundas gadā);
|
Nr. p. k. |
Finansējuma saņēmējs | Investīcijai pieejamais attiecināmais finansējums sadalījumā pa finansējuma avotiem (EUR) | |||
| kopā | Atveseļošanas un noturības mehānisma plāna finansējums | PVN | maksimālais valsts budžeta finansējums PVN segšanai | ||
| 1 | 2 | 3 = 4 + 6 | 4 | 5 = 4 x 21% | 6 |
| 1. kārtas finansējuma saņēmēji | |||||
| 1. | SIA "Rīgas Austrumu klīniskā universitātes slimnīca" | 41 667 568 |
34 436 007 |
7 231 561 |
7 231 561 |
| 2. | VSIA "Paula Stradiņa klīniskā universitātes slimnīca" | 39 790 863 |
32 885 011 |
6 905 852 |
6 905 852 |
| 3. | VSIA "Bērnu klīniskā universitātes slimnīca" |
40 971 083 | 33 860 399 | 7 110 684 | 7 110 684 |
| 4. | SIA "Liepājas reģionālā slimnīca" | 3 589 856 | 2 966 823 | 623 033 | 623 033 |
| 5. | SIA "Ziemeļkurzemes reģionālā slimnīca" | 4 711 486 | 3 893 790 | 817 696 | 817 696 |
| 6. | SIA "Vidzemes slimnīca" |
7 063 139 | 5 837 305 | 1 225 834 | 1 225 834 |
| 7. | SIA "Daugavpils reģionālā slimnīca" | 11 592 290 | 9 580 405 | 2 011 885 | 2 011 885 |
| 8. | SIA "Rēzeknes slimnīca" | 7 963 226 | 6 581 179 | 1 382 047 | 1 382 047 |
| 9. | SIA "Jēkabpils reģionālā slimnīca" | 3 643 000 | 3 010 744 | 632 256 | 632 256 |
| 10. | SIA "Jelgavas pilsētas slimnīca" |
4 818 894 | 3 982 557 | 836 337 | 836 337 |
| 2. kārtas finansējuma saņēmēji | |||||
| 11. | VSIA "Traumatoloģijas un ortopēdijas slimnīca" |
3 281 235 | 2 711 765 | 569 470 | 569 470 |
| 12. | VSIA "Nacionālais psihiskās veselības centrs" | 597 848 | 494 089 | 103 759 | 103 759 |
| 13. | VSIA "Nacionālais rehabilitācijas centrs "Vaivari"" | 1 969 546 | 1 627 724 | 341 822 | 341 822 |
| 14. | VSIA "Piejūras slimnīca" | 740 600 | 612 066 | 128 534 | 128 534 |
| 15. | VSIA "Bērnu psihoneiroloģiskā slimnīca "Ainaži"" | 350 901 | 290 001 | 60 900 | 60 900 |
| 16. | SIA "Liepājas reģionālā slimnīca" |
1 197 900 | 990 000 | 207 900 | 207 900 |
| 3. kārtas finansējuma saņēmējs | |||||
| 17. | SIA "Rīgas Austrumu klīniskā universitātes slimnīca"1 | 7 093 190 | 5 862 140 | 1 231 050 | 1 231 050 |
| KOPĀ: | 181 042 625 | 149 622 005 | 31 420 620 | 31 420 620 | |
Piezīme.
1 Atveseļošanas fonda projektos ietaupītais 4.1.1.2.i. investīcijas finansējums 6 945 564 euro apmērā (tai skaitā Atveseļošanas fonda finansējums – 5 740 135 euro, valsts budžeta finansējums – 1 205 429 euro), 4.1.1.3.i. investīcijas finansējums 88 718 euro apmērā (tai skaitā Atveseļošanas fonda finansējums – 73 321 euro, valsts budžeta finansējums – 15 397 euro), 4.2.1.1.i. investīcijas finansējums 58 908 euro apmērā (tai skaitāAtveseļošanas fonda finansējums – 48 684 euro, valsts budžeta finansējums – 10 224 euro) tiek novirzīts trešās kārtas finansējuma saņēmējam – SIA "Rīgas Austrumu klīniskās universitātes slimnīca" – infekciju slimību un plaušu veselības korpusa būvniecībai, ievērojot īstenošanas nosacījumus, līdz 2026. gada 31. decembrim (minētā finansējuma apguve nav saistīta ar Atveseļošanas fonda mērķu vai atskaites punktu sasniegšanu).
