24-TA-1421
Eiropas Savienības kohēzijas politikas programmas 2021.–2027. gadam 1.1.1. specifiskā atbalsta mērķa "Pētniecības un inovāciju kapacitātes stiprināšana un progresīvu tehnoloģiju ieviešana kopējā P&A sistēmā" 1.1.1.7. pasākuma "Inovāciju granti studentiem" īstenošanas noteikumi
Izdoti saskaņā ar Eiropas Savienības fondu 2021.–2027. gada plānošanas perioda vadības likuma 19. panta 6. un 13. punktu
I.Vispārīgie jautājumi
1.
Noteikumi nosaka:
1.1.
kārtību, kādā īsteno Eiropas Savienības kohēzijas politikas programmas 2021.–2027. gadam1.1.1. specifiskā atbalsta mērķa "Pētniecības un inovāciju kapacitātes stiprināšana un progresīvu tehnoloģiju ieviešana kopējā P&A sistēmā" 1.1.1.7. pasākumu "Inovāciju granti studentiem" (turpmāk – pasākums);
1.2.
pasākuma mērķi;
1.3.
pasākumam plānoto un pieejamo finansējumu;
1.4.
prasības Eiropas Reģionālās attīstības fonda projekta (turpmāk – projekts) iesniedzējam, finansējuma saņēmējam un projekta sadarbības partneriem;
1.5.
atbalstāmo darbību un izmaksu attiecināmības nosacījumus;
1.6.
ar komercdarbības atbalsta saņemšanu saistītos nosacījumus;
1.7.
vienkāršoto izmaksu piemērošanas nosacījumus un kārtību.
2.
Noteikumos lietoti šādi termini:
2.1.
ar saimniecisko darbību nesaistīts projekts – projekts, kas atbilst šādiem kritērijiem:
2.1.1.
projektu īsteno Latvijas Republikas zinātnisko institūciju reģistrā reģistrēta zinātniskā institūcija, kas atbilst šo noteikumu 2.3. apakšpunktā minētajai pētniecības organizācijas definīcijai;
2.1.2.
projektā īsteno darbības, kurām nav saimnieciska rakstura;
2.2.
darbība, kurai nav saimnieciska rakstura, – pētniecības organizācijas pamatdarbība, kura neietilpst Līguma par Eiropas Savienības darbību 107. panta 1. punktā noteiktajā darbības jomā un kuras izpausmes veidi ir šādi:
2.2.1.
publiska izglītība, kuras mērķis ir vairot un uzlabot cilvēkresursu prasmes un kas tiek nodrošināta valsts izglītības sistēmas ietvaros un galvenokārt vai pilnībā ir valsts finansēta un uzraudzīta;
2.2.2.
neatkarīga pētniecība un izstrāde, lai gūtu vairāk zināšanu un labāku izpratni, tostarp kopīga pētniecība un izstrāde, pētniecības organizācijai iesaistoties efektīvā sadarbībā;
2.2.3.
pētniecības rezultātu izplatīšana bez ekskluzivitātes un diskriminēšanas, tai skaitā izmantojot mācīšanu, brīvas piekļuves datubāzes, atklātas publikācijas vai atklātā pirmkoda programmatūru;
2.2.4.
zinātības un tehnoloģiju pārneses darbības, ja:
2.2.4.1.
zinātības un tehnoloģiju pārneses darbības veic pētniecības organizācija, pētniecības organizācijas nodaļa vai pētniecības organizācijas meitas uzņēmums (tāda komercsabiedrība, kurā mātes uzņēmuma līdzdalības daļa pārsniedz 50 procentu vai kurā mātes uzņēmumam ir balsu vairākums un kura atbilst šo noteikumu 2.3. apakšpunktā minētajai pētniecības organizācijas definīcijai), vai pētniecības organizācija kopīgi ar citām pētniecības organizācijām, vai pētniecības organizācija kopīgi ar trešajām pusēm, atklātā konkursā slēdzot līgumus par noteiktiem pakalpojumiem;
2.2.4.2.
visa peļņa no šādas darbības tiek atkal ieguldīta pētniecības organizācijas pamatdarbībā;
2.3.
pētniecības organizācija – pētniecības un zināšanu izplatīšanas organizācija, kas atbilst Komisijas 2014. gada 17. jūnija Regulas (ES) Nr. 651/2014, ar ko noteiktas atbalsta kategorijas atzīst par saderīgām ar iekšējo tirgu, piemērojot Līguma 107. un 108. pantu, 2. panta 83. punktā sniegtajai definīcijai;
2.4.
intelektuālā īpašuma tiesības – tiesības, kas atbilst Eiropas Komisijas 2014. gada 21. marta Regulas Nr. 316/2014 par Līguma par Eiropas Savienības darbību 101. panta 3. punkta piemērošanu tehnoloģiju nodošanas nolīgumu kategorijām 1. panta "h" apakšpunktā noteiktajai definīcijai;
2.5.
viens vienots uzņēmums – uzņēmums, kas atbilst Eiropas Komisijas 2023. gada 13. decembra Regulas (ES) Nr. 2023/2831 par Līguma par Eiropas Savienības darbību 107. un 108. panta piemērošanu de minimis atbalstam (turpmāk – Komisijas regula Nr. 2023/2831) 2. panta 2. punktam;
2.6.
augstskola – valsts vai privātpersonas dibināta un noteiktā kārtībā Latvijas Republikā reģistrēta un akreditēta augstskola (zinātnes universitāte, mākslu un kultūras universitāte, lietišķo zinātņu universitāte un lietišķo zinātņu augstskola);
2.7.
augstākās izglītības institūcija – valsts vai privātpersonas dibināta un noteiktā kārtībā Latvijas Republikā reģistrēta un akreditēta augstskola vai koledža;
2.8.
ideju banka – sabiedrībai un komersantiem aktuāli izaicinājumi, ražošanas vai attīstības problēmjautājumi, ko projekta iesniedzējs sadarbībā ar stratēģiskajiem un sadarbības partneriem apkopo, sistematizē un pastāvīgi aktualizē, lai tie būtu publiski pieejami, un kuriem risinājumus var izstrādāt Studentu inovāciju programmas dalībnieki programmas ietvaros;
2.9.
inovāciju fonds – finanšu resursu kopums Studentu inovāciju programmas īstenošanai, kas, atbilstoši šo noteikumu 52.5. apakšpunktam, ir no citām finansējuma saņēmēja darbībām nodalīta finanšu plūsma ar atsevišķu grāmatvedības uzskaiti. Inovāciju fonds var būt jau esošs vai projekta vajadzībām izveidots nodibinājums, kam var būt piešķirts sabiedriskā labuma organizācijas statuss un kas nodrošina skaidru ar Studentu inovāciju programmas īstenošanu saistītās finanšu plūsmas nodalīšanu no citām nodibinājuma darbībām;
2.10.
mentors – savas jomas profesionālis, kas brīvprātīgi dalās praktiskās zināšanās un pieredzē un sniedz Studentu inovāciju programmas dalībniekiem ar uzņēmējdarbības un inovāciju attīstību saistītus padomus;
2.11.
projekta īstenošanas personāls – studentu darbu vadītāji, studentu inovāciju pieteikumu vērtēšanas eksperti, lektori, tehnoloģiju eksperti, laboranti iekārtu apkalpošanai studentu inovācijas projektu ieviešanas laikā u. c. personas, kas iesaistās Studentu inovāciju programmas īstenošanā;
2.12.
sadarbības partneris – šo noteikumu 22. punktā minētā organizācija, kas iesaistās projekta īstenošanā, deleģējot savas organizācijas speciālistus kā mentorus, studentu darba vadītājus, ekspertus studentu inovāciju pieteikumu atlasei un rezultātu novērtēšanai, lektorus Studentu inovāciju programmas ietvaros īstenotajos izglītojošajos pasākumos vai nodrošinot piekļuvi organizācijas infrastruktūrai, lai studējošie varētu īstenot studentu inovāciju pieteikumus;
2.13.
studentu inovāciju pieteikums – risinājums, ko Studentu inovāciju programmas ietvaros studējošais vai studējošo komanda piedāvā un izstrādā problēmjautājumam no ideju bankas, vai studējošā vai studējošo komandas pašu definēta problēmjautājuma risinājums sociālekonomiskās situācijas uzlabošanai;
2.14.
Studentu inovāciju programma – projekta iesniedzēja sadarbībā ar stratēģiskajiem partneriem izstrādāta programma, kas ietver kompleksu pasākumu kopumu un to īstenošanas kārtību un nosacījumus studējošo inovācijas spēju un uzņēmīguma attīstībai, tostarp paredzot, ka:
2.14.1.
studentu inovāciju pieteikumu atlasi nodrošina ekspertu komisija, kuras sastāvā ir iekļauti eksperti ar atbilstošu zinātnisko un biznesa attīstības kompetenci un pieredzi, tostarp jaunuzņēmumu dibinātāji un citi uzņēmēji, nozaru vai tehnoloģiju eksperti;
2.14.2.
studentu inovāciju pieteikumu īstenošanā var iesaistīt arī citu Latvijas un ārvalstu augstākās izglītības institūcijās studējošos, kā arī vispārējās vidējās izglītības un profesionālās izglītības iestāžu izglītojamos, kuru ieguldījums studentu inovāciju pieteikuma īstenošanā ir identificējams;
2.14.3.
programmas īstenošanai ir pietiekams studentu darbu vadītāju, mentoru skaits un laboratoriju tīkls studentu inovāciju pieteikumu īstenošanai, tostarp ņemot vērā Studentu inovāciju programmā indikatīvi plānoto iesaistāmo studentu vai studentu komandu skaitu;
2.15.
studentu darbu vadītājs – savas jomas profesionālis, kas palīdz attīstīt studējošā vai studējošo komandas inovatīvo ideju, sniedzot atbalstu zinātniskajā vai tehniskajā jomā, vai palīdz attīstīt biznesa ideju, apzināt riskus un potenciālās attīstības iespējas, sniegt praktiskus ieteikumus inovatīvas idejas attīstīšanai. Kā studentu darbu vadītājus var iesaistīt arī studentus, pēcdoktorantus un rezidentus ar atbilstošu kompetenci un pieredzi;
3.
Pasākuma mērķis ir sekmēt studējošo inovāciju pieteikumu īstenošanu, kas attīsta studējošo inovācijas spēju un uzņēmīgumu, t. sk. uzņēmējspēju, risina nozarei, sabiedrībai vai tās daļai nozīmīgas problēmas un stiprina augstskolu un studējošo sadarbību ar komersantiem.
4.
Pasākuma ietvaros tiek finansētas Latvijas augstskolu Studentu inovāciju programmas, kas sniedz ieguldījumu Latvijas Viedās specializācijas stratēģijas (turpmāk – RIS3) mērķu sasniegšanā un specializācijas jomu attīstībā, tostarp sniedzot ieguldījumu cilvēkkapitāla pieauguma nodrošināšanā.
5.
Pasākuma ietvaros finansē projektus, kuru darbībām nav saimnieciska rakstura (izņemot šo noteikumu V nodaļā aprakstītos gadījumus).
6.
Pasākuma tiešā mērķa grupa ir:
6.1.
bakalaura, profesionālo studiju, maģistra, doktora vai rezidentūras studiju programmās studējošie;
6.2.
Latvijas augstskolas.
7.
Pasākuma ietvaros līdz 2029. gada 31. decembrim sasniedzami šādi uzraudzības rādītāji:
7.1.
rezultāta rādītājs - publisko atbalstu papildinošās privātās investīcijas (tai skaitā granti, finanšu instrumenti) – 1 650 000 euro;
7.2.
nacionālie rādītāji:
7.2.1.
radīto inovāciju skaits, tostarp izstrādāti jauni produkti, procesi, pakalpojumi, izstrādātas tehnoloģiju, organizatoriskās vai mārketinga inovācijas, izveidoti prototipi vai jaunas vai būtiski uzlabotas metodes;
7.2.2.
studējošo un doktora grāda pretendentu skaits, kuriem pilnveidotas inovāciju un uzņēmējspēju kompetences - vismaz 4000;
7.2.3.
studējošo un doktora grāda pretendentu skaits, kuri piedalījušies studentu inovāciju programmas pasākumos - vismaz 5060;
7.2.4.
komersantu skaits, kuri sadarbojas ar augstskolām, kas iesaistās studentu inovāciju grantu programmu īstenošanā - vismaz 350;
7.2.5.
studējošo skaits, kas ieguvuši prakses vietas vai tikuši nodarbināti uzņēmumos, kas īsteno P&A aktivitātes, vai zinātniskajās institūcijās - vismaz 10% no studējošajiem, kuriem ir pilnveidotas inovāciju un uzņēmējspēju kompetences;
7.2.6.
vismaz 30 procenti no studentu inovāciju pieteikumiem ir saistīti ar mākslīgā intelekta tehnoloģijām, iekšējo un ārējo drošību vai izglītības tehnoloģijām;
7.2.7.
ne mazāk kā 40 procenti no studentu inovāciju pieteikumiem ir īstenoti starpdisciplinārās komandās, kurās piedalās vismaz divu Latvijas izglītības tematisko grupu pārstāvji.
8.
Pasākuma ietvaros Kohēzijas politikas fondu vadības informācijas sistēmā finansējuma saņēmējam ir jāuzkrāj šādi RIS3 rādītāji katrā no RIS3 jomām:
8.1.
jaunradītās tehnoloģijas (skaits);
8.2.
jaunradītie produkti (preces un pakalpojumi, kas nav tehnoloģijas, skaits);
8.3.
iesaistītais zinātniskais personāls (jaunie zinātnieki, maģistranti, doktoranti un doktora grāda pretendenti, skaits);
8.4.
publikācijas – WoS un SCOPUS (kopā).
10.
Pasākuma ietvaros atbildīgās iestādes funkcijas pilda Izglītības un zinātnes ministrija (turpmāk – atbildīgā iestāde).
11.
Pasākuma ietvaros plānotais kopējais finansējums ir 16 500 000 euro (tostarp elastības finansējuma apmērs 2 602 468 euro), tai skaitā Eiropas Reģionālās attīstības fonda finansējums – 14 025 000 euro (tostarp elastības finansējums – 2 212 098 euro), valsts budžeta līdzfinansējums 825 000 euro (tostarp elastības finansējums – 390 370 euro) un privātais līdzfinansējums – 1 650 000 euro.
12.
Projektu iesniegumos pasākuma īstenošanai kopējo pasākumam pieejamo finansējumu plāno ne vairāk kā 13 897 532 euro apmērā, ko veido Eiropas Reģionālās attīstības fonda finansējums 11 812 902 euro apmērā, valsts budžeta līdzfinansējums 434 630 euro apmērā un privātais līdzfinansējums 1 650 000 euro apmērā.
13.
Atbildīgā iestāde pēc Eiropas Komisijas lēmuma par vidusposma pārskatu var ierosināt no 2026. gada 1. janvāra palielināt pasākumam pieejamo kopējo finansējumu līdz šo noteikumu 11. punktā minētajam plānotajam kopējam finansējuma apmēram.
14.
Maksimālais attiecināmais Eiropas Reģionālās attīstības fonda finansējuma apmērs nepārsniedz 85 procentus no projekta kopējā attiecināmā finansējuma. Privātais līdzfinansējums veido 10 procentus no projekta kopējā attiecināmā finansējuma.
15.
Pasākumu īsteno atklātas projektu iesniegumu atlases veidā.
16.
Pasākuma ietvaros Eiropas Reģionālās attīstības fonda finansējumu piešķir granta veidā.
17.
Projekta īstenošanas vieta ir Latvijas Republikas teritorija.
II.Prasības projekta iesniedzējam un projekta sadarbības partneriem
18.
Projekta iesniedzējs ir augstskola, kas sagatavo projekta iesniegumu un projektu iesniegumu atlases nolikumā noteiktajā kārtībā iesniedz to sadarbības iestādē, izmantojot Kohēzijas politikas fondu vadības informācijas sistēmas elektronisko vidi. Ja sadarbības iestāde apstiprina projekta iesniegumu, projekta iesniedzējs ir Eiropas Reģionālās attīstības fonda finansējuma saņēmējs (turpmāk – finansējuma saņēmējs). Projekta iesniegumam papildus pievieno šādus dokumentus:
18.1.
Studentu inovāciju programmu;
18.2.
projekta iesnieguma un tā pielikumu tulkojumu angļu valodā atbilstoši atlases nolikumā noteiktajam;
18.3.
sadarbības partnera apliecinājumu par gatavību piedalīties projekta īstenošanā, tai skaitā iekļaujot informāciju par sadarbības partnera ieguldījumu projekta īstenošanā;
18.4.
izstrādāto kārtību de minimis atbalsta piešķiršanai.
19.
Projekta iesniedzējs pasākuma ietvaros iesniedz vienu projekta iesniegumu.
20.
Augstskolas, kurām ir apstiprināta ārējā konsolidācija ar citu augstākās izglītības institūciju, iesniedz vienu projekta iesniegumu.
21.
Projekta iesniedzējs projektu īsteno sadarbībā ar vienu vai vairākiem šo noteikumu 22. punktā minētajiem sadarbības partneriem, projekta iesniegumā pamatojot to izvēli, nepieciešamību un norādot to iesaisti atbalstāmo darbību īstenošanā.
22.
Projekta iesniedzējs kā sadarbības partneri var iesaistīt:
22.1.
Latvijas vai ārvalsts augstākās izglītības institūciju;
22.2.
zinātnisko institūciju;
22.3.
profesionālās izglītības kompetences centru;
22.4.
vispārējās izglītības iestādi;
22.5.
komersantu;
22.6.
biedrību vai nodibinājumu;
22.7.
valsts vai pašvaldības institūciju.
23.
Finansējuma saņēmējs pēc projekta iesnieguma apstiprināšanas ar katru sadarbības partneri slēdz sadarbības līgumu atbilstoši normatīvajiem aktiem, kas nosaka kārtību, kādā Eiropas Savienības fondu vadībā iesaistītās institūcijas nodrošina šo fondu ieviešanu 2021.–2027. gada plānošanas periodā, tostarp plānojot, ka sadarbības partneris iesaistās projekta īstenošanā ar tā valdījumā vai īpašumā esošu mantu, intelektuālo īpašumu, finansējumu vai cilvēkresursiem, un šādu ieguldījumu rezultātā finansējuma saņēmējam ar sadarbības partneri nevar rasties tādas tiesiskās attiecības, no kurām izrietētu, ka šis darījums atbilst publiska iepirkuma līguma pazīmēm atbilstoši Publisko iepirkumu likumam vai Sabiedrisko pakalpojumu sniedzēju iepirkumu likumam, vai ka darījumam jāpiemēro normatīvie akti par iepirkuma procedūru un tās piemērošanas kārtību pasūtītāja finansētiem projektiem. Sadarbības līgumā papildus informācijai, kas noteikta normatīvajos aktos par kārtību, kādā Eiropas Savienības fondu vadībā iesaistītās institūcijas nodrošina šo fondu ieviešanu 2021.–2027. gada plānošanas periodā, iekļauj vismaz šādu informāciju:
23.1.
sadarbības partnera īstenojamās darbības un to apjomu;
23.2.
sadarbības partnera ieguldījumu projekta īstenošanā, tostarp informāciju par finanšu, cilvēkresursu ieguldījumu, kā arī piekļuves nodrošināšanu sadarbības partnera infrastruktūrai;
23.3.
maksājumu veikšanas kārtību šo noteikumu 32.1.1. un 32.1.3. apakšpunktā minēto atbalstāmo darbību īstenošanai un attiecināmo izmaksu segšanai;
23.4.
pārskatu un citas informācijas iesniegšanas kārtību un termiņus.
24.
Sadarbības partneriem ar šo noteikumu 32.1.1. un 32.1.3. apakšpunktā minēto atbalstāmo darbību īstenošanu saistītās izmaksas ir attiecināmas pēc šo noteikumu 23. punktā minēto sadarbības līgumu noslēgšanas, bet ne agrāk kā no vienošanās vai līguma par projekta īstenošanu noslēgšanas dienas.
25.
Finansējuma saņēmējs ir atbildīgs par projekta sadarbības partneru pienākumu izpildi projekta īstenošanā un projekta sadarbības partneru īstenotajām funkcijām projektā, tai skaitā novēršot dubultā finansējuma risku un nodrošinot demarkāciju ar citiem līdzīgiem vai saistītiem pasākumiem.
26.
Finansējuma saņēmējs projekta ietvaros plānotajām atbalstāmajām darbībām nodrošina sinerģiju un papildinātību ar citām izglītības attīstību, inovāciju un uzņēmējdarbību veicinošām atbalsta programmām.
27.
Finansējuma saņēmējs nodrošina, ka Studentu inovāciju programmas īstenošanas kārtība ir publiski pieejama un skaidri definēta, tostarp finansējuma saņēmējs:
27.1.
izstrādā studentu inovāciju pieteikumu atlases nolikumu, vērtēšanas kritērijus un vērtēšanas metodiku;
27.2.
izveido studentu inovāciju pieteikumu vērtēšanas komisiju un komisijas sastāvā iekļauj Latvijas vai ārvalstu ekspertus ar atbilstošu zinātnisko un biznesa attīstības kompetenci un pieredzi, tostarp jaunuzņēmumu dibinātājus un citus uzņēmējus, nozaru vai tehnoloģiju ekspertus;
27.3.
pieņem lēmumu par finansējuma piešķiršanu šo noteikumu 36.2.1.1. un 36.2.1.2. apakšpunktā minētajām izmaksu pozīcijām saskaņā ar finansējuma saņēmēja izstrādātu kārtību.
28.
Ja finansējuma saņēmējs vienlaikus ir vai plāno būt sadarbības partneris citam finansējuma saņēmējam, tas ir jānorāda projekta iesniegumā, pamatojot resursu pietiekamību plānoto darbību īstenošanai visos saistītajos projektos.
29.
Finansējuma saņēmējs uzkrāj un pēc nepieciešamības sniedz atbildīgajai un sadarbības iestādei informāciju par Studentu inovāciju programmā iesaistīto studējošo un citu iesaistīto pušu un veikto darbību skaitu un citiem raksturojošiem parametriem, kā arī par projekta īstenošanas laikā sasniegtajiem rezultātiem un šo noteikumu 7. punktā minēto uzraudzības rādītāju izpildi, tostarp ieguldījumu horizontālo prioritāšu īstenošanā:
29.1.
par projekta ietvaros piesaistīto privāto finansējumu, neskaitot augstskolas pašas ieņēmumus, kas tiek novirzīti projekta līdzfinansēšanai;
29.2.
par komersantiem, kas pasākuma ietvaros piešķir finansējumu programmas īstenošanai, deleģē uzņēmuma speciālistus kā mentorus, darbu vadītājus vai kā ekspertus studentu inovāciju pieteikumu atlasei, īstenošanai un novērtēšanai vai arī nodrošina piekļuvi uzņēmuma infrastruktūrai, lai studējošie varētu īstenot studentu inovāciju pieteikumus;
29.3.
studentu inovāciju pieteikumiem sadalījumā pa RIS3 jomām;
29.4.
par horizontālā principa "Vienlīdzība, iekļaušana, nediskriminācija un pamattiesību ievērošana" rādītāju "sieviešu skaits atbalsta saņēmēju vidū".
30.
Finansējuma saņēmējs savā tīmekļvietnē publicē informāciju par visiem sekmīgi īstenotajiem studentu inovāciju pieteikumiem, norādot pieteikumu nosaukumu un kopsavilkumu dalījumā par RIS3 jomām.
III.Atbalstāmās darbības un attiecināmās izmaksas
31.
Finansējuma saņēmējs projekta ietvaros nodrošina Studentu inovāciju programmas pasākumu īstenošanu, tostarp izveido un pastāvīgi attīsta ideju banku.
32.
Pasākuma ietvaros ir atbalstāmas šādas darbības:
32.1.
projekta īstenošana:
32.1.1.
Studentu inovāciju programmas īstenošana, kas var ietvert tādus pasākumus kā studentu komandu veidošana, inovāciju konkursi un sacensības, studentu inovāciju pieteikumi, inovāciju darbnīcas, kuru ietvaros tiek īstenoti studentu inovāciju pieteikumi, specializētās mācības, kas tieši saistītas ar studentu inovāciju pieteikumu īstenošanu;
32.1.2.
studentu inovāciju pieteikumu vērtēšana, atlase, izpildes uzraudzība un rezultātu novērtēšana;
32.1.3.
komunikācijas un vizuālās identitātes pasākumi par Studentu inovāciju programmas īstenošanu un tās rezultātiem;
32.2.
projekta vadība;
32.3.
informācijas un vizuālās identitātes pasākumi par projekta īstenošanu.
33.
Viena projekta iesnieguma maksimālais publiskais attiecināmais finansējums ir:
33.1.
2 500 000 euro, ja projekta iesniedzēja un sadarbības partnera (ja attiecināms) augstskolā kopējais pilna laika studējošo skaits pārsniedz 5 000;
33.2.
510 000 euro, ja projekta iesniedzēja un sadarbības partnera (ja attiecināms) augstskolā kopējais pilna laika studējošo skaits ir no 1 000 līdz 5 000;
33.3.
210 000 euro, ja projekta iesniedzēja un sadarbības partnera (ja attiecināms) augstskolā kopējais pilna laika studējošo skaits ir no 500 līdz 1 000.
34.
Pasākuma ietvaros ir attiecināmas šādas izmaksas:
34.1.
tiešās attiecināmās izmaksas, kas ir tieši saistītas ar šo noteikumu 32. punktā minēto atbalstāmo darbību īstenošanu un ir nepieciešamas projekta rezultātu sasniegšanai, un šī saistība ir skaidri saprotama (nerada šaubas) un pierādāma;
34.2.
netiešās attiecināmās izmaksas, kas nav tieši saistītas ar šo noteikumu 32. punktā minētajām atbalstāmajām darbībām projekta rezultātu sasniegšanai, bet atbalsta un nodrošina atbilstošus apstākļus atbalstāmo darbību īstenošanai un rezultātu sasniegšanai.
35.
Finansējuma saņēmējam šo noteikumu 36. punktā minētās izmaksas ir attiecināmas, ja tās atbilst šajos noteikumos minētajām izmaksu pozīcijām un ir radušās no projekta iesnieguma iesniegšanas dienas.
36.
Šo noteikumu 34.1. apakšpunktā minētās projekta tiešās attiecināmās izmaksas ietver šādas izmaksu pozīcijas:
36.1.
tiešās attiecināmās personāla izmaksas:
36.1.1.
projekta vadības personāla atlīdzības izmaksas (izņemot virsstundas) šo noteikumu 32.2. un 32.3. apakšpunktā minēto atbalstāmo darbību īstenošanai;
36.1.2.
projekta īstenošanas personāla atlīdzības izmaksas (izņemot virsstundas) šo noteikumu 32.1. apakšpunktā minēto atbalstāmo darbību īstenošanai:
36.1.2.1.
ekspertu atlīdzības izmaksas par individuālo konsultāciju sniegšanu, kas tieši saistītas ar studentu inovāciju pieteikuma tematiku un vērstas uz studentu inovāciju pieteikuma mērķu un rezultātu sasniegšanu;
36.1.2.2.
cita projekta īstenošanas personāla atlīdzības izmaksas, kas iesaistās Studentu inovāciju programmas īstenošanā, izņemot šo noteikumu 36.1.2.1. apakšpunktā minētās izmaksas;
36.1.3.
projekta īstenošanas personāla atlīdzības izmaksas (izņemot virsstundas) šo noteikumu 32.3. apakšpunktā minēto atbalstāmo darbību īstenošanai;
36.2.
ar Studentu inovāciju programmu īstenošanu saistītās projekta īstenošanas izmaksas:
36.2.1.
mērķstipendijas izmaksas studējošajiem, kuri iesaistīti Studentu inovāciju programmā saskaņā ar šo noteikumu 27. punktā minēto finansējuma saņēmēja izstrādāto Studentu inovāciju programmas īstenošanas kārtību un ievērojot šādus izmaksu ierobežojumus:
36.2.1.1.
bakalaura, profesionālās augstākās izglītības, maģistra un rezidentūras studiju programmā studējošajam, doktora studiju programmā studējošajam, vispārējās vidējās izglītības, profesionālās izglītības iestāžu un koledžu izglītojamajam – līdz 280 euro mēnesī;
36.2.1.2.
vienreizēja stipendija par godalgotu vietu iegūšanu Studentu inovāciju programmas pasākumos. Maksimālais apjoms par pirmās vietas ieguvi nepārsniedz 5000 euro komandai, bet par otrās un trešās vietas ieguvi tiek attiecīgi gradēts atbilstoši Studentu inovāciju programmā noteiktajam;
36.2.2.
ar studentu inovāciju pieteikumu īstenošanu saistītās materiālu un pakalpojumu izmaksas, tostarp laboratoriju, testēšanas aprīkojuma, projektēšanas iekārtu izmantošanas, analīžu veikšanas un materiālu nodrošinājuma izmaksas;
36.2.3.
inovāciju konkursu, sacensību un inovāciju darbnīcu organizēšanas izmaksas, tostarp telpu īre (ja projekta aktivitāšu īstenošanai nepieciešams īrēt telpas ārpus finansējuma saņēmēja juridiskās un faktiskās uzturēšanās adreses), materiālu nodrošinājuma izmaksas un studējošo mobilitātes izmaksas Latvijā un ārvalstīs, kas tieši saistītas ar konkrētu studentu inovāciju pieteikumu īstenošanu;
36.2.4.
informatīvo un metodisko materiālu izstrādes un publiskošanas izmaksas, tai skaitā informācijas sagatavošana un publicēšana finansējuma saņēmēja un sadarbības partnera tīmekļvietnē, tulkošanas izmaksas šo noteikumu 32. punktā minēto atbalstāmo darbību īstenošanai;
36.3.
jaunradītu darba vietu aprīkojuma (biroja mēbeļu un tehnikas, datorprogrammu un licences) iegādes vai īres izmaksas, tai skaitā aprīkojuma uzturēšanas un remonta izmaksas ne vairāk kā 3 000 euro vienai darba vietai visā projekta īstenošanas laikā, ja projekta vadības vai īstenošanas personāls ir nodarbināts projektā vismaz 30 procentu apmērā no normālā darba laika uz darba līguma pamata. Ja projekta vadības vai īstenošanas personāls ir nodarbināts nepilnu darba laiku vai daļlaiku, jaunradītas darba vietas aprīkojuma iegādes vai īres izmaksas ir attiecināmas proporcionāli darba slodzes procentuālajam sadalījumam. Daļlaika izmaksu attiecināšanas gadījumā tiek ņemts vērā darbinieka iesaistes periods pret projekta kopējo īstenošanas ilgumu;
36.4.
informācijas un vizuālās identitātes pasākumu izmaksas atbilstoši normatīvajiem aktiem, kas nosaka kārtību, kādā Eiropas Savienības fondu vadībā iesaistītās institūcijas nodrošina šo fondu ieviešanu 2021.–2027. gada plānošanas periodā;
36.5.
pakalpojuma izmaksas.
37.
Plānojot šo noteikumu 36.1. apakšpunktā minētās tiešās attiecināmās personāla izmaksas, finansējuma saņēmējs un sadarbības partneris (ja attiecināms) veic darba laika uzskaiti par projekta vadības un īstenošanas personāla projekta ietvaros veiktajām funkcijām un nostrādāto laiku un nodrošina, ka personālam, kas nodarbināts:
37.1.
pilnu darba laiku, nepilnu darba laiku vai daļlaiku ne mazāk kā 30 procentu apmērā no normālā darba laika, tiešajās attiecināmajās personāla izmaksās iekļauj darba algu, valsts sociālās apdrošināšanas obligātās iemaksas no apliekamajām attiecināmajām izmaksām, normatīvajos aktos darba tiesību un atlīdzības jomā noteiktās piemaksas un sociālo garantiju izmaksas;
37.2.
daļlaiku mazāk nekā 30 procentu apmērā no normālā darba laika, atlīdzības izmaksas tiek veiktas saskaņā ar finansējuma saņēmēja un sadarbības partnera (ja attiecināms) atalgojuma politikā noteikto stundas atlīdzības likmi, ņemot vērā projektā nostrādāto stundu skaitu. Tiešajās attiecināmajās personāla atlīdzības izmaksās iekļauj darbinieka darba algu un valsts sociālās apdrošināšanas obligātās iemaksas no apliekamajām attiecināmajām izmaksām, bet neiekļauj normatīvajos aktos noteiktās piemaksas un sociālo garantiju izmaksas.
38.
Vienreizējā maksājuma metodiku, atbilstoši atbildīgās iestādes apstiprinātajai vienkāršoto izmaksu metodikai, kas saskaņota ar vadošo iestādi, piemēro, nosakot šo noteikumu 36.1.2.1. apakšpunktā minētās ekspertu atlīdzības izmaksas, šo noteikumu 36.2.2. apakšpunktā minētās izmaksas un 36.2.3. apakšpunktā norādītās studējošo mobilitātes izmaksas Latvijā un ārvalstīs, kas tieši saistītas ar konkrētu studentu inovāciju pieteikumu īstenošanu. Līdz vienreizējā maksājuma metodikas spēkā stāšanās dienai 36.1.2.1., 36.2.2. un 36.2.3. apakšpunktos minētās izmaksas ir attiecināmas kā faktiskās izmaksas.
39.
Plānojot projekta vadības personāla atlīdzības izmaksas, ievēro šādus nosacījumus:
39.1.
tās nepārsniedz 84 787 euro gadā, ja projekta tiešās attiecināmās izmaksas ir lielākas par 5 000 000 euro;
39.2.
tās nepārsniedz 34 422 euro gadā, pieskaitot 0,64 procentus no projekta tiešajām attiecināmajām izmaksām (neieskaitot tiešās projekta vadības personāla izmaksas), ja projekta tiešās attiecināmās izmaksas nepārsniedz 5 000 000 euro (ieskaitot). Par nepilnu kalendāra gadu fiksēto summu aprēķina proporcionāli projekta mēnešu skaitam.
40.
Publiskos iepirkumus finansējuma saņēmējs un sadarbības partneri veic atklātā, pārredzamā, nediskriminējošā un konkurenci nodrošinošā procedūrā saskaņā ar normatīvajiem aktiem publisko iepirkumu jomā, izvērtējot iespējas iepirkumiem piemērot sociāli atbildīgu publisko iepirkumu un inovatīvu publisko iepirkumu. Projekta ietvaros ir atbalstāma vides prasību un inovatīva risinājuma integrēšana preču un pakalpojuma iepirkumos (zaļais publiskais iepirkums un inovāciju publiskais iepirkums).
41.
Šo noteikumu 34.2. apakšpunktā minētās netiešās attiecināmās izmaksas plāno kā vienu izmaksu pozīciju, piemērojot netiešo izmaksu vienoto likmi 15 procentu apmērā no šo noteikumu 36.1.1. un 36.1.2. apakšpunktā minētajām tiešajām attiecināmajām personāla izmaksām. Netiešo izmaksu vienoto likmi piemēro personāla izmaksām, kuras radušās uz darba līguma pamata.
42.
Pievienotās vērtības nodoklis ir projekta attiecināmās izmaksas, ja tas nav atgūstams atbilstoši normatīvajiem aktiem nodokļu politikas jomā.
IV.Projekta īstenošanas un finansēšanas nosacījumi
43.
Finansējuma saņēmējs projektu īsteno saskaņā ar noslēgto līgumu vai vienošanos par projekta īstenošanu, bet ne ilgāk kā līdz 2029. gada 30. novembrim.
44.
Finansējuma saņēmējs nodrošina, ka atbalstāmo darbību īstenošanu un iepirkumu veikšanu uzsāk ne vēlāk kā pirmajā ceturksnī pēc tam, kad noslēgts līgums vai vienošanās par projekta īstenošanu.
45.
Projekta īstenošanai nepieciešamo kopējo privāto līdzfinansējumu 10 procentu apmērā no projekta kopējām attiecināmajām izmaksām nodrošina no šādiem līdzekļiem:
45.1.
ziedojumi vai dāvinājumi inovāciju fondā, kas ir finanšu līdzekļi vai manta bez atlīdzības noteiktiem mērķiem vai bez mērķa;
45.2.
cits finansējums inovāciju fondā, tostarp:
45.2.1.
komersantu, biedrību vai nodibinājumu finansējums (juridiskas personas mērķmaksājums);
45.2.2.
finansējuma saņēmēja un sadarbības partnera – valsts augstskolas vai valsts zinātniskās institūcijas – rīcībā esošie līdzekļi no viņu saimnieciskās darbības, kredītresursi vai citi finanšu resursi, par kuriem nav saņemts nekāds publisks atbalsts, tai skaitā finansējums, par ko nav saņemts nekāds valsts vai pašvaldības galvojums, vai valsts vai pašvaldības kredīts uz atvieglotiem nosacījumiem (juridiskas personas mērķmaksājums);
45.2.3.
privātpersonu finansējums (fiziskas personas mērķmaksājums);
45.2.4.
projekta iesniedzēja un sadarbības partnera ieguldījumi natūrā, kuru vērtību ir iespējams neatkarīgi auditēt un novērtēt atbilstoši šo noteikumu 46. punktā minētajiem nosacījumiem. Kopējais ieguldījums natūrā nepārsniedz piecus procentus no projekta kopējām attiecināmajām izmaksām.
46.
Projekta ieguldījumus natūrā var veidot:
46.1.
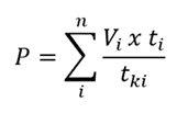
pamatlīdzekļi – tehnoloģiskās iekārtas (iekārtas, mēraparatūra, regulēšanas ierīces, laboratoriju un medicīnas iekārtas, autotransports), kas nav iegādātas par publiskiem līdzekļiem un kuru kopējo lietošanas vērtību aprēķina, ņemot vērā projekta ietvaros izmantotā pamatlīdzekļa minimālo vērtību (vidējās vienas darbdienas lietošanas izmaksas visā pamatlīdzekļa lietderīgās lietošanas periodā) un laiku, kādā pamatlīdzekli plānots izmantot projektā paredzēto darbību veikšanai. Kopējo pamatlīdzekļu lietošanas vērtību nosaka, izmantojot šādu formulu:

, kur
P – kopējā pamatlīdzekļu lietošanas vērtība, euro;
Vi – i-tā pamatlīdzekļa sākotnējā vērtība (iegādes izmaksas vai ražošanas pašizmaksa), euro;
i – pamatlīdzekļa variante (i = 1, 2, .., n; n – pamatlīdzekļu skaits);
ti – laiks, kādā pamatlīdzekli plānots izmantot projektā paredzēto darbību veikšanai, darbdienās;
tki – kopējais pamatlīdzekļa lietderīgās lietošanas laiks, darbdienās;

, kur
P – kopējā pamatlīdzekļu lietošanas vērtība, euro;
Vi – i-tā pamatlīdzekļa sākotnējā vērtība (iegādes izmaksas vai ražošanas pašizmaksa), euro;
i – pamatlīdzekļa variante (i = 1, 2, .., n; n – pamatlīdzekļu skaits);
ti – laiks, kādā pamatlīdzekli plānots izmantot projektā paredzēto darbību veikšanai, darbdienās;
tki – kopējais pamatlīdzekļa lietderīgās lietošanas laiks, darbdienās;
46.2.
piešķirtie materiāli (fizikālie, bioloģiskie, ķīmiskie un citi materiāli, izmēģinājuma dzīvnieki, reaktīvi, ķimikālijas, laboratorijas trauki, medikamenti pētniecībai, zemes platības, elektronikas komponentes un moduļi), kuru vērtību aprēķina proporcionāli projekta ietvaros patērētajam materiālu daudzumam un materiālu tirgus cenai.
47.
Finansējuma saņēmējs nodrošina inovāciju fonda izveidi līdz dienai, kad tiek noslēgta vienošanās vai līgums par projekta īstenošanu Inovāciju fonda finansējums nav mazāks kā:
47.1.
25 procenti no kopējā privātā līdzfinansējuma apjoma, ja projekta ilgums ir četri gadi;
47.2.
33 procenti no kopējā privātā līdzfinansējuma apjoma, ja projekta ilgums ir trīs gadi;
47.3.
50 procenti no kopējā privātā līdzfinansējuma apjoma, ja projekta ilgums ir divi gadi vai mazāk.
48.
Sadarbības iestāde projektu iesniegumu atlasē starptautisko zinātnisko ekspertīzi nodrošina sadarbībā ar Latvijas Zinātnes padomi.
49.
Lai nodrošinātu neatkarīgu projektu īstenošanu un novērstu iespējamo interešu konfliktu, katra projekta iesnieguma izvērtēšanā Latvijas Zinātnes padome iesaista ne mazāk kā divus ārvalstu ekspertus. Iesaistot ārvalstu ekspertus, ievēro šādus nosacījumus:
49.1.
ārvalstu ekspertam ir zinātnes doktora grāds;
49.2.
ārvalstu eksperta zinātniskā kvalifikācija atbilst konkrētā projekta iesnieguma zinātnes nozarei un tematikai;
49.3.
ārvalstu eksperta līdzšinējā vērtēšanas kompetence un darba pieredze atbilst konkrētā projekta iesnieguma zinātnes nozarei un tematikai;
49.4.
ārvalstu eksperts vērtējumu veic neatkarīgi un nepārstāv projekta iesnieguma iesniedzēja institūciju, viņa darbībā nav tādu apstākļu, kas izraisa interešu konfliktu, tai skaitā nerada un neradīs ārvalstu ekspertam personisku vai mantisku ieinteresētību.
50.
Projekta īstenošanas gaitā radušos papildu izdevumus vai sadārdzinājumu finansējuma saņēmējs sedz no saviem līdzekļiem.
51.
Ja projekta īstenošanas laikā finansējuma saņēmējam ir paredzēts avanss šo noteikumu 32. punktā minēto atbalstāmo darbību īstenošanai, kā arī šo noteikumu36.2.1. apakšpunktā minēto mērķstipendiju izmaksai, to var izmaksāt pa daļām un izmantot vienreizējā maksājuma izmaksu segšanai. Avansa maksājums nepārsniedz 30 procentus no projektam piešķirtā publiskā finansējuma kopsummas. Finansējuma saņēmējiem, kam ir valsts budžeta daļēji finansētas atvasinātas publiskas personas statuss vai atvasinātas publiskas personas aģentūras statuss un kas projektu īsteno tai deleģēto valsts pārvaldes uzdevumu ietvaros, avansa un starpposma maksājumu kopsumma var būt 100 procenti no projektam piešķirtā publiskā finansējuma kopsummas. Finansējuma saņēmējiem, kas ir privātpersonu dibinātas augstskolas, avansa un starpposma maksājumu kopsumma var būt 90 procenti no projektā paredzētā publiskā finansējuma kopsummas. Sadarbības iestāde var pieņemt lēmumu par nākamā avansa piešķiršanu pēc tam, kad iepriekšējais avansa maksājums ir apgūts pilnā apmērā.
52.
Projekta iesniedzējs iesniedz projektu, kas atbilst visiem šiem nosacījumiem:
52.1.
Studentu inovāciju programmas ietvaros veiktās darbības atbilst šo noteikumu 2.2. apakšpunktā noteiktajai darbības, kurai nav saimnieciska rakstura, definīcijai;
52.2.
ja Studentu inovāciju programmas īstenošanas rezultātā rodas intelektuālais īpašums, tad atbilstoši projekta iesniedzēja intelektuālā īpašuma tiesību pārvaldības un izmantošanas kārtībai intelektuālā īpašuma atsavināšanas līgumus vai licences līgumus:
52.2.1.
slēdz ar licenciātu, un par visām licenciātam nodotajām ekonomiskajām priekšrocībām tiek saņemta tāda atlīdzība, kas ir līdzvērtīga tirgus cenai par intelektuālā īpašuma tiesībām. Atlīdzība ir uzskatāma par līdzvērtīgu tirgus cenai, ja to dokumentāri var pierādīt vienā no šādiem veidiem:
52.2.1.1.
atlīdzības summa ir noteikta, izmantojot atklātu, pārredzamu un nediskriminējošu uz konkurenci balstītu pārdošanas procedūru;
52.2.1.2.
finansējuma saņēmējs kā pārdevējs var pierādīt, ka tas ir vienojies par kompensāciju godīgas konkurences apstākļos, lai iegūtu maksimālu saimniecisko labumu tajā brīdī, kad tiek noslēgts līgums;
52.3.
ja projekta īstenošanas rezultātā tiek gūti ieņēmumi no zinātības un tehnoloģiju pārneses un projekts atbilst Eiropas Parlamenta un Padomes 2013. gada 17. decembra Regulas Nr. 1303/2013, ar ko paredz kopīgus noteikumus par Eiropas Reģionālās attīstības fondu, Eiropas Sociālo fondu, Kohēzijas fondu, Eiropas Lauksaimniecības fondu lauku attīstībai un Eiropas Jūrlietu un zivsaimniecības fondu un vispārīgus noteikumus par Eiropas Reģionālās attīstības fondu, Eiropas Sociālo fondu, Kohēzijas fondu un Eiropas Jūrlietu un zivsaimniecības fondu un atceļ Padomes Regulu (EK) Nr. 1083/2006, 61. panta 7. punkta "b" apakšpunkta un 65. panta 8. punkta nosacījumiem, labuma guvējs veic projekta izmaksu ieguvumu vai izmaksu efektivitātes analīzi atbilstoši kārtībai, kādā Eiropas Savienības fondu vadībā iesaistītās institūcijas nodrošina šo fondu ieviešanu 2021.–2027. gada plānošanas periodā;
52.4.
īstenojot projektu, finansējuma saņēmējs nodrošina projekta īstenošanas finanšu plūsmas nodalīšanu no citām finansējuma saņēmēja darbības finanšu plūsmām projekta īstenošanas laikā un piecus gadus pēc noslēguma maksājuma veikšanas;
52.5.
īstenojot projektu, ir nodrošināta atsevišķa ar saimniecisko darbību nesaistīto darījumu ieņēmumu un izdevumu grāmatvedības uzskaite, kā arī minēto darījumu finanšu plūsmu nodalīšana atbilstoši normatīvajiem aktiem par gada pārskata sagatavošanas kārtību.
53.
Finansējuma saņēmējs iesniedz informāciju sadarbības iestādē pie kārtējā maksājuma pieprasījuma par studējošo prasmju un attieksmes novērtējumu pirms un pēc dalības Studentu inovāciju programmā pēc dalībnieku atlases un pēc pieteikuma pabeigšanas.
54.
Īstenojot projektu, finansējuma saņēmējs nodrošina šo noteikumu 32.3. apakšpunktā minētos informācijas un vizuālās identitātes pasākumus saskaņā ar Eiropas Parlamenta un Padomes 2021. gada 24. jūnija Regulas (ES) 2021/1060, ar ko paredz kopīgus noteikumus par Eiropas Reģionālās attīstības fondu, Eiropas Sociālo fondu Plus, Kohēzijas fondu, Taisnīgas pārkārtošanās fondu un Eiropas Jūrlietu, zvejniecības un akvakultūras fondu un finanšu noteikumus attiecībā uz tiem un uz Patvēruma, migrācijas un integrācijas fondu, Iekšējās drošības fondu un Finansiāla atbalsta instrumentu robežu pārvaldībai un vīzu politikai, 47. un 50. pantu un normatīvajiem aktiem, kas nosaka kārtību, kādā Eiropas Savienības fondu vadībā iesaistītās institūcijas nodrošina šo fondu ieviešanu 2021.–2027. gada plānošanas periodā, kā arī ievēro Eiropas Savienības fondu 2021.–2027. gada plānošanas perioda un Atveseļošanas fonda komunikācijas un dizaina vadlīnijas.
55.
Finansējuma saņēmējam ir pienākums līdz projekta iesnieguma iesniegšanai izstrādāt iekšējās kontroles sistēmu korupcijas un interešu konflikta riska novēršanai publiskas personas institūcijā atbilstoši Ministru kabineta 2017. gada 17. oktobra noteikumu Nr. 630 "Noteikumi par iekšējās kontroles sistēmas pamatprasībām korupcijas un interešu konflikta riska novēršanai publiskas personas institūcijā" prasībām.
56.
Finansējuma saņēmējs un sadarbības partneris projekta īstenošanas laikā nodrošina interešu konflikta neesību saskaņā ar Eiropas Parlamenta un Padomes 2018. gada 18. jūlija Regulas (ES, Euratom) Nr. 2018/1046 par finanšu noteikumiem, ko piemēro Savienības vispārējam budžetam, ar kuru groza Regulas (ES) Nr. 1296/2013, (ES) Nr. 1301/2013, (ES) Nr. 1303/2013, (ES) Nr. 1304/2013, (ES) Nr. 1309/2013, (ES) Nr. 1316/2013, (ES) Nr. 223/2014, (ES) Nr. 283/2014 un Lēmumu Nr. 541/2014/ES un atceļ Regulu (ES, Euratom) Nr. 966/2012, 61. panta prasībām un publisko iepirkumu reglamentējošajiem normatīvajiem aktiem, kā arī paraksta interešu konflikta neesības apliecinājumu.
57.
Finansējuma saņēmējs savā tīmekļvietnē ne retāk kā reizi trijos mēnešos ievieto aktuālu informāciju par projekta īstenošanu.
58.
Finansējuma saņēmējs nodrošina projektā paredzēto rezultātu ilgtspēju vismaz vienu gadu pēc noslēguma maksājuma veikšanas, šajā laikposmā paredzot:
58.1.
studentu inovāciju pieteikumu rezultātu publisku pieejamību saskaņā ar projekta iesniedzēja intelektuālā īpašuma politiku, ciktāl netiek skartas komercintereses (ja attiecināms);
58.2.
Studentu inovāciju programmas īstenošanu vai uz studējošo inovācijas kompetenču un uzņēmīguma attīstību vērstu integrētu pasākumu sistēmisku īstenošanu.
V.Ar komercdarbības atbalsta saņemšanu saistītie nosacījumi
59.
Ja inovāciju pieteikumu īstenošanas ietvaros/rezultātā tiek konstatēts atbalsts saimnieciskās darbības veikšanai, proti, inovāciju pieteikuma īstenotājs uzsāk saimniecisku darbību, dibina jaunuzņēmumu, un atbalsts saimnieciskās darbības veikšanai ir kvalificējams kā komercdarbības atbalsts, finansējuma saņēmējs, atbilstoši savai izstrādātai de minimis piešķiršanas kārtībai, lemj par de minimis atbalsta piešķiršanu inovāciju pieteikuma īstenotājam saskaņā ar Komisijas regulu Nr. 2023/2831 un normatīvajiem aktiem par de minimis atbalsta uzskaites un piešķiršanas kārtību un de minimis atbalsta uzskaites veidlapu paraugiem.
60.
Ievērojot 59. punktā minēto, atbalsts tiek piešķirts ar finansējuma saņēmēja lēmumu un ir uzskatāms par komercdarbības atbalstu inovāciju pieteikuma īstenotājam. Lēmuma pieņemšanas diena ir uzskatāma par komercdarbības atbalsta piešķiršanas brīdi.
61.
Inovāciju pieteikuma īstenotājs kā atbalsta pretendents, kas pretendē uz šo noteikumu 59. punktā minēto atbalstu, piesakās atbalstam, iesniedzot de minimis atbalsta uzskaites sistēmā (turpmāk – sistēma) sagatavoto veidlapas izdruku vai norāda sistēmā izveidotās un apstiprinātās pretendenta veidlapas identifikācijas numuru. Finansējuma saņēmējs kā atbalsta sniedzējs uzskaita atbalstu, kas sniegts saskaņā ar Komisijas regulu Nr. 2023/2831, ievērojot prasības normatīvajos aktos par de minimis atbalsta uzskaites un piešķiršanas kārtību.
62.
Finansējuma saņēmējs pirms de minimis atbalsta piešķiršanas inovāciju pieteikuma īstenotājam pārbauda, vai plānotais de minimis atbalsts kopā ar iepriekšējos trijos gados no atbalsta piešķiršanas dienas saņemto de minimis atbalstu viena vienota uzņēmuma līmenī nepārsniedz Komisijas regulas Nr. 2023/2831 3. panta 2. punktā noteikto maksimālo de minimis atbalsta apmēru.
63.
Finansējuma saņēmējs pirms de minimis atbalsta piešķiršanas pārbauda, vai inovāciju pieteikuma īstenotājam saskaņā ar Valsts ieņēmumu dienesta administrēto nodokļu (nodevu) parādnieku datubāzē pieejamo informāciju nav nodokļu vai nodevu parādu, tai skaitā valsts sociālās apdrošināšanas obligāto iemaksu parādu, kas kopsummā pārsniedz 150 euro, izņemot nodokļu maksājumus, kuru maksāšanas termiņš saskaņā ar likuma "Par nodokļiem un nodevām" 24. panta pirmo, 1.3 un 1.7 daļu ir pagarināts, sadalīts termiņos, atlikts vai atkārtoti sadalīts termiņos. Ja inovāciju pieteikuma īstenotājs neatbilst minētajam nosacījumam, finansējuma saņēmējs atbalstu ar Komisijas regulu Nr. 2023/2831 nepiešķir.
64.
Finansējuma saņēmējs nepiešķir inovāciju pieteikuma īstenotājam de minimis atbalstu, ja de minimis atbalsts ir saistīts ar kādu no Komisijas regulas Nr. 2023/2831 1. panta 1. un 2. punktā un Eiropas Parlamenta un Padomes 2021. gada 24. jūnija Regulas (ES) Nr. 2021/1058 par Eiropas Reģionālās attīstības fondu un Kohēzijas fondu 7. panta 1. punktā noteiktajām neatbalstāmajām nozarēm un darbībām un šo noteikumu 2. pielikumā noteiktajām neatbalstāmajām nozarēm un darbībām.
65.
Ja inovāciju pieteikuma īstenotājs vienlaikus darbojas gan kādā no nozarēm, kas minētas Komisijas regulas Nr. 2023/2831 1. panta 1. punkta "a", "b", "c" vai "d" apakšpunktā, gan vienā vai vairākās citās nozarēs, uz kurām attiecas šīs regulas darbības joma, tas nodrošina šo nozaru darbību vai izmaksu nodalīšanu saskaņā ar Komisijas regulas Nr. 2023/2831 1. panta 2. punktu, nodrošinot, ka darbības nozarēs, kuras ir izslēgtas no šīs regulas darbības jomas, negūst labumu no de minimis atbalsta, ko piešķir saskaņā ar Komisijas regulu Nr. 2023/2831.
66.
Inovāciju pieteikuma īstenotājs de minimis atbalstu drīkst kumulēt ar citu de minimis atbalstu, ievērojot Komisijas regulas Nr. 2023/2831 5. panta nosacījumus.
67.
Finansējuma saņēmējs lēmumu par de minimis atbalsta piešķiršanu var pieņemt saskaņā ar Komisijas regulas Nr. 2023/2831 7. panta 3. punktu un 8. pantu.
68.
Ja, īstenojot šos noteikumus, tiek pārkāpti Komisijas regulas Nr. 2023/2831 nosacījumi, inovāciju pieteikuma īstenotājam ir pienākums atmaksāt atbalsta sniedzējam projekta ietvaros saņemto nelikumīgo de minimis atbalstu kopā ar procentiem no līdzekļiem, kas ir brīvi no komercdarbības atbalsta, atbilstoši Komercdarbības atbalsta kontroles likuma IV vai V nodaļas nosacījumiem.
69.
Finansējuma saņēmējs nodrošina informācijas pieejamību 10 gadus pēc pēdējā atbalsta piešķiršanas un inovāciju pieteikuma īstenotājs nodrošina informācijas pieejamību 10 gadus no atbalsta piešķiršanas brīža atbilstoši Komisijas regulas Nr. 2023/2831 6. panta 3. punktam.
Ministru prezidents V. Uzvārds
Ministrs V. Uzvārds
