Noteikumi (konsolidētā versija)

24-TA-1400
Kārtība, kādā valsts fondēto pensiju shēmas līdzekļu pārvaldītājs aprēķina maksājumu par ieguldījumu plāna pārvaldi, un kārtība, kādā tiek veikta minētā maksājuma uzskaite un ieturēšana
Izdoti saskaņā ar Valsts fondēto pensiju likuma
11. panta 5.1 daļas 2. punktu un 11. panta 5.2 daļu
I.Vispārīgie jautājumi
1.
Noteikumi nosaka:
1.1.
kārtību, kādā valsts fondēto pensiju shēmas līdzekļu pārvaldītājs (turpmāk – pārvaldītājs) aprēķina maksājuma par ieguldījumu plāna pārvaldi (turpmāk – maksājums) pastāvīgo un mainīgo daļu;
1.2.
kārtību, kādā tiek veikta maksājuma pastāvīgās un mainīgās daļas uzskaite un ieturēšana.
2.
Noteikumos lietotie termini:
2.1.
aprēķina diena – diena, par kuru noteikta ieguldījumu plāna vērtība un ieguldījumu plāna daļas vērtība;
2.2.
daļas vērtība (DV) – ieguldījumu plāna daļas vērtība aprēķina dienā pēc maksājuma pastāvīgās un mainīgās daļas ieturēšanas;
2.3.
nepilnā daļas vērtība (DVN) – ieguldījumu plāna daļas vērtība aprēķina dienā pirms maksājuma mainīgās daļas ieturēšanas;
2.4.
atskaites indekss – indekss, ko izmanto DVN pieauguma (DVNP) salīdzināšanai un maksājuma mainīgās daļas aprēķinam. Atskaites indekss veidots kā parāda vērtspapīru (turpmāk – obligācijas) un kapitāla vērtspapīru (turpmāk – akcijas) indeksu kombinācija;
2.5.
perioda sākuma diena – diena, ko izmanto nepilnās daļas vērtības pieauguma (DVNP) un atskaites indeksa pieauguma (AIP) aprēķinā. Perioda sākuma diena ir:
2.5.1.
iepriekšējā aprēķina diena, ja aprēķins veikts par vienu aprēķina dienu;
2.5.2.
iepriekšējā gada pēdējā aprēķina diena, ja aprēķins veikts par periodu no gada sākuma;
2.5.3.
šā paša datuma aprēķina diena pirms astoņiem gadiem vai, ja par šo datumu nav aprēķina dienas, pirmā pieejamā aprēķina diena pirms šā paša datuma aprēķina dienas pirms astoņiem gadiem, ja aprēķins veikts par astoņu gadu periodu.
2.6.
akciju atskaites indeksa komponente (AAIK) – indekss, ko izmanto saliktā akciju atskaites indeksa (SAAI) aprēķinam. AAIK1 ir indekss STOXX Europe 600 Net Return (SXXR Index; ISIN EU0009658210; FIGI BBG000P5N0N9) un AAIK2 ir indekss MSCI ACWI Net Return EUR (NDEEWNR Index, FIGI BBG002T2YBW2)
2.7.
saliktais akciju atskaites indekss (SAAI) – akciju atskaites indeksu komponenšu (AAIK1 un AAIK2) summa, pielietojot akciju atskaites indeksa komponentes proporciju (PAAIK);
2.8.
akciju atskaites indeksa komponentes proporcija (PAAIK) – koeficients, kas, aprēķinot SAAI, nosaka izvēlētā AAIK īpatsvaru. PAAIK1 ir proporcija 50% jeb koeficients 0,5 no AAIK1un PAAIK2 ir proporcija 50% jeb koeficients 0,5 no AAIK2;
2.9.
pasīvā līdzekļu pārvaldīšanas stratēģija - stratēģija, saskaņā ar kuru ieguldījumu plāna līdzekļi tiek ieguldīti tirgus indeksiem piesaistītajos fondos;
2.10.
maksimālais kapitāla vērtspapīru īpatsvars (MKVI) – ieguldījumu plāna prospektā noteiktais maksimālais ieguldījumu īpatsvars kapitāla vērtspapīros,  alternatīvo  ieguldījumu fondos vai tādos ieguldījumu  fondos,  kas var veikt ieguldījumus kapitāla vērtspapīros vai citos riska ziņā tiem pielīdzināmos finanšu instrumentos;
2.1
SAAI aprēķina, izmantojot šādu formulu:
 
2.11.
Perioda sākuma dienai:
2.12.
Katrai nākamajai dienai:

SAAIt-1 – iepriekšējas dienas SAAI vērtība;
AAIK1,t - AAIK1 vērtība aprēķina dienā;
AAIK1,0 - AAIK1 vērtība perioda sākuma dienā;
AAIK2,t - AAIK2 vērtība aprēķina dienā;
AAIK2,0 - AAIK2 vērtība perioda sākuma dienā.
3.
DVN pieaugumu (DVNP), ko ieguldījumu plāns nopelnījis vai zaudējis pirms maksājuma mainīgās daļas ieturēšanas aprēķina dienā, aprēķina, izmantojot šādu formulu:



DVNPt – DVNP aprēķina dienā atbilstoši šo noteikumu 2.5. apakšpunktā minētajiem periodiem;

DVNt – aprēķina dienas DVN;

DV0 – perioda sākuma dienas DV.
4.
Atskaites indeksa pieaugumu (AIP) aprēķina, izmantojot šādu formulu:
 



AIPt – perioda AIP aprēķina dienā atbilstoši šo noteikumu 2.5. apakšpunktā minētajiem periodiem;

LBEATREUt – aprēķina dienas obligāciju indekss Bloomberg Barclays Euro Aggregate Total Return Euro Unhedged (LBEATREU Index, FIGI BBG002SG6D04);

LBEATREU0 – perioda sākuma dienas obligāciju indekss Bloomberg Barclays Euro Aggregate Total Return Euro Unhedged atbilstoši šo noteikumu 2.5. apakšpunktā minētajiem periodiem;

SAAIt  –  SAAI vērtība aprēķina dienā;

SAAI0 – SAAI vērtība perioda sākuma dienā;

KAP – koeficients, kas ir aprēķināts no MKVI atņemot 10 procentpunktus (KAP=MKVI-10%). KAP ir 0,00 (nulle), ja plāna MKVI ir vienāds vai mazāks par 10%.

 
5.
Ja aprēķina dienā obligāciju vai akciju indekss nav pieejams, izmanto pēdējo zināmo attiecīgā indeksa vērtību pirms šīs dienas.
6.
Ja kāds no aprēķinos izmantotajiem indeksiem tiek izbeigts, tad pārvaldītājs attiecīgo indeksu aprēķinos aizstāj šādi:
6.1.
indeksu Bloomberg Barclays Euro Aggregate Total Return Euro Unhedged aizstāj ar indeksu Euro Broad Investment-Grade Bond Index (EuroBIG) (SBEB Index, FIGI BBG002SBH4Y6);
6.2.
indeksu Euro Broad Investment-Grade Bond Index (EuroBIG) aizstāj ar indeksu iBoxx Euro Eurozone Sovereign 5-7 Total Return Index (QW1M Index, FIGI BBG000RFTW22);
6.3.
indeksu STOXX Europe 600 Net Return (SXXR Index; ISIN EU0009658210; FIGI BBG000P5N0N9) aizstāj ar indeksu S&P Europe 350 Net Total Return Index (SPTR350N Index, FIGI BBG002SSHQ07);
6.4.
indeksu S&P Europe 350 Net Total Return Index (SPTR350N Index; FIGI BBG002SSHQ07) aizstāj ar indeksu EURO STOXX 50 Net Return EUR (SX5T Index, FIGI BBG000P5MXR4);
6.5.
indeksu MSCI ACWI Net Return EUR (NDEEWNR Index, FIGI BBG002T2YBW2) aizstāj ar indeksu STOXX World AC (Cap Index) – Net EUR (STXWAR Index; FIGI BBG018C66BS3; ISIN CH0462362093);
6.6.
indeksu STOXX World AC (All Cap Index) - Net  EUR (STXWAR Index; FIGI BBG018C66BS3; ISIN CH0462362093BBG018C66BS3) aizstāj ar indeksu STOXX Global TMI (Total Market Index) – Net EUR (TW1R Index; FIGI BBG001J5KTN4; ISIN CH0114207837).
7.
Virspeļņu – starpību starp DVNP un AIP – aprēķina, izmantojot šādu formulu:



VPt – perioda virspeļņa aprēķina dienā;

DVNPt – DVNP aprēķina dienā;

AIPt – perioda AIP aprēķina dienā.
8.
Šo noteikumu 3., 4. un 7. punktā minēto aprēķinu rezultātu pārvaldītājs noapaļo ar precizitāti līdz septiņām zīmēm aiz komata.
II.Maksājuma pastāvīgās daļas aprēķins, uzskaite un ieturēšana
9.
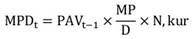
Valsts fondēto pensiju likumā noteikto maksājuma pastāvīgo daļu ieguldījumu plāna finanšu pārskatos pārvaldītājs uzskaita par katru kalendāra dienu un aprēķina, izmantojot šādu formulu:



MPDt – maksājuma pastāvīgās daļas apmērs aprēķina dienā;

PAVt–1 – ieguldījumu plāna neto aktīvu vērtība iepriekšējā aprēķina dienā;

MP – maksājuma pastāvīgā daļa procentos, kura noteikta saskaņā ar Valsts fondēto pensiju likuma 11. panta 5.1 daļu;

D – kalendāra dienu skaits pārskata gadā;

N – kalendāra dienu skaits no iepriekšējās aprēķina dienas.
10.
Maksājuma pastāvīgo daļu uzkrāj mēneša laikā, iegūstot kopējo maksājuma pastāvīgās daļas apmēru par kārtējo mēnesi, un aprēķina, summējot par katru aprēķina dienu aprēķināto dienas maksājuma pastāvīgo daļu no kārtējā mēneša sākuma, izmantojot šādu formulu:



MPDK – maksājuma pastāvīgās daļas apmērs par kārtējo mēnesi;

MPDt – maksājuma pastāvīgās daļas apmērs par katru aprēķina dienu;

K – aprēķina dienu skaits kārtējā mēnesī.
11.
Maksājuma pastāvīgo daļu par kārtējo mēnesi pārvaldītājs ietur reizi mēnesī.
III.Maksājuma mainīgās daļas aprēķins, uzskaite un ieturēšana
12.
Maksājuma mainīgās daļas aprēķins ietver no gada sākuma līdz aprēķina dienai (ieskaitot) starprezultātam uzkrāto maksājuma mainīgās daļas maksimālo apmēru, starprezultātam aprēķināto maksājuma mainīgo daļu un ieguldījumu plāna finanšu pārskatos uzskaitīto maksājuma mainīgo daļu.
13.
Pārvaldītājs starprezultātam uzkrāto maksājuma mainīgās daļas (MMD) maksimālo apmēru:
13.1.
euro izteiksmē par katru kalendāra dienu aprēķina, izmantojot šādu formulu:



MMDt – maksājuma mainīgās daļas maksimālais apmērs aprēķina dienā;

PAVt–1 – ieguldījumu plāna neto aktīvu vērtība iepriekšējā aprēķina dienā;

MK – maksimālais gada maksājums procentos, kurš noteikts saskaņā ar Valsts fondēto pensiju likuma 11. panta 5.3 daļu;

MP – maksājuma pastāvīgā daļa procentos, kura noteikta saskaņā ar Valsts fondēto pensiju likuma 11. panta 5.1 daļu;

D – kalendāra dienu skaits pārskata gadā;

N – kalendāra dienu skaits no iepriekšējās aprēķina dienas;
13.2.
uzkrāj gada laikā, iegūstot kopējo MMD par kārtējo gadu, ko aprēķina, summējot par katru aprēķina dienu aprēķināto MMD no kārtējā gada sākuma, izmantojot šādu formulu:



MMDK – maksājuma mainīgās daļas maksimālais apmērs par kārtējo gadu;

MMDt – maksājuma mainīgās daļas maksimālais apmērs par katru aprēķina dienu;

K – aprēķina dienu skaits kārtējā gadā;
13.3.
katru gadu uzkrāj no jauna. Kārtējā gada pirmajā aprēķina dienā pirms MMD aprēķināšanas MMD ir 0.
14.
Pārvaldītājs starprezultātam aprēķināto maksājuma mainīgo daļu (AMMD):
14.1.
aprēķina par katru aprēķina dienu;
14.2.
par aprēķina dienu, ja šajā dienā virspeļņa par pēdējo astoņu gadu periodu ir lielāka par nulli, aprēķina, izmantojot šādu formulu:

, kur


AMMDt – aprēķinātās maksājuma mainīgās daļas apmērs par aprēķina dienu;

PAVt–1 – ieguldījumu plāna neto aktīvu vērtība iepriekšējā aprēķina dienā;

VP1dt – aprēķina dienas virspeļņa aprēķina dienā;

VP8gt – astoņu gadu virspeļņa aprēķina dienā;
14.3.
uzkrāj gada laikā, iegūstot kopējo AMMD apmēru par kārtējo gadu, ko aprēķina, summējot par katru aprēķina dienu aprēķināto AMMD apmēru no kārtējā gada sākuma, izmantojot šādu formulu:



AMMDK – uzkrātais aprēķinātās maksājuma mainīgās daļas apmērs par kārtējo gadu;

AMMDt – aprēķinātās maksājuma mainīgās daļas apmērs par katru aprēķina dienu;

K – aprēķina dienu skaits kārtējā gadā;
14.4.
par aprēķina dienu, ja šajā dienā virspeļņa par pēdējo astoņu gadu periodu ir vienāda ar nulli vai mazāka, aprēķina, izmantojot šādu formulu:



AMMDt – aprēķinātās maksājuma mainīgās daļas apmērs par aprēķina dienu;

AMMDK,t–1 – uzkrātais aprēķinātās maksājuma mainīgās daļas apmērs par kārtējo gadu iepriekšējā aprēķina dienā;
14.5.
katru gadu uzkrāj no jauna. Kārtējā gada pirmajā aprēķina dienā pirms AMMD aprēķināšanas AMMD apmērs ir 0.
15.
Pārvaldītājs ieguldījumu plāna finanšu pārskatos uzskaitīto maksājuma mainīgo daļu (UMMD):
15.1.
par kārtējo gadu aprēķina dienā aprēķina, izmantojot šādu formulu:



UMMDK – ieguldījumu plāna finanšu pārskatos uzskaitītās maksājuma mainīgās daļas apmērs par kārtējo gadu;

MMDK – maksājuma mainīgās daļas maksimālais apmērs par kārtējo gadu;

AMMDK – uzkrātais aprēķinātās maksājuma mainīgās daļas apmērs par kārtējo gadu;
15.2.
par aprēķina dienu gada pirmajā aprēķina dienā aprēķina, izmantojot šādu formulu:



UMMDt – ieguldījumu plāna finanšu pārskatos uzskaitītās maksājuma mainīgās daļas apmērs par aprēķina dienu;

UMMDK,t – ieguldījumu plāna finanšu pārskatos uzskaitītās maksājuma mainīgās daļas apmērs par kārtējo gadu aprēķina dienā;
15.3.
par citām gada aprēķina dienām aprēķina, izmantojot šādu formulu:



UMMDt – ieguldījumu plāna finanšu pārskatos uzskaitītās maksājuma mainīgās daļas apmērs par aprēķina dienu;

UMMDK,t – ieguldījumu plāna finanšu pārskatos uzskaitītās maksājuma mainīgās daļas apmērs par kārtējo gadu aprēķina dienā;

UMMDK,t–1 – ieguldījumu plāna finanšu pārskatos uzskaitītās maksājuma mainīgās daļas apmērs par kārtējo gadu iepriekšējā aprēķina dienā;
15.4.
ja gada pēdējā aprēķina dienā DV ir vienāda vai mazāka par katra gada pēdējās aprēķina dienas DV iepriekšējo septiņu gadu periodā pirms kārtējā gada, bet UMMD apmērs par kārtējo gadu ir pozitīvs, aprēķina, izmantojot šādu formulu:
 


UMMDt – ieguldījumu plāna finanšu pārskatos uzskaitītās maksājuma mainīgās daļas apmērs par aprēķina dienu;

UMMDK,t–1 – ieguldījumu plāna finanšu pārskatos uzskaitītās maksājuma mainīgās daļas apmērs par kārtējo gadu iepriekšējā aprēķina dienā.
15.1
Maksājuma mainīgo daļu neaprēķina, ja pārvaldītājs saskaņā ar ieguldījumu plāna prospektu līdzekļu ieguldījumus pārvalda, izmantojot pasīvo līdzekļu pārvaldīšanas stratēģiju.
16.
Kopējo maksājuma mainīgās daļas apmēru par kārtējo gadu pārvaldītājs ietur reizi gadā.
IV.Noslēguma jautājumi
17.
2018., 2019., 2020., 2021., 2022., 2023., 2024. un 2025. gadā par perioda sākuma dienu aprēķinos, kas veikti par astoņiem gadiem, uzskata 2017. gada 31. decembri.
18.
Visiem ieguldījumu plāniem par 2017. gada pēdējo aprēķina dienu nosaka 2017. gada 31. decembri.
19.
Šo noteikumu 15.4. apakšpunktā minētā iepriekšējo septiņu gadu perioda uzskaite tiek uzsākta no 2017. gada 31. decembra (ieskaitot).
20.
Ieguldījumu plāniem, kas uzsāk darbību pēc šo noteikumu stāšanās spēkā, par perioda sākuma dienu aprēķinos, kas veikti par šo ieguldījumu plānu pirmo astoņu gadu periodu, kā arī aprēķinos, kas veikti šo ieguldījumu plānu darbības pirmajā kalendāra gadā par periodu no gada sākuma, uzskata šo plānu pirmo aprēķina dienu.
21.
Atzīt par spēku zaudējušiem Ministru kabineta 2014. gada 14. oktobra noteikumus Nr. 615 "Kārtība, kādā valsts fondēto pensiju shēmas līdzekļu pārvaldītājs aprēķina maksājumu par ieguldījumu plāna pārvaldi un tiek veikta maksājuma uzskaite un ieturēšana" (Latvijas Vēstnesis, 2014, 205. nr.).
22.
Noteikumi stājas spēkā 2018. gada 1. janvārī.