Ministru kabineta noteikumi Nr. 332
Rīgā 2025. gada 3. jūnijā (prot. Nr. 22 21. §)
24-TA-2790
Latvijas un Šveices sadarbības programmas 2019.–2029. gada perioda līdzfinansētās programmas "Bērnu vēža aprūpes attīstība Latvijā" īstenošanas noteikumi
Izdoti saskaņā ar Latvijas un Šveices sadarbības programmas 2019.—2029. gada perioda vadības likuma 15. panta 12. punktu
I.Vispārīgie jautājumi
1.
Noteikumi nosaka:
1.1.
Latvijas un Šveices sadarbības programmas 2019.–2029. gada perioda līdzfinansētās programmas "Bērnu vēža aprūpes attīstība Latvijā" (turpmāk – programma) īstenošanas nosacījumus;
1.2.
programmas mērķi un sasniedzamos rezultātus;
1.3.
pieejamo finansējumu;
1.4.
programmas apsaimniekotāju;
1.5.
iepriekš noteiktā projekta (turpmāk – projekts) potenciālo īstenotāju;
1.6.
atbalstāmo darbību un izmaksu attiecināmības nosacījumus;
1.7.
projekta līguma vienpusēja uzteikuma nosacījumus;
1.8.
komercdarbības atbalsta kontroles nosacījumus.
2.
Programmas apsaimniekotājs ir Veselības ministrija (turpmāk – programmas apsaimniekotājs).
3.
Projekta īstenotājs ir valsts sabiedrība ar ierobežotu atbildību "Bērnu klīniskā universitātes slimnīca" (turpmāk – projekta īstenotājs).
4.
Programmas ietvaros programmas apsaimniekotājs piešķir atbalstu projekta īstenotājam, pilda atbildīgās nozares ministrijas funkcijas un programmas apsaimniekotāja funkcijas, kā arī slēdz projekta līgumu.
5.
Programmas un projekta ieviešanas teritorija ir Latvijas Republika.
6.
Programmas finansējums atbilst pēc Eiropas Centrālās bankas publicētā euro atsauces kursa konvertētai summai, kas ir ekvivalenta 8 823 529 Šveices frankiem, tai skaitā Šveices finansiālais atbalsts – 85 % jeb 7 500 000 Šveices franki un valsts budžeta līdzfinansējums – 15 % jeb 1 323 529 Šveices franki. Programmas finansējuma ietvaros tiek plānots:
6.1.
programmas administrēšanai paredzētais finansējums – 532 116 Šveices franki, tai skaitā Šveices finansiālais atbalsts – 85 % jeb 452 299 Šveices franki un valsts budžeta līdzfinansējums – 15 % jeb 79 817 Šveices franki;
6.2.
projekta īstenošanai paredzētais finansējums – 8 291 413 Šveices franki, tai skaitā Šveices finansiālais atbalsts – 85 % jeb 7 047 701 Šveices franki un valsts budžeta līdzfinansējums – 15 % jeb 1 243 712 Šveices franki.
7.
Programmas īstenošana ietver:
7.1.
projektu;
7.2.
programmas vadību, ko veic programmas apsaimniekotājs.
II.Programmas mērķis un sasniedzamie rezultāti
8.
Programmas mērķis ir uzlabot diagnostiku, ārstēšanu un dzīves kvalitāti bērniem, kas slimo ar vēzi un retām slimībām vai ir tās pārslimojuši, nodrošinot aprūpes nepārtrauktību un uz pacientu orientētu daudzdisciplināru pieeju. Izmantojot vienotu pieeju, programma tiks īstenota vairākos stratēģiskos virzienos, tostarp:
8.1.
kapacitātes stiprināšanā un uz pacientu orientētā aprūpē, lai sagatavotu medicīnisko personālu un stiprinātu uz pacientu orientētas iniciatīvas, kas ietver visu tās aprūpes nepārtrauktību, kura nepieciešama ar vēzi un retām slimībām slimojošiem bērniem;
8.2.
klīniskās un laboratoriju kapacitātes stiprināšanā, aktīvi iesaistoties starptautiskajos klīniskajos pētniecības tīklos, lai uzlabotu diagnostikas un ārstēšanas protokolus;
8.3.
sinerģijā ar projekta īstenotāja izveidoto Veselības aprūpes attīstības centru attīstot personalizētas ārstēšanas programmas un klīniskos ārstēšanas ceļus bērnu onkoloģijas un reto slimību jomā, īstenojot daudznozaru sadarbību starp ekspertiem un palielinot patoloģijas un molekulāro laboratoriju pakalpojumu spējas;
8.4.
ilgtermiņa pēcārstēšanas uzraudzības sistēmas nodrošināšanā, izveidojot galveno uzraudzības komandu un pakalpojumus, tostarp atbilstoši labākajai starptautiskai praksei izstrādājot pielāgotu digitalizētu sistēmu.
9.
Programmas ietvaros līdz 2029. gada 30. novembrim ir sasniedzami šādi rezultāti:
9.1.
uzlabota bērnu onkoloģisko slimību un reto slimību ārstēšanas kvalitāte, pieejamība un sasniedzamība, veicinot patoloģijas un molekulāro diagnostikas laboratoriju attīstību, kā arī piedaloties starptautiskos bērnu onkoloģisko slimību ārstēšanas protokolos, klīniskajos pētījumos un starptautiskajos pētniecības tīklos;
9.2.
paaugstināta veselības aprūpes profesionāļu un citu klīniskajā praksē, diagnostikā un pētniecībā iesaistīto speciālistu institucionālā un profesionālā kapacitāte;
9.3.
uzlaboti ilgtermiņa veselības un izglītības rezultāti vēža pacientiem, izmantojot personalizētus un visaptverošus turpmākās aprūpes plānus;
9.4.
uzlaboti pacientu iesaistes, pacientu pieredzes un ārstēšanas rezultāti.
10.
Projekta ietvaros līdz 2029. gada 31. martam ir sasniedzami šādi rezultāti:
10.1.
līdz 85 % pieaudzis piecu gadu dzīvildzes rādītājs bērnu onkoloģijas pacientiem, kas saņēmuši ārstēšanu saskaņā ar noteikto projektā iekļauto terapijas protokolu;
10.2.
izveidots multidisciplinārs audzēja panelis (tumor board) četrām specifiskām onkoloģiskās diagnozes grupām, nodrošinot, ka vismaz 70 % bērnu onkoloģisko slimību gadījumu tiek apspriesti šajā panelī;
10.3.
izveidota klīnisko pētījumu vienība (Clinical Trial Unit) un trīs terapijas protokolu komandas (Teraphy Protocol Team), kas iesaistītas starptautiskos prospektīvos pētījumos noteiktām bērnu onkoloģijas diagnozēm, sasniedzot 50 % pacientu iesaistes līmeni;
10.4.
uzlabota patoloģijas un molekulārās diagnostikas laboratorijas kapacitāte, ieviešot jaunas metodes un veicot speciālistu apmācību, nodrošinot ātrāku un kvalitatīvāku diagnostiku, tai skaitā ieviešot digitālas patoloģijas tehnoloģijas, izveidojot pediatrisko biobanku un molekulārās diagnostikas genomikas datubāzi;
10.5.
ieviesta jauna diagnostikas metode, kas balstīta garo ķēžu sekvencēšanā (long-read sequencer), uzlabojot iespējas diagnosticēt retās slimības gan bērnu onkoloģijā, gan citās reto slimību grupās;
10.6.
izstrādāta un ieviesta pacienta ziņoto ārstēšanas rezultātu uzraudzības un novērtēšanas sistēma dzīves kvalitātes un labbūtības indikatoru mērīšanai bērnu onkoloģijas pacientiem, kas saņēmuši ārstēšanu un pēcārstēšanas novērošanu;
10.7.
izstrādāta un ieviesta ārstēšanas un pēcārstēšanas rezultātu novērtēšanas sistēma, kas balstīta uz klīniskiem un citiem datiem, sniedzot iespējas novērtēt un pilnveidot izstrādātās ārstēšanas un pēcārstēšanas novērošanas sistēmas darbību;
10.8.
īstenotas dažādu veidu un ilguma apmācību programmas 22 ārstniecības speciālistiem, kas iesaistīti bērnu onkoloģijas diagnostikā, ārstēšanā, īstermiņa un ilgtermiņa pēcārstēšanas uzraudzībā, kā arī pētniecībā;
10.9.
izveidota un uzsākta ilgtermiņa pēcārstēšanas uzraudzības programma, kurā projekta īstenošanas laikā ir iesaistījušies 288 pacienti.
III.Atbalstāmās darbības un attiecināmās izmaksas
11.
Programmas ietvaros ir atbalstāmas šādas darbības:
11.1.
programmas vadības un kontroles sistēmas izstrāde, īstenošana un uzraudzība;
11.2.
programmas risku vadības sistēmas izstrāde, īstenošana un uzraudzība;
11.3.
programmas komunikācijas plāna izstrāde, īstenošana un uzraudzība;
11.4.
programmas vadības komitejas sanāksmju nodrošināšana, regulāro sanāksmju organizēšana ar projekta īstenotāju;
11.5.
politikas dialoga tikšanās, pieredzes apmaiņas braucienu, programmas atklāšanas un noslēguma pasākumu, programmas tematiskās konferences organizēšana;
11.6.
finanšu, iepirkumu uzraudzības un audita pakalpojumu nodrošināšana;
11.7.
programmas komunikācijas un rezultātu izplatīšanas aktivitāšu nodrošināšana.
12.
Projekta ietvaros ir atbalstāmas šādas darbības:
12.1.
starptautiska sadarbība un zināšanu apmaiņa – iesaistīšanās starptautiskos pediatriskās onkoloģijas diagnostikas un ārstēšanas protokolos, klīnisko pētījumu vienību un starptautiskās pētniecības tīklos;
12.2.
dažādu veidu apmācības, uzlabojot institucionālās un profesionālās spējas un kompetences, attiecīgo ārstniecības personu un citu klīniskajā praksē iesaistīto profesionāļu kapacitāti;
12.3.
uz pacientu centrētas pieejas ieviešana un veselības aprūpes nepārtrauktības veicināšana, veidojot personalizētas un visaptverošas pēcārstēšanas aprūpes plānus un ieviešot pakalpojumu sistēmu;
12.4.
darbības, kas saistītas ar pacientu iesaisti, lai uzlabotu pacientu apmierinātību ar nodrošinātajiem pakalpojumiem veselības aprūpes iestādē, kā arī ar sniegto pakalpojumu rezultātiem;
12.5.
pieredzes apmaiņa un praksē balstītas mācību aktivitātes, lai veicinātu noteiktu prasmju apguvi ārstniecības personām, kas iesaistītas pediatrisko onkoloģijas pacientu aprūpē. Teorētiskas apmācības un nodarbības var tikt nodrošinātas kā papildinošas aktivitātes;
12.6.
iekārtu un cita veida aprīkojuma (tai skaitā palīgmateriālu, reaģentu, specializētu darba vietu aprīkojuma) iegāde diagnostikas laboratorijas attīstībai patoloģijas un molekulārās diagnostikas jomā saskaņā ar projekta līgumu;
12.7.
projekta vadības un kontroles nodrošināšana atbilstoši projekta līgumam.
13.
Programmas ietvaros attiecināmas ir izmaksas, kas ir pamatotas un radušās saistībā ar Programmas ieviešanu, administrēšanu, vadību un uzraudzību un kas nepārsniedz 10 % no programmas kopējā finansējuma:
13.1.
programmas vadības un funkciju nodrošināšanas (komunikācijas, finansista, jurista, iepirkumu speciālista u. c.) un tulkošanas pakalpojumu izmaksas;
13.2.
audita, pārbaužu, izvērtējumu nodrošināšanas izmaksas;
13.3.
publicitātes pasākumu un komunikācijas un reprezentācijas materiālu un rezultātu izplatīšanas pakalpojumu izmaksas;
13.4.
ekspertu (t. sk. ārvalstu) izmaksas;
13.5.
semināru, pasākumu (t. sk. programmas vadības komitejas sanāksmju un politisko dialogu), pieredzes apmaiņas braucienu un komandējumu izmaksas;
13.6.
citas izmaksas, ja tās ir noteiktas programmas līgumā vai ir saskaņotas ar donorvalsti.
14.
Projekta ietvaros attiecināmas ir izmaksas, kas ir pamatotas un radušās saistībā ar bērnu onkoloģisko un reto slimību aprūpes attīstību Latvijā:
14.1.
projekta vadības un funkciju nodrošināšanas (projekta vadītāja, komunikācijas, finansista, jurista, iepirkumu speciālista, IT speciālista u. c.) un tulkošanas pakalpojumu izmaksas;
14.2.
ārstniecības personāla nodrošināšanas izmaksas;
14.3.
publicitātes pasākumu un komunikācijas un reprezentācijas materiālu un rezultātu izplatīšanas pakalpojumu izmaksas;
14.4.
pētniecības pakalpojumu nodrošināšanas izmaksas;
14.5.
iekārtu, materiālu un cita tehniskā aprīkojuma un ar tā iegādi saistītās izmaksas;
14.6.
ekspertu (t. sk. ārvalstu) izmaksas;
14.7.
Šveices partneru izdevumi projekta aktivitāšu īstenošanai;
14.8.
apmācību, semināru, pasākumu, komiteju, mācību un pieredzes apmaiņas braucienu izmaksas;
14.9.
citas izmaksas, ja tās ir noteiktas projekta līgumā.
15.
Ir atbalstāmas programmas un projekta īstenošanas personāla atlīdzības izmaksas, kas radušās programmas un projekta īstenošanas laikā uz darba līguma vai uzņēmuma (pakalpojuma) līguma pamata, tai skaitā normatīvajos aktos noteiktās valsts un pašvaldību institūciju amatpersonu un darbinieku atlīdzības izmaksas, kā arī nodokļu politikas jomā noteiktās piemaksas un nodokļi.
16.
Programmas un projekta īstenošanas izmaksas nepārsniedz šo noteikumu 6. punktā norādītā programmas un valsts finansējuma kopējo summu.
17.
Programmas izmaksas ir attiecināmas, ja tās atbilst šajos noteikumos minētajām izmaksu pozīcijām, ir radušās no 2024. gada 1. septembra līdz 2029. gada 3. decembrim, ir pamatotas ar izdevumus pamatojošiem dokumentiem un atbilst šādiem nosacījumiem:
17.1.
tās ir samērīgas un nepieciešamas programmas īstenošanai un mērķa sasniegšanai, kā arī tās ir iekļautas apstiprinātajā programmas budžetā;
17.2.
tās ir veiktas, ievērojot izmaksu lietderības, ekonomiskuma un efektivitātes principus;
17.3.
nepieciešamo preču un pakalpojumu iegāde ir īstenota saskaņā ar normatīvajiem aktiem publisko iepirkumu jomā, īstenojot atklātu, pārredzamu, nediskriminējošu un konkurenci nodrošinošu procedūru;
17.4.
ir nodrošināta atsevišķa datorizēta grāmatvedības uzskaite par finansējuma izlietojumu programmā, nodalot programmas ietvaros veiktās izmaksas no pārējām izmaksām;
17.5.
tās ir norādītas programmas maksājumu pieprasījumā.
18.
Projektu īsteno saskaņā ar projekta līgumu, bet ne ilgāk kā līdz 2029. gada 31. martam. Programmas apsaimniekotājs var ierosināt programmas vadības komitejā lemt par projekta izmaksu attiecināmības termiņa pagarinājumu, nepārsniedzot šo noteikumu 17. punktā noteikto izmaksu attiecināmības termiņu (piemēram, pastāv objektīvi apstākļi, kuru dēļ nav iespējams realizēt kādu no projekta aktivitātēm).
19.
Projekta izmaksas ir attiecināmas, ja tās atbilst šajos noteikumos minētajām izmaksu pozīcijām, ir radušās no 2024. gada 1. oktobra līdz 2029. gada 31. martam, ir pamatotas ar izdevumus pamatojošiem dokumentiem un atbilst šādiem nosacījumiem:
19.1.
tās ir samērīgas un nepieciešamas projekta īstenošanai un mērķa sasniegšanai, kā arī tās ir iekļautas apstiprinātajā projekta budžetā;
19.2.
tās ir veiktas, ievērojot izmaksu lietderības, ekonomiskuma un efektivitātes principus;
19.3.
nepieciešamo preču un pakalpojumu iegāde ir īstenota saskaņā ar normatīvajiem aktiem publisko iepirkumu jomā, īstenojot atklātu, pārredzamu, nediskriminējošu un konkurenci nodrošinošu procedūru;
19.4.
ir nodrošināta atsevišķa datorizēta grāmatvedības uzskaite par finansējuma izlietojumu projektā, nodalot projekta ietvaros veiktās izmaksas no pārējām izmaksām, kā arī iekšējā grāmatvedības uzskaitē atsevišķi norādītas izmaksas un ieņēmumi, kas saistīti ar pakalpojumu ar vispārēju tautsaimniecisku nozīmi, un izmaksas un ieņēmumi par citiem pakalpojumiem, kā arī izmaksu un ieņēmumu iedalīšanas parametri;
19.5.
tās ir norādītas projekta pārskatā un ir pamatotas ar izdevumus pamatojošiem dokumentiem.
20.
Programmā un projektā nav attiecināmas šādas izmaksas:
20.1.
parāda procenti, maksa par aizdevuma apkalpošanu un nokavējuma nauda;
20.2.
maksa par finanšu darījumiem un citas tīri finansiālas izmaksas, izņemot izmaksas, kas saistītas ar kontiem, kurus pieprasa Finanšu ministrija vai maksājumu iestāde vai kuri noteikti programmas līgumā, vai projekta līgumā noteikto finanšu pakalpojumu izmaksas;
20.3.
uzkrājumi zaudējumu segšanai vai iespējamo paredzamo saistību izpildei;
20.4.
zaudējumi, kas radušies valūtas kursa svārstību dēļ, izņemot tos, kas radušies Šveices partneru iesaistes dēļ;
20.5.
izdevumi par zemes iegādi;
20.6.
pievienotās vērtības nodoklis, ja tas ir atgūstams saskaņā ar normatīvajiem aktiem nodokļu politikas jomā;
20.7.
izmaksas, ko sedz no citiem avotiem;
20.8.
naudas sodi, citi sodi saistībā ar atlīdzību vai citu kompensāciju, tostarp zaudētu peļņu, un tiesāšanās izdevumi, izņemot gadījumus, kad tiesvedība ir neatņemams un nepieciešams komponents atbalsta pasākuma rezultātu sasniegšanai;
20.9.
pārmērīgi vai nepamatoti izdevumi.
IV.Projekta īstenošanas nosacījumi
21.
Projekta līgumā iekļauj vismaz šādus nosacījumus:
21.1.
programmas un projekta īstenošanas uzraudzības kārtība un atbildības sadalījums;
21.2.
kārtība, kādā tiek iesniegti maksājuma pieprasījumi un veikti maksājumi;
21.3.
iepirkumu plāna iesniegšanas kārtība;
21.4.
dokumentu kopums, kas apliecina projekta rezultātu sasniegšanu;
21.5.
pārskatu iesniegšanas termiņi, lai uzraudzītu projekta ieviešanas progresu un nodrošinātu datu pieejamību un to apstrādi atbilstoši normatīvajiem aktiem par programmas īstenošanas un uzraudzības kārtību;
21.6.
interešu konflikta, korupcijas un krāpšanas, kā arī dubultā finansējuma novēršanas nosacījumi. Ja minētie nosacījumi netiek ievēroti, pret projekta īstenotāju piemēro attiecīgas korektīvās darbības;
21.7.
citi ar programmas un projekta mērķu sasniegšanu saistīti nosacījumi;
21.8.
kārtība, kādos gadījumos tiek veikti grozījumi projekta līgumā.
22.
Projekta mērķa sasniegšanu apliecina:
22.1.
regulāro pārskatu iesniegšana programmas apsaimniekotājam ne retāk kā vienu reizi gadā (saskaņā ar projekta līgumā noteiktajiem termiņiem) par projekta ietvaros veiktajām aktivitātēm un sasniegtajiem rezultātiem;
22.2.
projektā sasniegto rezultātu tabulas "Logframe" aktualizēšana vienu reizi kalendāra gadā un tās iesniegšana programmas apsaimniekotājam kopā ar regulāro pārskatu.
23.
Programmas apsaimniekotājs apstiprina šo noteikumu 9. un 10. punktā minēto programmas un projekta rezultātu sasniegšanu un izmaksu pamatotību, ņemot vērā programmas apsaimniekotāja piesaistītā neatkarīgā revidenta vai iekšējā auditora ziņojumu par saskaņoto procedūru veikšanu, par projekta darbību un noteikto rezultātu sasniegšanu, par interešu konflikta, korupcijas un krāpšanas novēršanas nosacījumu ievērošanu un dubultā finansējuma riska neesību.
24.
Projekta īstenotājs:
24.1.
nodrošina dubultā finansējuma neiestāšanos un to, ka projektā plānotie darbi netiek finansēti vai līdzfinansēti, kā arī tos nav plānots finansēt vai līdzfinansēt no citiem valsts un ārvalstu finanšu atbalsta instrumentiem;
24.2.
nodrošina projektā plānoto darbu demarkāciju ar citu valsts un ārvalstu finanšu atbalsta instrumentu investīcijām dubultā finansējuma riska mazināšanai;
24.3.
informē programmas apsaimniekotāju par aktuālajām izmaiņām projekta budžetā, ja nepieciešams, ierosinot veikt grozījumus projekta līgumā;
24.4.
sedz projekta sadārdzinājumu no saviem līdzekļiem, ja projekta izmaksas pieaug, nodrošinot piemērojamo komercdarbības atbalsta regulējuma normu ievērošanu, ja nepieciešams;
24.5.
nodrošina projekta izmaksu, tai skaitā pievienotās vērtības nodokļa izmaksu, uzskaiti un nodalīšanu.
25.
Programmas apsaimniekotājam ir tiesības vienpusēji atkāpties no noslēgtā projekta līguma jebkurā no šādiem gadījumiem:
25.1.
projekta īstenotājs nepilda līgumu par projekta īstenošanu, tai skaitā netiek ievēroti projektā noteiktie termiņi vai ir iestājušies citi apstākļi, kas negatīvi ietekmē vai var ietekmēt programmas vai projekta rezultātu sasniegšanu;
25.2.
projekta īstenotājs ir apzināti sniedzis nepatiesu informāciju;
25.3.
citos gadījumos, kas paredzēti projekta līgumā.
V.Komercdarbības atbalsta kontroles nosacījumi
26.
Programmas apsaimniekotājs komercdarbības atbalstu projekta īstenotājam piešķir atbilstoši šīs nodaļas nosacījumiem.
27.
Projekta īstenotājs atbilstoši normatīvajiem aktiem par veselības aprūpes organizēšanu un samaksu ir noslēdzis ar Nacionālo veselības dienestu (turpmāk – pilnvarojuma uzlicējs) deleģēšanas līgumu par vispārējas tautsaimnieciskas nozīmes pakalpojuma (turpmāk – sabiedriskie pakalpojumi) sniegšanu. Līgumā norāda:
27.1.
konkrētus sniedzamos sabiedriskos pakalpojumus;
27.2.
prasības sabiedrisko pakalpojumu sniedzējam par nepieciešamo sabiedrisko pakalpojumu sniegšanas infrastruktūru;
27.3.
līguma darbības laiku, kas nepārsniedz 10 gadus;
27.4.
sabiedrisko pakalpojumu sniegšanas teritoriju;
27.5.
pakalpojuma sniedzējam piešķirto ekskluzīvo vai īpašo tiesību būtību, ja tas sniedz pakalpojumu ar vispārēju tautsaimniecisku nozīmi;
27.6.
informāciju par iespēju saņemt atlīdzības (kompensācijas) maksājumus un nosacījumus atlīdzības (kompensācijas) maksājumu aprēķināšanai, kontrolei un pārskatīšanai, kā arī atlīdzības (kompensācijas) maksājumu pārmaksas novēršanai un atmaksāšanai;
27.7.
atsauci uz Komisijas 2011. gada 20. decembra lēmumu Nr. 2012/21/ES par Līguma par Eiropas Savienības darbību 106. panta 2. punkta piemērošanu valsts atbalstam attiecībā uz kompensāciju par sabiedriskajiem pakalpojumiem dažiem uzņēmumiem, kuriem uzticēts sniegt pakalpojumus ar vispārēju tautsaimniecisku nozīmi.
28.
Projekta īstenotājs projektam pievieno vispārējas tautsaimnieciskas nozīmes pakalpojuma sniegšanas pilnvarojuma uzlicēja apliecinājumu, ka tas kontrolēs un pārskatīs šo noteikumu 27.6. apakšpunktā minētos deleģēšanas līgumā paredzētos atlīdzības (kompensācijas) maksājumus, kā arī novērsīs un atgūs deleģēšanas līgumā paredzēto atlīdzības (kompensācijas) maksājumu pārmaksu, regulāri, bet ne retāk kā reizi trijos gados un pilnvarojuma akta darbības perioda beigās veicot līgumā noteiktās pārbaudes.
29.
Ja tiek pārkāptas šajos noteikumos minētās komercdarbības atbalsta piešķiršanas prasības vispārējas tautsaimnieciskas nozīmes pakalpojuma sniegšanai, projekta īstenotājam ir pienākums atmaksāt programmas apsaimniekotājam visu projekta ietvaros saņemto nelikumīgo komercdarbības atbalstu kopā ar procentiem no līdzekļiem, kas ir brīvi no komercdarbības atbalsta, saskaņā ar Komercdarbības atbalsta kontroles likuma IV vai V nodaļu.
30.
Pilnvarojuma uzlicējam un projekta īstenotājam ir pienākums dokumentāciju par saņemto komercdarbības atbalstu glabāt 10 gadus no pilnvarojuma termiņa beigām, savukārt programmas apsaimniekotājam ir pienākums dokumentāciju, kas saistīta ar komercdarbības atbalsta piešķiršanu, glabāt 10 gadus no atbalsta piešķiršanas dienas.
31.
Par komercdarbības atbalsta piešķiršanas dienu ir uzskatāma programmas apsaimniekotāja un projekta īstenotāja šo noteikumu 21. punktā minētā projekta līguma noslēgšanas diena.
32.
Komercdarbības atbalstu drīkst kumulēt ar citu komercdarbības atbalstu, ko piešķir par pakalpojuma ar vispārēju tautsaimniecisku nozīmi sniegšanu, citas atbalsta programmas vai individuālā atbalsta projekta ietvaros par vienām un tām pašām attiecināmajām izmaksām, ja pēc atbalstu apvienošanas atbalsta vienībai vai izmaksu pozīcijai attiecīgā maksimālā atbalsta intensitāte nepārsniedz 100 %.
33.
Projekta ietvaros šo noteikumu 12.6. apakšpunktā minēto atbalstāmo darbību un šo noteikumu 14.5. apakšpunktā minēto attiecināmo izmaksu pozīcijām projekta īstenotājs aprēķina infrastruktūras izmantošanas proporciju un piemēro to šo noteikumu 6.2. apakšpunktā minētajam projekta kopējam attiecināmajam finansējumam, kas attiecas uz vispārējas tautsaimnieciskas nozīmes pakalpojumu mērķi, nosakot publiskā finansējuma (Šveices finansiālā atbalsta un valsts budžeta līdzfinansējuma) apmēru:
33.1.
kopējo publisko izmaksu maksimālo apmēru nosaka, izmantojot šādu formulu:

x – gadu skaits, kuriem tika aprēķināts projekta publisko izmaksu maksimālais apmērs;
Ipubl – attiecīgā gada publisko izmaksu maksimālais apmērs (euro);

x – gadu skaits, kuriem tika aprēķināts projekta publisko izmaksu maksimālais apmērs;
Ipubl – attiecīgā gada publisko izmaksu maksimālais apmērs (euro);
33.2.
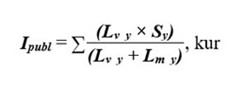
attiecīgā gada publisko izmaksu maksimālo apmēru nosaka, izmantojot šādu formulu:

y – attiecīgā projekta ietvaros veicamo atbalstāmo darbību skaits;
S – attiecīgās atbalstāmās darbības kopējās izmaksas (euro);
Lv – uz attiecīgo atbalstāmo darbību attiecināmās infrastruktūras izmantošanas laiks valsts apmaksāto veselības aprūpes pakalpojumu sniegšanai (stundas gadā);
Lm – uz attiecīgo atbalstāmo darbību attiecināmās infrastruktūras izmantošanas laiks citu darbību veikšanai (stundas gadā);

y – attiecīgā projekta ietvaros veicamo atbalstāmo darbību skaits;
S – attiecīgās atbalstāmās darbības kopējās izmaksas (euro);
Lv – uz attiecīgo atbalstāmo darbību attiecināmās infrastruktūras izmantošanas laiks valsts apmaksāto veselības aprūpes pakalpojumu sniegšanai (stundas gadā);
Lm – uz attiecīgo atbalstāmo darbību attiecināmās infrastruktūras izmantošanas laiks citu darbību veikšanai (stundas gadā);
33.3.
uz attiecīgo atbalstāmo darbību attiecināmajai infrastruktūrai, kurai nav iespējams noteikt infrastruktūras izmantošanas laika sadalījumu valsts apmaksāto veselības aprūpes pakalpojumu sniegšanai un citu darbību veikšanai, laika sadalījumu nosaka atbilstoši vidējai ārstniecības iestādes infrastruktūras izmantošanas proporcijai, kas aprēķināta infrastruktūrai, kurai ir iespējams noteikt infrastruktūras izmantošanas laika sadalījumu valsts apmaksāto veselības aprūpes pakalpojumu sniegšanai un citu darbību veikšanai, sadalot kopējo publisko izmaksu maksimālo apmēru ar šīs infrastruktūras kopējām izmaksām.
34.
Projekta īstenotājs infrastruktūras izmantošanas proporciju aprēķina, izmantojot iepriekšējā gada datus vai divu iepriekšējo gadu vidējos datus par infrastruktūras izmantošanu. Ja iepriekšējo gadu dati par infrastruktūras izmantošanu nav pieejami vai tie atšķiras no attīstāmās infrastruktūras izmantošanas prognozes, finansējuma saņēmējs izmanto plānotos infrastruktūras izmantošanas datus līdz brīdim, kad ir pieejami dati par attīstītās infrastruktūras izmantošanu.
35.
Projekta īstenotājs infrastruktūras izmantošanas proporcijas aprēķinu iesniedz programmas apsaimniekotājam:
35.1.
pēc projekta līguma noslēgšanas;
35.2.
kopā ar noslēguma maksājuma pieprasījumu.
36.
Ja pēc projekta līguma noslēgšanas palielinās projekta publisko izmaksu maksimālais apmērs, kas aprēķināts saskaņā ar šo noteikumu 33.1. apakšpunktu, programmas apsaimniekotājs kopējās publiskās projekta attiecināmās izmaksas nepalielina.
37.
Projekta īstenotājs, iesniedzot noslēguma maksājuma pieprasījumu, nodrošina, ka saskaņā ar šo noteikumu 33.1. apakšpunktu aprēķinātais projekta kopējais publisko izmaksu maksimālais apmērs atbilst piešķirtajam projekta kopējam publisko izmaksu maksimālajam apmēram, attiecīgi palielinot projekta īstenotāja privātā finansējuma apjomu.
VI.Programmas apsaimniekotāja pienākumi
38.
Programmas apsaimniekotājs pēc projekta īstenotāja pieprasījuma saņemšanas nodrošina priekšfinansējuma un līdzfinansējuma pieprasīšanu kārtējam gadam atbilstoši gadskārtējā valsts budžeta likumā noteikto apropriācijas izmaiņu veikšanu reglamentējošajiem normatīvajiem aktiem.
39.
Programmas apsaimniekotājs vismaz vienu reizi gadā organizē programmas Vadības komitejas klātienes sanāksmi saskaņā ar programmas apsaimniekotāja izstrādātu reglamentu, kurā programmas apsaimniekotājs un projekta īstenotājs informē par projekta virzību, aktualitātēm un sasniegtajiem rezultātiem.
Ministru prezidente E. Siliņa
Veselības ministrs H. Abu Meri
