Ministru kabineta noteikumi Nr. 82
Rīgā 2025. gada 4. februārī (prot. Nr. 5 25. §)
24-TA-1421
Eiropas Savienības kohēzijas politikas programmas 2021.–2027. gadam 1.1.1. specifiskā atbalsta mērķa "Pētniecības un inovāciju kapacitātes stiprināšana un progresīvu tehnoloģiju ieviešana kopējā P&A sistēmā" 1.1.1.7. pasākuma "Inovāciju granti studentiem" īstenošanas noteikumi
Izdoti saskaņā ar Eiropas Savienības fondu 2021.–2027. gada plānošanas perioda vadības likuma 19. panta 6. un 13. punktu
I.Vispārīgie jautājumi
1.
Noteikumi nosaka:
1.1.
kārtību, kādā īsteno Eiropas Savienības kohēzijas politikas programmas 2021.–2027. gadam 1.1.1. specifiskā atbalsta mērķa "Pētniecības un inovāciju kapacitātes stiprināšana un progresīvu tehnoloģiju ieviešana kopējā P&A sistēmā" 1.1.1.7. pasākumu "Inovāciju granti studentiem" (turpmāk – pasākums);
1.2.
pasākuma mērķi;
1.3.
pasākumam plānoto un pieejamo finansējumu;
1.4.
prasības Eiropas Reģionālās attīstības fonda projekta (turpmāk – projekts) iesniedzējam, finansējuma saņēmējam un projekta sadarbības partneriem;
1.5.
atbalstāmo darbību un izmaksu attiecināmības nosacījumus;
1.6.
ar komercdarbības atbalsta saņemšanu saistītos nosacījumus;
1.7.
vienkāršoto izmaksu piemērošanas nosacījumus un kārtību.
2.
Noteikumos lietoti šādi termini:
2.1.
ar saimniecisko darbību nesaistīts projekts – projekts, kas atbilst šādiem kritērijiem:
2.1.1.
projektu īsteno Latvijas Republikas zinātnisko institūciju reģistrā reģistrēta zinātniskā institūcija, kas atbilst šo noteikumu 2.3. apakšpunktā minētajai pētniecības organizācijas definīcijai;
2.1.2.
projektā īsteno darbības, kurām nav saimnieciska rakstura;
2.2.
darbība, kurai nav saimnieciska rakstura, – pētniecības organizācijas pamatdarbība, kura neietilpst Līguma par Eiropas Savienības darbību 107. panta 1. punktā noteiktajā darbības jomā un kuras izpausmes veidi ir šādi:
2.2.1.
publiska izglītība, kuras mērķis ir vairot un uzlabot cilvēkresursu prasmes un kas tiek nodrošināta valsts izglītības sistēmas ietvaros un galvenokārt vai pilnībā ir valsts finansēta un uzraudzīta;
2.2.2.
neatkarīga pētniecība un izstrāde, lai gūtu vairāk zināšanu un labāku izpratni, tostarp kopīga pētniecība un izstrāde, pētniecības organizācijai iesaistoties efektīvā sadarbībā;
2.2.3.
pētniecības rezultātu izplatīšana bez ekskluzivitātes un diskriminēšanas, tai skaitā izmantojot mācīšanu, brīvas piekļuves datubāzes, atklātas publikācijas vai atklātā pirmkoda programmatūru;
2.2.4.
zinātības un tehnoloģiju pārneses darbības, ja:
2.2.4.1.
zinātības un tehnoloģiju pārneses darbības veic pētniecības organizācija, pētniecības organizācijas nodaļa vai pētniecības organizācijas meitas uzņēmums (tāda komercsabiedrība, kurā mātes uzņēmuma līdzdalības daļa pārsniedz 50 procentu vai kurā mātes uzņēmumam ir balsu vairākums un kura atbilst šo noteikumu 2.3. apakšpunktā minētajai pētniecības organizācijas definīcijai), pētniecības organizācija kopīgi ar citām pētniecības organizācijām vai pētniecības organizācija kopīgi ar trešajām pusēm, atklātā konkursā slēdzot līgumus par noteiktiem pakalpojumiem;
2.2.4.2.
visa peļņa no šādas darbības tiek atkal ieguldīta pētniecības organizācijas pamatdarbībā;
2.3.
pētniecības organizācija – pētniecības un zināšanu izplatīšanas organizācija, kas atbilst Komisijas 2014. gada 17. jūnija Regulas (ES) Nr. 651/2014, ar ko noteiktas atbalsta kategorijas atzīst par saderīgām ar iekšējo tirgu, piemērojot Līguma 107. un 108. pantu, 2. panta 83. punktā sniegtajai definīcijai;
2.4.
augstākās izglītības institūcija – valsts vai privātpersonas dibināta un noteiktā kārtībā Latvijas Republikā reģistrēta un akreditēta augstskola vai koledža;
2.5.
ideju banka – sabiedrībai un komersantiem aktuāli izaicinājumi, ražošanas vai attīstības problēmjautājumi, ko projekta iesniedzējs sadarbībā ar stratēģiskajiem un sadarbības partneriem apkopo, sistematizē un pastāvīgi aktualizē, lai tie būtu publiski pieejami, un kuriem risinājumus var izstrādāt studentu inovāciju programmas dalībnieki programmas ietvaros;
2.6.
inovāciju fonds – finanšu resursu kopums studentu inovāciju programmas īstenošanai, kas atbilstoši šo noteikumu 56. punktam ir no citām finansējuma saņēmēja darbībām nodalīta finanšu plūsma ar atsevišķu grāmatvedības uzskaiti. Inovāciju fonds var būt jau esošs vai projekta vajadzībām izveidots nodibinājums, kam var būt piešķirts sabiedriskā labuma organizācijas statuss un kas nodrošina skaidru ar studentu inovāciju programmas īstenošanu saistītās finanšu plūsmas nodalīšanu no citām nodibinājuma darbībām;
2.7.
projekta īstenošanas personāls – studentu darbu vadītāji, studentu inovāciju pieteikumu vērtēšanas eksperti, lektori, tehnoloģiju eksperti, laboranti iekārtu apkalpošanai studentu inovācijas projektu ieviešanas laikā un citas personas, kas iesaistās studentu inovāciju programmas īstenošanā;
2.8.
sadarbības partneris – šo noteikumu 22. punktā minētā organizācija, kas iesaistās projekta īstenošanā, deleģējot savas organizācijas speciālistus kā mentorus, studentu darba vadītājus, ekspertus studentu inovāciju pieteikumu atlasei un rezultātu novērtēšanai, lektorus studentu inovāciju programmas ietvaros īstenotajos izglītojošajos pasākumos vai nodrošinot piekļuvi organizācijas infrastruktūrai, lai studējošie varētu īstenot studentu inovāciju pieteikumus;
2.9.
stratēģiskais partneris – organizācija, kas piedalās studentu inovāciju programmas izstrādē, tai skaitā zinātniskās institūcijas, studentu organizācijas, augstākās izglītības institūcijas, darbības profilam atbilstošas vadošās nozaru asociācijas, biznesa akceleratori, biznesa inkubatori, biedrības, nodibinājumi vai citas organizācijas, kam ir kompetences biznesa un inovāciju attīstībā;
2.10.
studentu inovāciju pieteikums – risinājums, ko studentu inovāciju programmas ietvaros studējošais vai studējošo komanda piedāvā un izstrādā problēmjautājumam no ideju bankas, vai studējošā vai studējošo komandas pašu definēta problēmjautājuma risinājums sociālekonomiskās situācijas uzlabošanai;
2.11.
studentu inovāciju programma – projekta iesniedzēja sadarbībā ar stratēģiskajiem partneriem izstrādāta programma, kas ietver kompleksu pasākumu kopumu un to īstenošanas kārtību un nosacījumus studējošo inovācijas spēju un uzņēmīguma attīstībai, tostarp paredzot, ka:
2.11.1.
studentu inovāciju pieteikumu atlasi nodrošina ekspertu komisija, kuras sastāvā ir iekļauti eksperti ar atbilstošu zinātnisko un biznesa attīstības kompetenci un pieredzi, tostarp jaunuzņēmumu dibinātāji un citi uzņēmēji, nozaru vai tehnoloģiju eksperti;
2.11.2.
studentu inovāciju pieteikumu īstenošanā var iesaistīt arī citās Latvijas un ārvalstu augstākās izglītības institūcijās studējošos, kā arī vispārējās izglītības un profesionālās izglītības iestāžu izglītojamos, kuru ieguldījums studentu inovāciju pieteikuma īstenošanā ir identificējams;
2.11.3.
programmas īstenošanai ir pietiekams studentu darbu vadītāju un mentoru skaits, kā arī laboratoriju tīkls studentu inovāciju pieteikumu īstenošanai, tostarp ņemot vērā studentu inovāciju programmā indikatīvi plānoto iesaistāmo studentu vai studentu komandu skaitu;
2.12.
studentu darbu vadītājs – savas jomas profesionālis, kas palīdz attīstīt studējošā vai studējošo komandas inovatīvo ideju, sniedzot atbalstu zinātniskajā vai tehniskajā jomā, vai palīdz attīstīt biznesa ideju, apzināt riskus un potenciālās attīstības iespējas, sniegt praktiskus ieteikumus inovatīvas idejas attīstīšanai. Kā studentu darbu vadītājus var iesaistīt arī studentus, doktorantus, rezidentus un pēcdoktorantus ar atbilstošu kompetenci un pieredzi, tai skaitā arī mentorus.
3.
Pasākuma mērķis ir sekmēt studentu inovāciju pieteikumu īstenošanu, kas attīsta studējošo inovācijas spēju un uzņēmīgumu, tai skaitā uzņēmējspēju, risina nozarei, sabiedrībai vai tās daļai nozīmīgas problēmas un stiprina augstskolu un studējošo sadarbību ar komersantiem.
4.
Pasākuma ietvaros tiek finansētas augstskolu studentu inovāciju programmas, kas sniedz ieguldījumu Latvijas Viedās specializācijas stratēģijas (turpmāk – RIS3) mērķu sasniegšanā un specializācijas jomu attīstībā, tai skaitā sniedzot atbalstu starpdisciplināriem studējošo inovāciju pieteikumiem, kas atbilst vismaz vienai no definētajām Latvijas viedās specializācijas jomām, tostarp sniedzot ieguldījumu cilvēkkapitāla pieauguma nodrošināšanā.
5.
Pasākuma ietvaros finansē projektus, kuru darbībām nav saimnieciska rakstura (izņemot šo noteikumu V nodaļā minētos gadījumus).
6.
Pasākuma mērķa grupa ir:
6.1.
bakalaura, profesionālo studiju, maģistra, doktora vai rezidentūras studiju programmās studējošie, profesionālo un vispārējo izglītības iestāžu skolēni;
6.2.
augstskolas.
7.
Pasākuma ietvaros līdz 2029. gada 31. oktobrim sasniedzami šādi uzraudzības rādītāji:
7.1.
rezultāta rādītājs – publisko atbalstu papildinošās privātās investīcijas (tai skaitā granti, finanšu instrumenti) – 1 650 000 euro;
7.2.
nacionālie rādītāji:
7.2.1.
studējošo, tostarp doktora grāda pretendentu, skaits, kuriem pilnveidotas inovāciju un uzņēmējspēju kompetences, – vismaz 4 500;
7.2.2.
studējošo, tostarp doktora grāda pretendentu, skaits, kuri piedalījušies studentu inovāciju programmas pasākumos, – vismaz 6 500;
7.2.3.
komersantu skaits, kuri sadarbojas ar augstskolām, kas iesaistās studentu inovāciju grantu programmu īstenošanā, – vismaz 350;
7.2.4.
studējošo skaits, kas ieguvuši prakses vietas vai tikuši nodarbināti uzņēmumos, kuri īsteno pētniecības un attīstības aktivitātes, vai zinātniskajās institūcijās, – vismaz 10 procenti no studējošajiem, kuriem ir pilnveidotas inovāciju un uzņēmējspēju kompetences;
7.2.5.
vismaz 30 procenti no studentu inovāciju pieteikumiem ir saistīti ar mākslīgā intelekta tehnoloģijām, iekšējo un ārējo drošību vai izglītības tehnoloģijām;
7.2.6.
ne mazāk kā 40 procenti no studentu inovāciju pieteikumiem ir īstenoti starpdisciplinārās komandās, kurās piedalās vismaz divu Latvijas izglītības tematisko grupu pārstāvji;
7.2.7.
izstrādāto prototipu skaits – 1 500.
8.
Pasākuma ietvaros Kohēzijas politikas fondu vadības informācijas sistēmā finansējuma saņēmējam ir jāuzkrāj RIS3 rādītājs – Web of Science un SCOPUS publikācijas (skaits). Informācija jāuzkrāj katrā no RIS3 jomām.
10.
Pasākuma ietvaros atbildīgās iestādes funkcijas pilda Izglītības un zinātnes ministrija (turpmāk – atbildīgā iestāde).
11.
Pasākuma ietvaros plānotais kopējais finansējums ir 16 500 000 euro (no tā elastības finansējums – 2 602 468 euro), tai skaitā Eiropas Reģionālās attīstības fonda finansējums – 14 025 000 euro (no tā elastības finansējums – 2 212 098 euro), valsts budžeta līdzfinansējums 825 000 euro (no tā elastības finansējums – 390 370 euro) un privātais līdzfinansējums – 1 650 000 euro.
12.
Projektu iesniegumos pasākuma īstenošanai kopējo pasākumam pieejamo finansējumu plāno ne vairāk kā 13 897 532 euro apmērā, ko veido Eiropas Reģionālās attīstības fonda finansējums 11 812 902 euro apmērā, valsts budžeta līdzfinansējums 694 876 euro apmērā un privātais līdzfinansējums 1 389 754 euro apmērā.
13.
Atbildīgā iestāde pēc Eiropas Komisijas lēmuma par vidusposma pārskatu var ierosināt no 2026. gada 1. janvāra palielināt pasākumam pieejamo kopējo finansējumu līdz šo noteikumu 11. punktā minētajam plānotajam kopējam finansējuma apmēram.
14.
Maksimālais attiecināmais Eiropas Reģionālās attīstības fonda finansējuma apmērs nepārsniedz 85 procentus no projekta kopējā attiecināmā finansējuma. Privātais līdzfinansējums veido 10 procentus no projekta kopējā attiecināmā finansējuma. Valsts budžeta līdzfinansējums veido piecus procentus no projekta kopējā attiecināmā finansējuma. Ja šo noteikumu 18. punktā minētais projekta iesniedzējs ir privāto tiesību juridiska persona, projekta iesniedzējs privāto līdzfinansējumu plāno 15 procentu apmērā no projekta kopējā attiecināmā finansējuma, neparedzot valsts budžeta līdzfinansējumu.
15.
Pasākumu īsteno atklātas projektu iesniegumu atlases veidā.
16.
Pasākuma ietvaros Eiropas Reģionālās attīstības fonda finansējumu piešķir granta veidā.
17.
Projekta īstenošanas vieta ir Latvijas Republikas teritorija.
II.Prasības projekta iesniedzējam un projekta sadarbības partneriem
18.
Projekta iesniedzējs ir Latvijas augstskola, kas sagatavo projekta iesniegumu un projektu iesniegumu atlases nolikumā noteiktajā kārtībā iesniedz to sadarbības iestādē, izmantojot Kohēzijas politikas fondu vadības informācijas sistēmas elektronisko vidi. Ja sadarbības iestāde apstiprina projekta iesniegumu, projekta iesniedzējs ir finansējuma saņēmējs (turpmāk – finansējuma saņēmējs). Projekta iesniegumam pievieno šādus dokumentus:
18.1.
studentu inovāciju programmu;
18.2.
projekta iesnieguma un tā pielikumu tulkojumu angļu valodā atbilstoši projektu iesniegumu atlases nolikuma nosacījumiem;
18.3.
sadarbības partnera apliecinājumu par gatavību piedalīties projekta īstenošanā, tai skaitā iekļaujot informāciju par sadarbības partnera ieguldījumu projekta īstenošanā.
19.
Projekta iesniedzējs pasākuma ietvaros iesniedz vienu projekta iesniegumu, kurā studentu inovāciju programmas ietvaros īsteno darbības, kurām nav saimnieciska rakstura.
20.
Augstskolas, kurām ir apstiprināta ārējā konsolidācija ar citu augstākās izglītības institūciju vai kuras atrodas ārējās konsolidācijas procesā, iesniedz vienu projekta iesniegumu.
21.
Finansējuma saņēmējs projektu īsteno sadarbībā ar vienu vai vairākiem šo noteikumu 22. punktā minētajiem sadarbības partneriem, projekta iesniegumā pamatojot to izvēli un nepieciešamību un norādot to iesaisti atbalstāmo darbību īstenošanā.
22.
Projekta iesniedzējs par sadarbības partneri var iesaistīt:
22.1.
Latvijas vai ārvalsts augstākās izglītības institūciju;
22.2.
zinātnisko institūciju;
22.3.
profesionālās izglītības iestādi;
22.4.
vispārējās izglītības iestādi;
22.5.
komersantu;
22.6.
biedrību vai nodibinājumu;
22.7.
valsts vai pašvaldības institūciju.
23.
Finansējuma saņēmējs pēc projekta iesnieguma apstiprināšanas ar katru sadarbības partneri slēdz sadarbības līgumu atbilstoši normatīvajiem aktiem par kārtību, kādā Eiropas Savienības fondu vadībā iesaistītās institūcijas nodrošina šo fondu ieviešanu 2021.–2027. gada plānošanas periodā, papildus iekļaujot šādu informāciju:
23.1.
sadarbības partnera īstenojamās darbības un to apjoms;
23.2.
sadarbības partnera ieguldījums projekta īstenošanā, tostarp informācija par finanšu un cilvēkresursu ieguldījumu, kā arī piekļuves nodrošināšana sadarbības partnera infrastruktūrai;
23.3.
maksājumu veikšanas kārtība šo noteikumu 33.1. un 33.3. apakšpunktā minēto atbalstāmo darbību īstenošanai un attiecināmo izmaksu segšanai;
23.4.
pārskatu un citas informācijas iesniegšanas kārtība un termiņi.
24.
Sadarbības partneriem tiek segtas tikai faktiskās izmaksas, kas pakalpojumu un materiālu iegādes gadījumā nepārsniedz vidējo tirgus cenu, savukārt attiecībā uz atlīdzību projekta personālam izmaksas nepārsniedz vidējās darba samaksas apmēru saskaņā ar Centrālās statistikas pārvaldes datiem par līdzvērtīgu darbu attiecīgajā nozarē, tādējādi izslēdzot viņu ekonomisko priekšrocību.
25.
Sadarbības partneriem ar šo noteikumu 33.1. un 33.3. apakšpunktā minēto atbalstāmo darbību īstenošanu saistītās izmaksas ir attiecināmas pēc šo noteikumu 23. punktā minēto sadarbības līgumu noslēgšanas, bet ne agrāk kā no vienošanās vai līguma par projekta īstenošanu noslēgšanas dienas.
26.
Finansējuma saņēmējs ir atbildīgs par sadarbības partneru pienākumu izpildi projekta īstenošanā un sadarbības partneru īstenotajām funkcijām projektā, tai skaitā nodrošina dubultā finansējuma neiestāšanos un nepārklāšanos ar citiem valsts un ārvalstu finanšu instrumentiem.
27.
Finansējuma saņēmējs projekta ietvaros plānotajām atbalstāmajām darbībām nodrošina sinerģiju un papildinātību ar citām izglītības attīstību, inovāciju un uzņēmējdarbību veicinošām atbalsta programmām.
28.
Finansējuma saņēmējs nodrošina, ka studentu inovāciju programmas īstenošanas kārtība ir publiski pieejama un skaidri definēta, tostarp finansējuma saņēmējs:
28.1.
izstrādā studentu inovāciju pieteikumu atlases, īstenošanas, uzraudzības un finansēšanas kārtību, tai skaitā iekļaujot studējošajiem paredzēto mērķstipendiju izmaksas nosacījumus, vērtēšanas kritērijus un vērtēšanas metodiku;
28.2.
izveido studentu inovāciju pieteikumu vērtēšanas komisiju un komisijas sastāvā iekļauj Latvijas vai ārvalstu ekspertus ar atbilstošu zinātnisko un biznesa attīstības kompetenci un pieredzi, tostarp jaunuzņēmumu dibinātājus un citus uzņēmējus, nozaru vai tehnoloģiju ekspertus;
28.3.
pieņem lēmumu par finansējuma piešķiršanu šo noteikumu 37.2.1.1. un 37.2.1.2. apakšpunktā minētajām izmaksu pozīcijām saskaņā ar finansējuma saņēmēja izstrādātu kārtību, cita starpā paredzot informāciju par strīdu risināšanas kārtību.
29.
Ja finansējuma saņēmējs vienlaikus ir vai plāno būt sadarbības partneris citam finansējuma saņēmējam, tas ir jānorāda projekta iesniegumā, pamatojot resursu pietiekamību plānoto darbību īstenošanai visos saistītajos projektos.
30.
Finansējuma saņēmējs uzkrāj un pēc nepieciešamības sniedz atbildīgajai iestādei un sadarbības iestādei informāciju par studentu inovāciju programmā iesaistīto studējošo un citu iesaistīto pušu un veikto darbību skaitu un citiem raksturojošiem parametriem, kā arī par projekta īstenošanas laikā sasniegtajiem rezultātiem un šo noteikumu 7. punktā minēto uzraudzības rādītāju izpildi, tostarp ieguldījumu horizontālo prioritāšu īstenošanā:
30.1.
par komersantiem, kas pasākuma ietvaros piešķir finansējumu studentu inovāciju programmas īstenošanai, deleģē uzņēmuma speciālistus kā mentorus, darbu vadītājus vai kā ekspertus studentu inovāciju pieteikumu atlasei, īstenošanai un novērtēšanai vai arī nodrošina piekļuvi uzņēmuma infrastruktūrai, lai studējošie varētu īstenot studentu inovāciju pieteikumus;
30.2.
par studentu inovāciju pieteikumiem sadalījumā pa RIS3 jomām;
30.3.
par horizontālā principa "Vienlīdzība, iekļaušana, nediskriminācija un pamattiesību ievērošana" rādītāju "sieviešu skaits atbalsta saņēmēju vidū";
30.4.
informāciju par rezultātu ilgtspējas nodrošināšanu.
31.
Finansējuma saņēmējs savā tīmekļvietnē publicē informāciju par visiem sekmīgi īstenotajiem studentu inovāciju pieteikumiem, norādot pieteikumu nosaukumu un kopsavilkumu dalījumā par RIS3 jomām.
III.Atbalstāmās darbības un attiecināmās izmaksas
32.
Finansējuma saņēmējs projekta ietvaros nodrošina studentu inovāciju programmas pasākumu īstenošanu, tostarp izveido un pastāvīgi attīsta ideju banku.
33.
Pasākuma ietvaros ir atbalstāmas šādas darbības:
33.1.
studentu inovāciju programmas īstenošana:
33.1.1.
studentu inovāciju pieteikumu īstenošanas nodrošināšana;
33.1.2.
citu studentu inovāciju programmas pasākumu organizēšana;
33.2.
projekta vadība;
33.3.
komunikācijas un vizuālās identitātes pasākumi par projekta īstenošanu un studentu inovāciju programmas īstenošanu un tās rezultātiem.
34.
Viena projekta iesnieguma maksimālais publiskais attiecināmais finansējums ir:
34.1.
3 300 000 euro, ja projekta iesniedzēja un sadarbības partnera (ja attiecināms) institūcijā pilna laika studējošo skaits pārsniedz 5 000;
34.2.
800 000 euro, ja projekta iesniedzēja un sadarbības partnera (ja attiecināms) institūcijā pilna laika studējošo skaits ir no 1 501 līdz 5 000;
34.3.
500 000 euro, ja projekta iesniedzēja un sadarbības partnera (ja attiecināms) institūcijā pilna laika studējošo skaits ir no 1 000 līdz 1 500;
34.4.
250 000 euro, ja projekta iesniedzēja un sadarbības partnera (ja attiecināms) institūcijā pilna laika studējošo skaits ir no 500 līdz 1 000.
35.
Pasākuma ietvaros ir attiecināmas šādas izmaksas:
35.1.
tiešās attiecināmās izmaksas, kas ir tieši saistītas ar šo noteikumu 33. punktā minēto atbalstāmo darbību īstenošanu un ir nepieciešamas projekta rezultātu sasniegšanai, un šī saistība ir skaidri saprotama (nerada šaubas) un pierādāma;
35.2.
netiešās attiecināmās izmaksas, kas nav tieši saistītas ar šo noteikumu 33. punktā minētajām atbalstāmajām darbībām projekta rezultātu sasniegšanai, bet atbalsta un nodrošina atbilstošus apstākļus atbalstāmo darbību īstenošanai un rezultātu sasniegšanai.
36.
Finansējuma saņēmējam šo noteikumu 37. punktā minētās izmaksas ir attiecināmas, ja tās atbilst šajos noteikumos minētajām izmaksu pozīcijām un ir radušās no projekta iesnieguma iesniegšanas dienas.
37.
Šo noteikumu 35.1. apakšpunktā minētās projekta tiešās attiecināmās izmaksas ietver šādas izmaksu pozīcijas:
37.1.
tiešās attiecināmās personāla izmaksas:
37.1.1.
projekta vadības personāla izmaksas (izņemot virsstundas) šo noteikumu 33.2. un 33.3. apakšpunktā minēto atbalstāmo darbību īstenošanai;
37.1.2.
projekta īstenošanas personāla izmaksas (izņemot virsstundas) šo noteikumu 33.1. apakšpunktā minēto atbalstāmo darbību īstenošanai:
37.1.2.1.
ekspertu atlīdzības izmaksas par individuālo konsultāciju sniegšanu, kas tieši saistītas ar studentu inovāciju pieteikuma tematiku un vērstas uz studentu inovāciju pieteikuma mērķu un rezultātu sasniegšanu;
37.1.2.2.
cita projekta īstenošanas personāla izmaksas (izņemot virsstundas), kas iesaistās studentu inovāciju programmas īstenošanā, izņemot šo noteikumu 37.1.2.1. apakšpunktā minētās izmaksas;
37.1.3.
projekta īstenošanas personāla izmaksas (izņemot virsstundas) šo noteikumu 33.3. apakšpunktā minēto atbalstāmo darbību īstenošanai;
37.2.
ar studentu inovāciju programmu īstenošanu saistītās projekta īstenošanas izmaksas:
37.2.1.
mērķstipendijas izmaksas studējošajiem, kuri iesaistīti studentu inovāciju programmā saskaņā ar šo noteikumu 28. punktā minēto finansējuma saņēmēja izstrādāto studentu inovāciju programmas īstenošanas kārtību, ievērojot šādus izmaksu ierobežojumus:
37.2.1.1.
bakalaura, profesionālās augstākās izglītības, maģistra un rezidentūras studiju programmā studējošajam, doktora studiju programmā studējošajam, vispārējās vidējās izglītības, profesionālās izglītības iestāžu un koledžu izglītojamajam – līdz 280 euro mēnesī;
37.2.1.2.
vienreizēja stipendija par godalgotu vietu iegūšanu studentu inovāciju programmas pasākumos. Maksimālais apjoms par pirmās vietas ieguvi nepārsniedz 5000 euro komandai, bet par otrās un trešās vietas ieguvi tiek attiecīgi gradēts atbilstoši studentu inovāciju programmas nosacījumiem;
37.2.2.
ar studentu inovāciju pieteikumu īstenošanu saistītās materiālu un pakalpojumu izmaksas, tostarp laboratoriju, testēšanas aprīkojuma, projektēšanas iekārtu izmantošanas, analīžu veikšanas un materiālu nodrošinājuma izmaksas;
37.2.3.
inovāciju konkursu, sacensību un inovāciju darbnīcu organizēšanas izmaksas, tostarp telpu īre (ja projekta aktivitāšu īstenošanai nepieciešams īrēt telpas ārpus finansējuma saņēmēja juridiskās un faktiskās uzturēšanās adreses vai ja augstskolai un projektam ir atsevišķi budžeti), materiālu nodrošinājuma izmaksas un studējošo mobilitātes izmaksas Latvijā un ārvalstīs, kas tieši saistītas ar konkrētu studentu inovāciju pieteikumu īstenošanu;
37.2.4.
informatīvo un metodisko materiālu izstrādes un publiskošanas izmaksas, tai skaitā informācijas sagatavošana un publicēšana finansējuma saņēmēja un sadarbības partnera tīmekļvietnē, tulkošanas izmaksas šo noteikumu 33. punktā minēto atbalstāmo darbību īstenošanai;
37.3.
jaunradītu darba vietu aprīkojuma, tai skaitā biroja mēbeļu un tehnikas, datorprogrammu un licenču iegādes vai nomas izmaksas, aprīkojuma uzturēšanas un remonta izmaksas vai esošo darba vietu atjaunošanas izmaksas finansējuma saņēmējam, ja esošo darba vietu aprīkojums ir nolietojies un tiek norakstīts, ne vairāk kā 3000 euro vienai darba vietai visā projekta īstenošanas laikā, ja personāls ir nodarbināts projektā uz darba līguma pamata. Ja personāls ir nodarbināts normālu darba laiku, darba vietas aprīkojuma iegādes vai nomas izmaksas ir attiecināmas 100 procentu apmērā. Ja personāls ir nodarbināts nepilnu darba laiku, darba vietas aprīkojuma iegādes vai nomas izmaksas ir attiecināmas proporcionāli darba slodzes procentuālajam sadalījumam. Ja personāls ir nodarbināts saskaņā ar daļlaika attiecināmības principu, darba vietas aprīkojuma iegādes vai nomas izmaksas ir attiecināmas proporcionāli darba slodzes procentuālajam sadalījumam un ņemot vērā darbinieka iesaistes periodu projektā pret projekta kopējo īstenošanas ilgumu;
37.4.
komunikācijas un vizuālās identitātes pasākumu izmaksas par projekta īstenošanu un studentu inovāciju programmas īstenošanu un tās rezultātiem;
37.5.
pakalpojuma izmaksas.
38.
Plānojot šo noteikumu 37.1. apakšpunktā minētās tiešās attiecināmās personāla izmaksas, finansējuma saņēmējs un sadarbības partneris (ja attiecināms) veic darba laika uzskaiti par projekta vadības un īstenošanas personāla projekta ietvaros veiktajām funkcijām un nostrādāto laiku un nodrošina, ka personālam, kas nodarbināts pilnu darba laiku, nepilnu darba laiku vai daļlaiku ne mazāk kā 30 procentu apmērā no normālā darba laika, tiešajās attiecināmajās personāla izmaksās iekļauj darba algu, valsts sociālās apdrošināšanas obligātās iemaksas no apliekamajām attiecināmajām izmaksām, normatīvajos aktos darba tiesību un atlīdzības jomā noteiktās piemaksas un sociālo garantiju izmaksas.
39.
Fiksētās summas maksājuma metodiku atbilstoši atbildīgās iestādes apstiprinātajai vienkāršoto izmaksu metodikai, kas saskaņota ar vadošo iestādi, piemēro, nosakot šo noteikumu 37.1.2.1. apakšpunktā minētās ekspertu atlīdzības izmaksas, šo noteikumu 37.2.2. apakšpunktā minētās izmaksas un 37.2.3. apakšpunktā norādītās studējošo mobilitātes izmaksas Latvijā un ārvalstīs, kas tieši saistītas ar konkrētu studentu inovāciju pieteikumu īstenošanu.
40.
Šo noteikumu 37.1.1. apakšpunktā minētās projekta vadības personāla atlīdzības izmaksas nepārsniedz 34 422 euro gadā, pieskaitot 0,64 procentus no projekta tiešajām attiecināmajām izmaksām (neieskaitot tiešās projekta vadības personāla izmaksas), ja projekta tiešās attiecināmās izmaksas nepārsniedz 5 000 000 euro (ieskaitot). Par nepilnu kalendāra gadu fiksēto summu aprēķina proporcionāli projekta mēnešu skaitam.
41.
Publiskos iepirkumus finansējuma saņēmējs un sadarbības partneri veic atklātā, pārredzamā, nediskriminējošā un konkurenci nodrošinošā procedūrā saskaņā ar normatīvajiem aktiem publisko iepirkumu jomā, izvērtējot iespējas iepirkumiem piemērot sociāli atbildīgu publisko iepirkumu un inovatīvu publisko iepirkumu. Projekta ietvaros ir atbalstāma vides prasību integrēšana preču un pakalpojuma iepirkumos (zaļais publiskais iepirkums).
42.
Šo noteikumu 35.2. apakšpunktā minētās netiešās attiecināmās izmaksas plāno kā vienu izmaksu pozīciju, piemērojot netiešo izmaksu vienoto likmi 15 procentu apmērā no šo noteikumu 37.1.1., 37.1.2.2. un 37.1.3. apakšpunktā minētajām tiešajām attiecināmajām personāla izmaksām. Netiešo izmaksu vienoto likmi piemēro personāla izmaksām, kuras radušās uz darba līguma pamata.
43.
Studentu inovācijas programmas īstenošanas izmaksas fokusē uz tieša atbalsta nodrošināšanu studējošajiem praktisku izstrādes ideju pieteikumu īstenošanai, tostarp stipendiju, materiālu, uzņēmumu un citu ārējo institūciju nozares vai tehnoloģiju ekspertu izmaksu segšanai. Pārējo šo noteikumu 33.1.2. apakšpunktā minēto atbalsta darbību izmaksas nepārsniedz 15 procentus no šo noteikumu 33.1. apakšpunktā minētās darbības īstenošanas izmaksām.
44.
Pasākuma atbalstāmo darbību ietvaros ir attiecināms pievienotās vērtības nodoklis tiešajām attiecināmajām izmaksām atbilstoši Eiropas Parlamenta un Padomes 2021. gada 24. jūnija Regulas (ES) 2021/1060, ar ko paredz kopīgus noteikumus par Eiropas Reģionālās attīstības fondu, Eiropas Sociālo fondu Plus, Kohēzijas fondu, Taisnīgas pārkārtošanās fondu un Eiropas Jūrlietu, zvejniecības un akvakultūras fondu un finanšu noteikumus attiecībā uz tiem un uz Patvēruma, migrācijas un integrācijas fondu, Iekšējās drošības fondu un Finansiāla atbalsta instrumentu robežu pārvaldībai un vīzu politikai (turpmāk – regula 2021/1060), 64. panta 1. punkta ''c'' apakšpunkta nosacījumiem, ja tas nav atgūstams atbilstoši normatīvajiem aktiem nodokļu politikas jomā.
IV.Projekta īstenošanas un finansēšanas nosacījumi
45.
Finansējuma saņēmējs projektu īsteno saskaņā ar noslēgto līgumu vai vienošanos par projekta īstenošanu, bet ne ilgāk kā līdz 2029. gada 31. oktobrim.
46.
Finansējuma saņēmējs nodrošina, ka atbalstāmo darbību īstenošanu un iepirkumu veikšanu uzsāk ne vēlāk kā pirmajā ceturksnī pēc tam, kad noslēgts līgums vai vienošanās par projekta īstenošanu.
47.
Projekta īstenošanai nepieciešamo kopējo privāto līdzfinansējumu šo noteikumu 14. punktā minētajā apmērā nodrošina no šādiem līdzekļiem:
47.1.
ziedojumi vai dāvinājumi inovāciju fondā, kas ir finanšu līdzekļi vai manta bez atlīdzības noteiktiem mērķiem vai bez mērķa;
47.2.
cits finansējums inovāciju fondā, tostarp:
47.2.1.
komersantu, biedrību vai nodibinājumu finansējums (juridiskas personas mērķmaksājums);
47.2.2.
finansējuma saņēmēja un sadarbības partnera – valsts augstskolas, valsts zinātniskās institūcijas vai valsts vai pašvaldības institūcijas – rīcībā esošie līdzekļi no viņu saimnieciskās darbības, kredītresursi vai citi finanšu resursi, par kuriem nav saņemts nekāds publisks atbalsts, tai skaitā finansējums, par ko nav saņemts nekāds valsts vai pašvaldības galvojums, vai valsts vai pašvaldības kredīts uz atvieglotiem nosacījumiem (juridiskas personas mērķmaksājums);
47.2.3.
privātpersonu finansējums (fiziskas personas mērķmaksājums);
47.2.4.
projekta iesniedzēja un sadarbības partnera ieguldījumi natūrā, kuru vērtību ir iespējams neatkarīgi auditēt un novērtēt atbilstoši šo noteikumu 48. punktā minētajiem nosacījumiem. Kopējais ieguldījums natūrā nepārsniedz piecus procentus no projekta kopējām attiecināmajām izmaksām.
48.
Projekta ieguldījumus natūrā var veidot:
48.1.
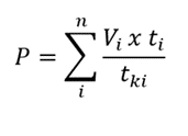
pamatlīdzekļi – tehnoloģiskās iekārtas (iekārtas, mēraparatūra, regulēšanas ierīces, laboratoriju un medicīnas iekārtas, autotransports), kas nav iegādātas par publiskiem līdzekļiem un kuru kopējo lietošanas vērtību aprēķina, ņemot vērā projekta ietvaros izmantotā pamatlīdzekļa minimālo vērtību (vidējās vienas darbdienas lietošanas izmaksas visā pamatlīdzekļa lietderīgās lietošanas periodā) un laiku, kādā pamatlīdzekli plānots izmantot projektā paredzēto darbību veikšanai. Kopējo pamatlīdzekļu lietošanas vērtību nosaka, izmantojot šādu formulu:

, kur
P – kopējā pamatlīdzekļu lietošanas vērtība, euro;
Vi – i-tā pamatlīdzekļa sākotnējā vērtība (iegādes izmaksas vai ražošanas pašizmaksa), euro;
i – pamatlīdzekļa variante (i = 1, 2, .., n; n – pamatlīdzekļu skaits);
ti – laiks, kādā pamatlīdzekli plānots izmantot projektā paredzēto darbību veikšanai, darbdienās;
tki – kopējais pamatlīdzekļa lietderīgās lietošanas laiks, darbdienās;

, kur
P – kopējā pamatlīdzekļu lietošanas vērtība, euro;
Vi – i-tā pamatlīdzekļa sākotnējā vērtība (iegādes izmaksas vai ražošanas pašizmaksa), euro;
i – pamatlīdzekļa variante (i = 1, 2, .., n; n – pamatlīdzekļu skaits);
ti – laiks, kādā pamatlīdzekli plānots izmantot projektā paredzēto darbību veikšanai, darbdienās;
tki – kopējais pamatlīdzekļa lietderīgās lietošanas laiks, darbdienās;
48.2.
piešķirtie materiāli (fizikālie, bioloģiskie, ķīmiskie un citi materiāli, izmēģinājuma dzīvnieki, reaktīvi, ķimikālijas, laboratorijas trauki, medikamenti pētniecībai, zemes platības, elektronikas komponentes un moduļi), kuru vērtību aprēķina proporcionāli projekta ietvaros patērētajam materiālu daudzumam un materiālu tirgus cenai.
49.
Finansējuma saņēmējs nodrošina inovāciju fonda izveidi līdz dienai, kad tiek apstiprināts projekta iesniegums. Inovāciju fonda finansējums nav mazāks kā:
49.1.
25 procenti no kopējā privātā līdzfinansējuma apjoma, ja projekta ilgums ir četri gadi;
49.2.
33 procenti no kopējā privātā līdzfinansējuma apjoma, ja projekta ilgums ir trīs gadi;
49.3.
50 procenti no kopējā privātā līdzfinansējuma apjoma, ja projekta ilgums ir divi gadi vai mazāk.
50.
Sadarbības iestāde projektu iesniegumu atlasē starptautisko ekspertīzi nodrošina sadarbībā ar Latvijas Zinātnes padomi.
51.
Lai nodrošinātu neatkarīgu projektu īstenošanu un novērstu iespējamo interešu konfliktu, katra projekta iesnieguma izvērtēšanā Latvijas Zinātnes padome iesaista ne mazāk kā divus ārvalstu ekspertus. Iesaistot ārvalstu ekspertus, ievēro šādus nosacījumus:
51.1.
ārvalstu ekspertam ir zinātnes doktora grāds;
51.2.
ārvalstu eksperta zinātniskā kvalifikācija atbilst konkrētā projekta iesnieguma tematikai;
51.3.
ārvalstu eksperta līdzšinējā vērtēšanas kompetence un darba pieredze atbilst konkrētā projekta iesnieguma tematikai;
51.4.
ārvalstu eksperts vērtējumu veic neatkarīgi un nepārstāv projekta iesnieguma iesniedzēja institūciju, viņa darbībā nav tādu apstākļu, kas izraisa interešu konfliktu, tai skaitā nerada un neradīs ārvalstu ekspertam personisku vai mantisku ieinteresētību.
52.
Projektu īstenošanas uzraudzībai sadarbības iestāde sadarbībā ar Latvijas Zinātnes padomi nodrošina projekta gala rezultātu kvalitātes izvērtējumu, ievērojot šādus nosacījumus:
52.1.
izvērtējumu veic ārvalstu eksperti, kas atbilst šo noteikumu 51. punktā minētajiem kritērijiem;
52.2.
sadarbības iestāde atbilstoši Izglītības un zinātnes ministrijas izstrādātajiem vērtēšanas kritērijiem izstrādā un ar atbildīgo iestādi saskaņo izvērtējumu standartformas, tai skaitā ietverot prasību ekspertam gala rezultātu izvērtējumā pamatot, cik lielā mērā ir sasniegti projektā plānotie rezultāti (novērtējumu izsakot arī procentos);
52.3.
gala rezultātu izvērtējumu sadarbības iestāde izmanto lēmuma pieņemšanā par projekta mērķa un plānoto rezultātu sasniegšanu. Pamatojoties uz gala izvērtējumu par projektā plānoto rezultātu sasniegšanas līmeni, sadarbības iestāde pieņem lēmumu par finanšu korekcijas piemērošanu (ja attiecināms). Par minēto lēmumu sadarbības iestāde informē atbildīgo iestādi.
53.
Projekta īstenošanas gaitā radušos papildu izdevumus vai sadārdzinājumu finansējuma saņēmējs sedz no saviem līdzekļiem.
54.
Projekta īstenošanas laikā finansējuma saņēmējam ir iespēja saņemt avansu šo noteikumu 33. punktā minēto atbalstāmo darbību īstenošanai, kā arī šo noteikumu 37.2.1. apakšpunktā minēto mērķstipendiju izmaksai. Avansu var izmaksāt pa daļām un izmantot fiksētās summas maksājuma izmaksu segšanai. Maksimālais avansa apmērs nepārsniedz 30 procentus no projektam piešķirtā Eiropas Reģionālās attīstības fonda finansējuma un valsts budžeta līdzfinansējuma kopsummas. Finansējuma saņēmējiem, kam ir valsts budžeta daļēji finansētas atvasinātas publiskas personas statuss un kas projektu īsteno tai deleģēto valsts pārvaldes uzdevumu ietvaros, avansa un starpposma maksājumu kopsumma var būt 100 procenti no projektam piešķirtā Eiropas Reģionālās attīstības fonda finansējuma un valsts budžeta līdzfinansējuma kopsummas. Finansējuma saņēmējiem, kas ir privātpersonu dibinātas augstskolas, avansa un starpposma maksājumu kopsumma nepārsniedz 90 procentus no projektā piešķirtā Eiropas Reģionālās attīstības fonda finansējuma un valsts budžeta līdzfinansējuma kopsummas. Sadarbības iestāde var pieņemt lēmumu par nākamā avansa maksājuma piešķiršanu pēc tam, kad iepriekšējais avansa maksājums ir apgūts pilnā apmērā.
55.
Īstenojot projektu, finansējuma saņēmējs nodrošina projekta īstenošanas finanšu plūsmas nodalīšanu no citām finansējuma saņēmēja darbības finanšu plūsmām projekta īstenošanas laikā un piecus gadus pēc noslēguma maksājuma veikšanas.
56.
Īstenojot projektu, finansējuma saņēmējam ir nodrošināta atsevišķa ar saimniecisko darbību nesaistīto darījumu ieņēmumu un izdevumu grāmatvedības uzskaite, kā arī minēto darījumu finanšu plūsmu nodalīšana atbilstoši normatīvajiem aktiem par gada pārskata sagatavošanas kārtību.
57.
Finansējuma saņēmējs kopā ar attiecīgā maksājuma pieprasījumu iesniedz sadarbības iestādei informāciju par studējošo prasmju un attieksmes novērtējumu pirms un pēc dalības studentu inovāciju programmā (pēc dalībnieku atlases un pēc studentu inovāciju pieteikuma pabeigšanas), kā arī iesniedz iesaistīto mācībspēku, darba vadītāju, mentoru, komersantu un studējošo atgriezeniskās saites analīzi par dalību studentu inovāciju programmā un labās prakses un pieredzes integrēšanu studiju procesā.
58.
Īstenojot projektu, finansējuma saņēmējs nodrošina šo noteikumu 33.3. apakšpunktā minētos komunikācijas un vizuālās identitātes pasākumus par projekta īstenošanu saskaņā ar regulas 2021/1060 47. un 50. pantu un normatīvajiem aktiem, kas nosaka kārtību, kādā Eiropas Savienības fondu vadībā iesaistītās institūcijas nodrošina šo fondu ieviešanu 2021.–2027. gada plānošanas periodā.
59.
Projekta iesniedzējam ir pienākums līdz projekta iesnieguma iesniegšanai izstrādāt iekšējās kontroles sistēmu korupcijas un interešu konflikta riska novēršanai. Publiskas personas institūcija iekšējās kontroles sistēmu korupcijas un interešu konflikta riska novēršanai izstrādā atbilstoši Ministru kabineta 2017. gada 17. oktobra noteikumiem Nr. 630 "Noteikumi par iekšējās kontroles sistēmas pamatprasībām korupcijas un interešu konflikta riska novēršanai publiskas personas institūcijā".
60.
Finansējuma saņēmējs un sadarbības partneris projekta īstenošanas laikā nodrošina interešu konflikta neesību saskaņā ar Eiropas Parlamenta un Padomes 2024. gada 23. septembra Regulas (ES, Euratom) Nr. 2024/2509 par finanšu noteikumiem, ko piemēro Savienības vispārējam budžetam (pārstrādāta redakcija), 61. punkta prasībām un publisko iepirkumu reglamentējošajiem normatīvajiem aktiem, kā arī paraksta interešu konflikta neesības apliecinājumu.
61.
Finansējuma saņēmējs savā tīmekļvietnē ne retāk kā reizi trijos mēnešos ievieto aktuālu informāciju par projekta īstenošanu.
62.
Finansējuma saņēmējs nodrošina projektā paredzēto rezultātu ilgtspēju piecus gadus pēc noslēguma maksājuma veikšanas, šajā laikposmā paredzot:
62.1.
studentu inovāciju pieteikumu rezultātu publisku pieejamību saskaņā ar finansējuma saņēmēja intelektuālā īpašuma politiku, ciktāl netiek skartas komercintereses (ja attiecināms);
62.2.
studentu inovāciju programmas īstenošanu vai uz studējošo inovācijas kompetenču un uzņēmīguma attīstību vērstu integrētu pasākumu sistēmisku īstenošanu.
63.
Ja ar saimniecisku darbību nesaistīts projekts tā dzīves cikla laikā kļūst par projektu, kas saistīts ar saimniecisku darbību, kurai sniegtais atbalsts būtu kvalificējams kā komercdarbības atbalsts, finansējuma saņēmējs no finansējuma, par kuru nav saņemts nekāds komercdarbības atbalsts, atmaksā sadarbības iestādei visu nelikumīgi saņemto komercdarbības atbalstu kopā ar procentiem saskaņā ar Komercdarbības atbalsta kontroles likuma IV vai V nodaļu.
V.Ar komercdarbības atbalsta saņemšanu saistītie nosacījumi
64.
Ja inovāciju pieteikumu īstenošanas ietvaros tiek konstatēts atbalsts saimnieciskās darbības veikšanai (proti, inovāciju pieteikuma īstenotājs uzsāk saimniecisku darbību, dibina jaunuzņēmumu) un atbalsts saimnieciskās darbības veikšanai ir kvalificējams kā komercdarbības atbalsts, finansējuma saņēmējs atbilstoši savai izstrādātajai de minimis atbalsta piešķiršanas kārtībai lemj par de minimis atbalsta piešķiršanu inovāciju pieteikuma īstenotājam saskaņā ar Eiropas Komisijas 2023. gada 13. decembra Regulu (ES) Nr. 2023/2831 par Līguma par Eiropas Savienības darbību 107. un 108. panta piemērošanu de minimis atbalstam (turpmāk – Komisijas regula Nr. 2023/2831) un normatīvajiem aktiem par de minimis atbalsta uzskaites un piešķiršanas kārtību.
65.
Ievērojot šo noteikumu 64. punkta nosacījumus, atbalsts tiek piešķirts ar finansējuma saņēmēja lēmumu un ir uzskatāms par komercdarbības atbalstu inovāciju pieteikuma īstenotājam. Lēmuma pieņemšanas diena ir uzskatāma par komercdarbības atbalsta piešķiršanas brīdi.
66.
Inovāciju pieteikuma īstenotājs kā atbalsta pretendents, kas pretendē uz šo noteikumu 64. punktā minēto atbalstu, piesakās atbalstam, iesniedzot de minimis atbalsta uzskaites sistēmā (turpmāk – sistēma) sagatavoto veidlapas izdruku vai norāda sistēmā izveidotās un apstiprinātās pretendenta veidlapas identifikācijas numuru. Finansējuma saņēmējs kā atbalsta sniedzējs uzskaita atbalstu, kas sniegts saskaņā ar Komisijas regulu Nr. 2023/2831, ievērojot normatīvos aktus par de minimis atbalsta uzskaites un piešķiršanas kārtību.
67.
Finansējuma saņēmējs pirms de minimis atbalsta piešķiršanas inovāciju pieteikuma īstenotājam pārbauda, vai plānotais de minimis atbalsts kopā ar iepriekšējos trijos gados no atbalsta piešķiršanas dienas piešķirto de minimis atbalstu viena vienota uzņēmuma līmenī nepārsniedz Komisijas regulas Nr. 2023/2831 3. panta 2. punktā noteikto maksimālo de minimis atbalsta apmēru. Viens vienots uzņēmums atbilst Komisijas regulas Nr. 2023/2831 2. panta 2. punktā minētajiem kritērijiem.
68.
Finansējuma saņēmējs pirms de minimis atbalsta piešķiršanas pārbauda, vai inovāciju pieteikuma īstenotājam saskaņā ar Valsts ieņēmumu dienesta administrēto nodokļu (nodevu) parādnieku datubāzē pieejamo informāciju nav nodokļu vai nodevu parādu, tai skaitā valsts sociālās apdrošināšanas obligāto iemaksu parādu, kas kopsummā pārsniedz 150 euro, izņemot nodokļu maksājumus, kuru maksāšanas termiņš saskaņā ar likuma "Par nodokļiem un nodevām" 24. panta pirmo, 1.3 un 1.7 daļu ir pagarināts, sadalīts termiņos, atlikts vai atkārtoti sadalīts termiņos. Ja inovāciju pieteikuma īstenotājs neatbilst minētajam nosacījumam, finansējuma saņēmējs nepiešķir atbalstu saskaņā ar Komisijas regulu Nr. 2023/2831.
69.
Finansējuma saņēmējs nepiešķir inovāciju pieteikuma īstenotājam de minimis atbalstu, ja de minimis atbalsts ir saistīts ar kādu no Komisijas regulas Nr. 2023/2831 1. panta 1. un 2. punktā un Eiropas Parlamenta un Padomes 2021. gada 24. jūnija Regulas (ES) Nr. 2021/1058 par Eiropas Reģionālās attīstības fondu un Kohēzijas fondu 7. panta 1. punktā noteiktajām neatbalstāmajām nozarēm un darbībām.
70.
Ja inovāciju pieteikuma īstenotājs vienlaikus darbojas gan kādā no nozarēm, kas minētas Komisijas regulas Nr. 2023/2831 1. panta 1. punkta "a", "b", "c" vai "d" apakšpunktā, gan vienā vai vairākās citās nozarēs, uz kurām attiecas šīs regulas darbības joma, tas nodrošina šo nozaru darbību vai izmaksu nodalīšanu saskaņā ar Komisijas regulas Nr. 2023/2831 1. panta 2. punktu, nodrošinot, ka darbības nozarēs, kuras ir izslēgtas no šīs regulas darbības jomas, negūst labumu no de minimis atbalsta, ko piešķir saskaņā ar Komisijas regulu Nr. 2023/2831.
71.
Šo noteikumu ietvaros piešķirto de minimis atbalstu var apvienot ar citu de minimis atbalstu, tai skaitā par vienām un tām pašām attiecināmajām izmaksām, līdz Komisijas regulas Nr. 2023/2831 3. panta 2. punktā noteiktajam attiecīgajam robežlielumam, ja pēc atbalstu apvienošanas atbalsta vienībai vai izmaksu pozīcijai attiecīgā maksimālā atbalsta intensitāte nepārsniedz 100 procentus.
72.
Finansējuma saņēmējs lēmumu par de minimis atbalsta piešķiršanu var pieņemt saskaņā ar Komisijas regulas Nr. 2023/2831 7. panta 3. punktu un 8. pantu.
73.
Ja tiek pārkāpti Komisijas regulas Nr. 2023/2831 nosacījumi, inovāciju pieteikuma īstenotājam ir pienākums atmaksāt atbalsta sniedzējam projekta ietvaros saņemto nelikumīgo de minimis atbalstu kopā ar procentiem no līdzekļiem, kas ir brīvi no komercdarbības atbalsta, atbilstoši Komercdarbības atbalsta kontroles likuma IV vai V nodaļas nosacījumiem.
74.
Finansējuma saņēmējs nodrošina informācijas pieejamību 10 gadus pēc pēdējā atbalsta piešķiršanas, un inovāciju pieteikuma īstenotājs nodrošina informācijas pieejamību 10 gadus no atbalsta piešķiršanas brīža.
Ministru prezidentes pienākumu izpildītāja ‒ tieslietu ministre I. Lībiņa-Egnere
Izglītības un zinātnes ministre A. Čakša
